Республика Карелия — субъект Российской Федерации, входит в состав Северо-Западного Федерального округа, образована 28 мая 1938 года. На юге граничит с Вологодской и Ленинградской областями, на западе — с Финляндией, на севере — с Мурманской областью, на востоке – с Архангельской областью.
Климат мягкий с обилием осадков, меняется на территории Карелии от морского к умеренно — континентальному. Зима снежная, прохладная, но обычно без сильных морозов; если морозы наступают, то только на несколько дней. Лето непродолжительное и тёплое, с большим количеством осадков. Даже в июне в республике иногда бывают заморозки (крайне редко). Жара бывает редко и наступает на две-три недели по южным районам, но из-за высокой влажности она ощутима и при 20°С. В северных районах жара бывает крайне редко и длится не более нескольких дней.
Для г. Петрозаводск:
Климатические параметры холодного периода года:
Температура воздуха наиболее холодных суток – -35оС;
Температура воздуха наиболее холодной пятидневки – -31оС;
Абсолютная минимальная температура воздуха – -43оС;
Средняя суточная амплитуда температуры воздуха наиболее холодного месяца – 6,4оС;
Средняя месячная относительная влажность воздуха наиболее холодного месяца –86%;
Количество осадков за ноябрь-март – 169 мм;
Преобладающее направление ветра за декабрь-февраль – З.
Климатические параметры теплого периода года:
Барометрическое давление – 999 гПа;
Температура воздуха – 23оС;
Средняя максимальная температура воздуха наиболее теплого месяца – 21 оС;
Средняя суточная амплитуда температуры воздуха наиболее теплого месяца – 9 оС;
Средняя месячная относительная влажность воздуха наиболее теплого месяца – 74 %;
Количество осадков за апрель-октябрь – 403 мм;
Суточный максимум осадков – 68 мм;
Преобладающее направление ветра за июнь-август – З.
Республика Карелия расположена в Северной Европе, в северо-западной части России, омывается Белым морем на северо-востоке.
Основной рельеф республики — холмистая равнина, переходящая на западе в Западно-Карельскую возвышенность. Ледник, отступая на север, сильно изменил рельеф Карелии — появились во множестве моренные гряды, озы, камы, озёрные котловины.
Высочайшая точка Республики Карелия — гора Нуорунен.
Основные полезные ископаемые: железная руда, титан, ванадий, молибден, благородные металлы, алмазы, слюда, строительные материалы (граниты, диабазы, мраморы), керамическое сырьё (пегматиты, шпат), апатит-карбонатные руды, щелочной амфибол-асбест.
На 1 сентября 2004 г. распределённый фонд недр в Республике Карелия включал 606 действующих лицензий: на драгоценные металлы и алмазы — 14, твердые необщераспространённые полезные ископаемые — 16, блочный камень — 94, строительный камень для производства щебня — 76, другие общераспространённые полезные ископаемые (в основном песчано-гравийные материалы) — 286, подземные воды — 120.
Активно добываются железная руда, слюда, полевой шпат, кварц, облицовочный камень, а также разнообразные строительные материалы – граниты, диабазы, мраморы.
Встречаются золото, серебро, алмазы, редкоземельные металлы. Разведаны месторождения урановых руд («Карку», «Птицефабрика» — с ураном в качестве основного полезного ископаемого; «Средняя Падма», «Верхняя Падма», «Царевское», «Космозеро», «Весеннее» — с ураном как попутным полезным ископаемым), титана, ванадия, молибдена.
Проектируемая насыпь – индивидуальная конструкция земляного полотна, под двухпутную железную дорогу I категории проектируется на слабых грунтах на участке в р. Карелия. Насыпь, высотой 7,5 метров, возводится на болоте I типа.
Конструкция насыпи проектируется в зависимости от категории дороги, местных природных условий, состояния и свойств грунтов основания, а также опыта эксплуатации дорог в данном районе и необходимости обеспечения бесперебойного и безопасного движения при оптимальном сочетании строительных и эксплуатационных показателей.
В качестве грунта насыпи для отсыпки земляного полотна будет использован песок средней крупности, с плотностью 1,84 г/см3, удельным сцеплением 0,14 т/м2 и углом внутреннего трения 33о.
Грунт основания составляет среднеразложившийся торф.
Мощность слоя торфа – 8,4 метров, плотность – 1,24 г/см3, удельное сцепление – 1,15 т/м2 и угол внутреннего трения 14о. Срок строительства составляет 11 месяцев.
Земляное полотно – элемент нижнего строения пути, необходимое для:
восприятия нагрузки от подвижного состава, распределение и передача ее на основание;
размещения верхнего строения пути.
Современная тенденция проектирования предусматривает сооружение верхнего строения пути на стабилизированное земляное полотно. Однако, повышение скорости, нагрузки на ось подвижного состава выдвигает более жесткие требования к обеспечению его надлежащей прочности (устойчивости) и деформативности, по причине увеличения уровня динамического воздействия. Опыт эксплуатации земляного полотна железных дорог и наблюдения за его работой показывают, что в обозначенных выше условиях эксплуатации резко повышаются процессы накопления деформаций рельсовой колеи, в том числе по причинам дестабилизации земляного полотна, а иногда и его основания. При строительстве земляного полотна на слабом основании могут возникать:
деформации, связанные с повышением касательных напряжений
упругие деформации в результате воздействия на основание насыпи транспорта
деформации, связанные с воздействием на грунт сжимающих напряжений.
Известно, что динамические нагрузки, передающиеся грунтам земляного полотна, приводят к снижению их прочностных и деформативных характеристик. Это в конечном итоге оказывает негативное влияние на несущую способность земляного полотна и в большей степени на его деформативность. Таким образом, для учета деформаций необходимо:
обеспечить устойчивость основания;
установить величину конечной осадки насыпи;
обеспечить завершение интенсивной части осадки в заданный срок;
исключить недопустимые упругие деформации насыпи при движении транспорта.
Объект земляного полотна – насыпь, относится к объектам индивидуального проектирования. Индивидуальное проектирование обусловлено наличием в основании насыпи слабых грунтов (в данном случае – торф).
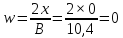
В соответствии с исходными данными расчетная ширина основной площадки определяется из условий обеспечения минимальных обочин земляного полотна.
Назначаем следующие геометрические параметры для расчета ширины основной площадки В:
Ширина балластной призмы поверху, lбп = 7,7 м;
Толщина балластной призмы hщ = 0,55 м;
Ширина обочины bоб = 0,5 м
В= lбп + 2*1,5*hщ + 2*bоб = 7,7 + 2*1,5*0,55 + 2*0,5 = 10,35 м.
К дальнейшему расчету принимаем насыпь с шириной основной площадки 10,40 м.

Расчет делаем на основании следующих предпосылок: 1) Несущая способность основания насыпи обеспечена
2) Поскольку несущая способность обеспечена, рассматриваются только деформации уплотнения грунта и деформации ползучести.
Графоаналитический метод
Для определения конечной осадки насыпи необходимо построить график зависимости осадки грунта основания от нагрузки Р =f(S) и определить его точку пересечения с прямой расчетного давления Рр.

|
где |
|
̶ |
модуль осадки, определяемый по компрессионной кривой; |
|
|
|
̶ |
мощность рассматриваемого слоя; |
|
|
|
̶ |
количество слоев. |
В пределах однородного слоя может возникнуть необходимость выделить слои, однородные с точки зрения напряженного состояния.
Выполним проверку необходимости делить слой торфа на несколько слоев, отличающихся по величине вертикальных нормальных напряжений.
Если
на поверхности слоя торфа приложить
нагрузку
кг/см2,
на нижней грани слоя вертикальные
нормальные напряжения составят:

Определение коэффициента

|
где |
|
̶ |
нагрузка в рассматриваемой точке; |
|
|
|
̶ |
нагрузка от насыпи; |


Для низа слоя торфа:


По
номограммам, приведенным в [2], определим
значение коэффициента



при

Нагрузка от насыпи заданной высоты составит:

|
где |
|
̶ |
плотность
насыпи,
|
|
|
|
̶ |
высота
насыпи,
|
т/м2
Для построения графика зависимости осадки грунта основания от нагрузки S = f(P) необходимо несколько значений Р. Зададимся следующими значениями Р:
Р1 = Ро =13,80 т/м2
Р2=
2
Ро
= 27,60 т/м2
Р3= Ро / 2 = 6,90 т/м2
Р1 =13,80 т/м2
/м2
Р2= 27,60 т/м2

Р3 = 6,90 т/м2
/м2
По
расчетной компрессионной кривой
слоя торфа находим модули осадки от
нагрузки
.
Значения сводим в таблицу 1.

Таблица 1.
|
Z, м |
|
ер, мм/м |
ер ср, мм/м |
|
Р1 =13,80 т/м2 |
|||
|
0 |
13,80 |
285 |
275 |
|
8,4 |
11,87 |
265 |
|
|
Р2= 27,60 т/м2 |
|||
|
0 |
27,60 |
325 |
320 |
|
8,4 |
23,74 |
315 |
|
|
Р3 = 6,90 т/м2 |
|||
|
0 |
6,90 |
210 |
202,5 |
|
8,4 |
5,93 |
195 |
|