Материал: Промышленный транспорт

Внимание! Если размещение файла нарушает Ваши авторские права, то обязательно сообщите нам

При определении результативной пропускной способности, помимо общей её величины, должны быть выделены размеры перерабатывающей способности по основным родам грузов. Кроме того, если транспорт предприятия имеет несколько ответвлений, то пропускную способность необходимо определять путём сопоставления её по общим устройствам и по сумме раздельных устройств.

Необходимо учитывать также возможность в ряде случаев переноса одной и той же работы, например связанной с пропуском поездов или переработкой вагонов, с одного более загруженного элемента на другой менее загруженный. Работа может быть перераспределена как между отдельными элементами транспортного предприятия, так и между ним и станцией примыкания. В связи с этим для определения пропускной способности транспорта предприятия в целом необходимо рассмотреть возможности перераспределения работы между элементами с целью увеличения общей пропускной способности.

После определения результативной пропускной способности на основе её анализа и технологии работы путей необщего пользования предприятия студент должен предложить меры по уменьшению эксплуатационных расходов на содержание технических устройств за счёт демонтирования и законсервирования тех устройств, которые имеют излишний запас пропускной способности. После проведения предложенных мероприятий выполнить необходимые расчёты пропускной и перерабатывающей способности и определить результативную.

2.3 Решение


При схеме подъездного пути, приведенной на рис.1, рассчитаем пропускную и перерабатывающие способности следующих отдельных элементов:

Приемо-сдаточный парк Г выполняет функции по обеспечению приемо-сдаточных операций с поступающими поездами и группами вагонов как по прибытию, так и по отправлению.

Перерабатывающая способность парка Г определяется количеством приемо-сдаточных путей и рассчитывается по формуле 1 измеряется в ваг/сут.

промышленный транспорт угледобывающий грузопоток

На 1 этапе определим перерабатывающую способность промышленной сортировочной станции В по трем элементам:

.        Горловина станции

.        Перерабатывающая способность сортировочной горки

.        Перерабатывающая способность сортировочных путей.

Затем определим результативную перерабатывающую способность промышленной сортировочной станции В.

Пропускная способность горловины:


Суточная перерабатывающая способность сортировочного устройства промышленной станции:


При пропуске по тем же путям вагонов как общественного, так и заводского парка полное время занятия пути составит:


Основная промышленная станция В

По путевому развитию:


Вывод: результативная перерабатывающая способность промышленной станции принимается равной минимальной из трех сравниваемых: по путевому развитию, по горловинам и по сортировочному устройству, и равна 975 ваг/сут.

Грузовая станция А

По путевому развитию:


Пропускная способность горловины:


Суточная перерабатывающая способность сортировочного устройства промышленной станции:


Вывод: результативная перерабатывающая способность промышленной станции принимается равной минимальной из трех сравниваемых: по путевому развитию, по горловинам и по сортировочному устройству, и равна 780 ваг/сут.

Грузовая станция Б

По путевому развитию:


Пропускная способность горловины:


Суточная перерабатывающая способность сортировочного устройства промышленной станции:


Вывод: результативная перерабатывающая способность промышленной станции принимается равной минимальной из трех сравниваемых: по путевому развитию, по горловинам и по сортировочному устройству, и равна 780 ваг/сут.

Соединительный перегон Г-В


Перегон I


Перегон II


Перегон III


Перегон IV


Перегон V


Перегон VI


Перегон VII


Перегон VIII


Фронт погрузки-выгрузки "а"


Фронт погрузки-выгрузки "б"


Фронт погрузки-выгрузки "в"


Фронт погрузки-выгрузки "г"


Фронт погрузки-выгрузки "д"


Фронт погрузки-выгрузки "е"


Вывод: результативная перерабатывающая способность всей транспортной системы промышленного предприятия будет определятся суммарной перерабатывающей способностью грузовых фронтов и равна 328 ваг/сут.

Сопоставляем пропускную способность отдельных элементов:

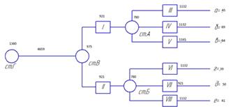
Приемо-сдаточный парк Г 1380 ваг/сут

Основная промышленная станция В 975 ваг/сут

Перегон I 921 ваг/сут

Грузовая станция А 780 ваг/сут

Перегон III 1132 ваг/сут

Фронт погрузки-выгрузки "а" 45 ваг/сут

Перегон IY 1132 ваг/сут

Фронт погрузки-выгрузки "б" 69 ваг/сут

Перегон Y 1165 ваг/сут

Фронт погрузки-выгрузки "в" 84 ваг/сут

Перегон II 921 ваг/сут

Грузовая станция Б 780 ваг/сут

Перегон YI 1132 ваг/сут

Фронт погрузки-выгрузки "г" 39 ваг/сут

Перегон YII 921 ваг/сут

Фронт погрузки-выгрузки "д" 50 ваг/сут

Перегон YIII 1132 ваг/сут

Фронт погрузки-выгрузки "е" 41 ваг/сут

Таким образом, пропускная способность всех элементов железнодорожного транспорта промышленного предприятия составляет:

Приемо-сдаточный парк 1380 ваг/сут

Соединительный перегон 4659 ваг/сут

Перегоны I и II 921+921=1842 ваг/сут

Основная промышленная станция 975 ваг/сут

Грузовые станции А и Б 780+780=1560 ваг/сут

Погрузочно-выгрузочные фронты

а, б, в, г, д, е 45+69+84+39+50+41=328 ваг/сут


Следовательно, результативной является пропускная способность 328 ваг/сут, т.е. то количество вагонов, которое могут проработать грузовые фронты.

Вывод: некоторые элементы имеют излишний запас пропускной способности, для уменьшения эксплуатационных расходов на содержание технических устройств можно принять следующие меры:

Соединительный перегон сделать однопутным, тогда


Законсервировать один путь по ст. А, тогда:

По путевому развитию:


Таким образом, изменится пропускная способность на перегонах, а результативная пропускная способность не изменится, и составит 328 ваг/сут.

Список литературы

1.      Орлов А.М., Кузнецова Т.Г. Промышленный транспорт: Уч. пос. - М.: РГОТУПС, 2007.

2.      Губенко В.К., Парунакян В.Э. Общий курс промышленного транспорта. - М.: Транспорт, 1994.

.        Малыбаев С.К., Данияров А.Н. Специальные виды промышленного транспорта. - М.: Транспорт, 1993.

.        Промышленный транспорт / Под общ. ред. А.Т. Дерибаса. - М.: Транспорт, 1974.

.        Задание на контрольную работу с методическими указаниями для студентов V курса