Материал: Проектирование земснаряда для дноуглубительных и очистных работ

Внимание! Если размещение файла нарушает Ваши авторские права, то обязательно сообщите нам

Рв= Руд*fв

где Руд- удельное давление ветра, Руд=0,063 кН/м2;в - площадь поверхности воспринимающей ветровую нагрузку, fв= 18 м2

Рв=0,063*18=1,134 кН

.6 Сопротивление грунта смятию

Pгp=K*fгp

где К - удельное сопротивление грунта смятию, К=50 кН/м2гp - полезная площадь грунтозаборника, fгp=0,15 м

Ргр=50х0,15=7,5 кН

Результирующая нагрузка на лебедки, кН:


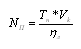
.7 Мощность привода лебедок

Потребная мощность Nп привода лебедок определяется по результатам расчета внешней нагрузки при соответствующих ей скоростях рабочих и вспомогательных перемещений земснаряда, кВт


где Тн - номинальное тяговое усилие лебедки для принятого способа перемещений земснаряда, Тн=11 кН- скорость выбирания каната, обеспечивающая расчетную скорость передвижения земснаряда:

=V=0,183 м/с

 -КПД механизма привода лебедки, =0,75;


Потребная мощность одной лебедки, кВт. Nn=1,3 кВт

В качестве папильонажных приняты по рекомендации НПО ЦКБ "Судоремонт"

Лебёдки ЛЯЭ 0,5/0,7 АО " Московский ССРЗ "

Максимальное тяговое усилие 12 кН

Скорость движения каната 11,5 м/мин

Канатоёмкость барабана 125 м

Диаметр каната 11,5 мм

Мощность электродвигателя 1,3 кВт

Свободный ход барабана емеется 

7. Расчёт рамы грунтозаборного устройства

.1 Расчёт на прочность

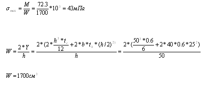
Расчётная для горизонтального положения.

Раму представляем из 2-х балочных элементов.

М1 - момент от электродвигателя

Р - сумма от веса рамы, валопровода, колена и грунтового насоса.

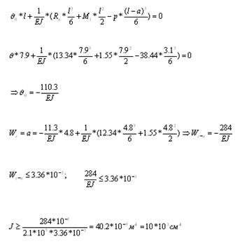
М1=Р1*L1=9,81*1,58*0,1=1,55 кНм

М2=H2*L2=9,81*1,23*1,67=20,11 кНм

Где L1 и L2 - плечи сил.

Р1 - вес электродвигателя

Р2 - вес рыхлителя

Р=9,81*(2,284+0,261+0,250+1,123)=38,44 кН

Определение реакций опор


Строим эпюры Q и M

M=M1+Ra*z=0=M1=1.55 кН=a=1.55+12.34*4.8=60.8 кН

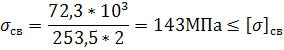
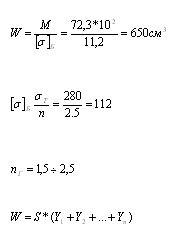
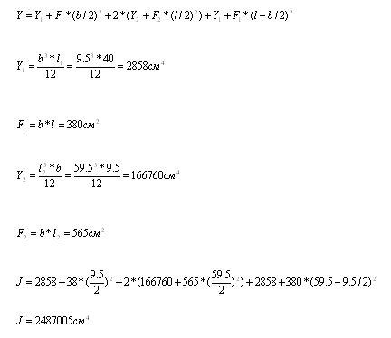
Подбираем сечение по максимальному моменту. Сечение будет состоять из 2-х швеллеров.


Требуемый момент сопротивления 1-го швеллера

/2=414.4/2=207.2см2

По сортаменту подбираем швеллер №22 а Wшв=212 см3

.2 Расчёт на жёсткость

Расчёт проведём из условия чертежа аналога (черт 8597-30-10 сб), что смещение относительно общей оси должно быть не более 3,36 мм .

Определяется прогиб в месте крепления грунтового насоса, методом напольных параметров


Граничные условия Wz=0 Wz=l=0

Из первого условия W0=0

Из второго


Тогда требуемый момент инерции одной ветви рамы


Подойдёт двутавр J=27450 №45

Применение швеллеров №22 а в составе рамы предполагает смещение валопровода на


Что требует применения кардана или упругой муфты

.3 Подбор параметров шарнирного соединения рамы на понтоне


Усилие на соединение будет складываться из реакции от упора рыхлителя в грунт и реакции веса электродвигателя. Составляющую от упора рыхлителя учтём с помощью коэффициента динамичности

- так кА скорость направления понтона на рыхлитель неизвестна.

В практике расчётов коэффициент динамичности принимают равным 3…4.

Итак


7.3.1 Подбираем диаметр штыря из расчёта на срез

Зададим соотношение размеров отверстия

=d/2

и наружного радиуса проушины R

/r=5,

тогда R=5 см

Толщина стенки определяется из условия


Окончательно толщину стенок проушины принимаем 15 мм

.4 Расчёт рамы грунтозаборного устройства в положении под углом 450


Расчётная схема

М1=1,55 кН- момент от электродвигателя

Р1- составляющая от веса рамы, валопровода колена и грунтового насоса

М2- момент от реакции упора грунторыхлителя о дно водоёма


 - Длина рыхлителя


Где  - коэффициент динамичности

Определим реакции опор


Строим эпюры Q и M

Подбор сечения оп максимальному моменту.

Сечение состоит из 2-х швеллеров.


Требуемый момент сопротивления W/2=431,15 см3

По сортаменту подбираем швеллер №33

Этот вариант и будет считаться окончательным, для него прогиб составит на опорах насоса


7.5 Расчёт копра


7.5.1 Расчёт опорного фланцевого соединения

Расчёт диаметра болта фланцевого соединения

Будем считать, что усилия в болтах пропорциональны их расстоянию от линии поворота


S- площадь сечения болта

Фланец соединён 14-ю болтами, тогда


Диаметр болтов принимаем 14 мм.

Для обеспечения плотности стыка вычислим напряжения первоначальной затяжки


Где  - коэффициент запаса плотности стыка- расстояние от оси поворота до наиболее удалённой точки фланца

А0 - суммарная площадь сечения болтов

А1 - площадь стыка

У - момент инерции стыка

- ширина фланца , b=9,5 смр - периметр, lр=199 см


Определим новый диаметр болтов находя из усилия растяжки

Болт при первоначальной затяжке работает на растяжение, тогда новая площадь сечения


Окончательный диаметр болтов примем d=18 мм.

Толщину фланца определим из расчёта пластины.

Воспользуемся результатом расчёта жёсткой пластины, у которой 2 противоположные кромки заделаны (нулевой угол поворота фланца на конце), одна свободно оперта на жёсткую опору и одна совершенно свободна и загружена равномерно вдоль совершенно распределенной нагрузкой.


Интенсивность давления найдём как


Где F- усилие приходящее на один нагруженный болт

 - коэффициент Пуассона


=20 см- расстояние между шлицами


Толщину фланца найдём как


Примем толщину фланца копра 8 мм

7.6 Расчёт поперечного сечения копра


Пусть сечение копра имеет коробчатый профиль в районе стоек.

Минимальный момент сопротивления найдём из условия прочности на изгиб


Толщину стенки выбираем из технологических условий tc=6 мм (1 стр 165-166 )

Тогда высота профиля


Площадь поясов


В результате минимальная ширина пояска


Примем толщину поясов tn=tc


С технологической точки зрения расстояние между стенками коробчатого профиля должно быть не менее 300 мм, поэтому принимаем 400 мм.

Расчёт диафрагм

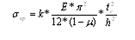
Стенки профиля копра могут потерять устойчивость при деформациях изгиба. Расстояние между диафрагмами примем из условия обеспечения устойчивости на изгиб. Считаем стенку, как пластину свободно опертую на контуре, и загруженную по торцам( высоте стенки) нормальным напряжением, распределённым по линейному закону.

Устойчивость пластины нарушается при достижении критических напряжений


Коэффициент К зависит от соотношения сторон пластины и имеет квадратный контур. Поэтому расстояние между диафрагмами примем равными высоте стенки


Проверим устойчивость стенки по условию


Где n- коэффициент запаса


Действующие напряжения


Запас по устойчивости


7.7 Расчёт балочных конструкций горизонтальной части копра


Сечение найдём из условия прочности на изгиб


Несущие балки Г- образного профиля с фланцем (не симметричные относительно горизонтальной оси), тогда


Толщину стенки примем tc=6 мм

Так как балки две - получим


Из условия прочности при срезе (учитывая 2 балки)


Таким образом высоту балки в узловом сечении примем h= 400 мм.

Ширину фланца по условиям устойчивости примем


7.8 Расчет сварных швов

Проверка прочности сварного шва соединения продольной рамой связи с коробчатым профилем копра.

Сварка произведена двухсторонним швом с катетом k = 4 мм

  = 400 мм - фактическая длинна

расчетная длина

 20 мм = 780 мм

Условия прочности при изгибе:


Требуется увеличить катет шва до k = 0,5 мм


Условия прочности на срез

;


Проверка прочности углового шва присоединением фундамента капра к понтону.

Размер катета к = 4 мм

Расчетная длина шва


Проверка прочности по металлу шва

 - ширина расчетного сечения шва


Проверка прочности по металлу границы сплавления

 - ширина расчетного сечения по металлу сплавления


Вывод: прочность обеспечена.

8. Расчет нагрузок электростанции

.1 Задача расчета


Определить мощность и выбрать тип трансформатора 380/220В для питания электроприемников напряжением 220В во всех режимах эксплуатации земснаряда.

Определить достаточность мощности электроагрегата АД-200С-Т400-1Р для питания электроприемников напряжением 380В во всех режимах эксплуатации земснаряда

.2 Данные для расчета


Электроприемники напряжением 220В приведены в таблице 1.

Электроприемники напряжением 380В приведены в таблице 2.

Электроагригат АД-200С-Т400-1Р мощностью 200кВт, напряжением 400В переменного тока, частотой 50Гц

Режим работы земснаряда

Технологический режим

стояночно-профилактический режим

.3 Условия расчета


Расчет выполняется по методики, изложенной в РД 5.6168-80, "Судовые электроэнергетические системы. Методы расчета электрических нагрузок и определение состава генераторов электростанции"

"Технологический режим", режим, в котором земснаряд работает по своему назначению. В работу включены механизмы технологического процесса.

"Стояночно-профилактический режим" - режим, в котором производится выполнение ремонтной работы на земснаряде и подготовка механизмов и систем к "Технологическому режиму".