Материал: Проектирование земснаряда для дноуглубительных и очистных работ

Внимание! Если размещение файла нарушает Ваши авторские права, то обязательно сообщите нам

При указанном условии потери напора в грунтопроводе можно предоставить в виде суммы следующих слагаемых:

Н = hгp+hnl+hn2+hт+hм+hv

где hrp - потери в грунтоприемнике, м;гр - потери в грунтоприёмнике, м- затраты напора на подъем грунта до уровня воды, м;- затраты напора на подъем смеси до уровня сброса, м;т- потери напора на трение, м;м - потери напора в местных сопротивлениях, м2;- затраты напора на создании скорости в выходном сечении грунтопровода, м;

Значение hгp зависит от многих факторов. Для грунтозаборных устройств с гидравлическими рыхлителями его можно принять hгp=1 м. Величины hnl и hn2 определяются по формулам:

=Hl*(l-pв/p)=5*(1-1000/1200)=0,83 м=Hc6=5 м

Потери напора на трение, м:


где ho-потери напора на трение при движении воды, м;ч - число Фруда для трубы,

 -коэффициент, зависящий от крупности твердых частиц. Потери напора при движении воды

Потери напора при движении воды, м:


Где  - коэффициент трения

Значение λ является функцией числа Рейнольдса Re:

При температуре С=15 v=0,l14*0,00001м2


Число Фруда при движении смеси со скоростью:


Основным видом местных сопротивлений hm в грунтопроводах речных дноуглубительных землесосов является гибкие шаровые соединения плавучего грунтопровода. Каждое соединение имеет свой угол изгиба, от которого зависят потери. Поэтому удобнее определять местные потери не для каждого источника сопротивления, а рассматривать их как часть общих потерь на трение, используя коэффициент

Значение  принимают из таблицы 1 стр. 51

Для D=300mm - =0,39

Потери напора hm в местных сопротивлениях при движении смеси со скоростью

V

=(1 -0,19)0,19*l,7[+ 1,6*О,19(1000/1200-1)] =6,88

Затраты напора на создание скорости, м:


Значение потерь напора грунтопровода при движении по нему воды определяются по формулам;=Hc6=5 м;т=h0=11,3 м;м=15 м;=0,5м;

НВ= hn2 +hт+ hм +hv=5+11,3+15+0,5=31,8м

При расчете потерь на трение при движении воды, все особенности движения смеси в режимах с заилением снимаются. По напору, соответствующему расчетной скорости Vp, и ранее определенной подачи Qcm рассчитывается мощность насоса, кВт:


Где  - КПД грунтового насоса: =0,7

.4 Выбор двигателя грунтового насоса

Для выбора двигателя, кроме мощности, необходимо знать опустимые границы частоты вращения. Интенсивность абразивного знашивания входных элементов рабочего колеса зависит от кружной скорости на входе U1. Приняв максимальное значение этой скорости U1 макс и учитывая, что диаметр входа на лопасти рабочего колеса близок к диаметру грунтопровода D получим, мин-1;


где  - максимальное значение окружной скорости на выходе

Значение  следует принять равным 13 м/с. Минимальная частота вращения насоса ограничивается, хотя и не строго, наименьшим значением коэффициента быстроходности


Где =60…70

По мощности и диапазону частоты вращения выбираем электродвигатель АО-102-6М

: N=125 кВт; N=965 об/мин; =60%; U=220/380 В

Выбор насоса.

Исходные данные:

Длина плавучего грунтопровода -100 м

Длина берегового грунтопровода -100-500 м

Мощность двигателя грунтового насоса -125 кВт

Категория грунта -2(песок)

Выбираем по рекомендации НПД ЦКБ

"Судоремонт" насос ГрАТ 700/40

Характеристики насоса ГрАТ 700/40 на воде n=965об/мин:

Табл.1

Подача, м3/ч

Напор, м

Мощность, кВт

200

47,1

72

400

45,2

91

600

41,9

107

800

38,1

120


Определение величины обрезки рабочего колеса.

Величины обрезки рабочего колеса грунтового насоса ГрАТ 700/40 определяются из условия обеспечения производительности по грунту 100 м3/ч при плотности грунтосмеси 1,2 т/м3 и длине берегового грунтопровода 500 м, что соответствует подаче 540 м3/ч и напору 39,9 на гидросмеси.

Исходя из этих данных рассчитываем параболу обрезок. Результаты расчётов в табл. 2.

Таблица 2

Величина обрезки

Подача насоса, м3/ч

Напор насоса на гидросмеси, м

Напор насоса на воде

1,05

584

38,93

40,98

1,06

593

39,98

41,88

1,07

602

40,56

42,80

1,08

611

41,54

43,73


Из этих данных видно, что обрезки должны составлять 6%

Выводы: для предотвращения перегрузки грунтового насоса необходима обрезка рабочего колеса по наружнему диаметру на 6%. При этом гарантируется производительность по грунту не менее 100 см3/ч. При длине берегового грунтопровода 300, 400, 500 м обеспечивается мощность насоса менее 125 кВт. При длине берегового грунтопровода 200 м рекомендуется установка на его конце конической насадки с выходным диаметром 200 мм, а при длине 100 м - 150 мм. В этом случае подача насоса составит - 800 м3/ч, производительность по грунту ~ 150 м3/ч, а мощность насоса не превысит 125 кВт.

4. Расчёт для построения фрезы

Мы разбили фрезу на 13 сечений

Построение лучше всего принимать с базового сечения. На нем из точки А проводят луч О1А1 под углом  к радиусу ОА и по формуле


Где ro - сечение внутренней поверхности отвала, смф и rс радиусы фрезы и ступицы


Радиус ro можно подобрать циркулем, имея виду, что центр его дуги должен лежать на луче О1А из точки В проводят дугу во2 и радиусом ro.

На продолжении АО и ВО откладывают отрезки Аа и Вв, длину которых определяет требование прочности, из точек а и в проводят лучи bm1 и bm2 под углом  , значение его можно получить из выражения


=130

Остальные сечения рассчитываются аналогично

4.1 Расчет механического рыхлителя грунта

.1.1 Расчет геометрических параметров фрезы.

Диаметр фрезы по С.П. Огородникову [10]


Где Qгр - производительность по грунту;фр-длина фрезы;п-скоростъ папильонирования;

Кдв - коэффициент, характеризующий степень использования фрезы по диаметру (Кдв =0,85.. .9,95)коэффициент, характеризующий степень использования фрезы по длине. (KL =0,9.,.0,95)

Кпр- коэффициент просора грунта, (Кпр =0,8)

Согласно исследований С.П.Огородникова =0,6.. .6,7.

Принимаем  = 0,65%Dcpp

Известно, что

где  - скорость вращения фрезы.

Принимаем  =170 м/мин=8, тогда из (1) следует:



Диаметр фрезы по Б.М.Шкундину[10] для легких грунтов,

 (2)

Из (2) получим


В качестве искомого значения, принимаем среднее Dфр=0,9 м

Принимаем митрообразную форму фрезы с углом 15°.

Тогда для фрез, имеющих коническую форму вращения, можно определить:

Угол наклона ножей к оси вращения принимаем =50°

Тогда число ножей фрезы




Принимаем Zфр=4

Для режущих частей фрезы можно записать выражение:

 (3)

где - угол резания,

-угол заточки профиля;

-задний угол:

Для плотных абразивных грунтов можно принять =28°.

Задний угол определяем из выражения В.А. Иванова


Действительно из формулы (3) следует, что:

Действительный угол резания по В.А.Иванову определяется:

 (4)

Должно быть

Из (4):


Следовательно значение попадает в оптимальный интервал. Длина отвальной направляющей поверхности:


4.2 Расчет потребляемой мощности фрезы

При разработке грунтов с обрушением по С.П. Огородникову [7]:

ф=e*Qгр (5)

где е - удельная энергоемкость подводной разработки грунтов, кВт/(м3/ч)

Согласно исследований С.П.Огородникова для слежавшихся песков и песков поросших растительностью е=0,35.. .0,45

тогда из (5) получим:

ф=e*100=35…45 кВт

Принимаем Nф =40 кВт

Число оборотов фрезы:


.3 Определение вертикальной составляющей резания грунта

Вертикальной составляющей резания грунта определяется по формуле выведенной В.А. Ивановым


где

 -угол контакта фрезы с грунтом;

 - толщина затупленной режущей кромки ножа;

Ф - текущее значение контакта фрезы с грунтом;

 - угол наклона площади износа задней поверхности ножа к траектории его движения;

. - угол внешнего трения грунта;

 - длина ножа;


 - число ножей фрезы;,K5 - удельное сопротивление грунта соответственно сдвигу и смятию;

- угол внутреннего трения;

Для 4 категории грунта (K4=50 кПа; K5=300 кПа)

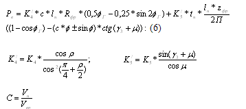
После подстановки в формулу (6) получим, кН;

Рв=215*0.026*0.933*0.45*(0.5*3.14)+186*0.035*((0.933*4)/(2*3.14))*2=15.1 кН

Принимаем Рв=1500 кг.

4.4 Расчет горизонтальной составляющей резания грунта

Согласно исследований В.А. Иванова, горизонтальную составляющую резания грунта определим по формуле:

 (7)

Для 4 категории грунта определим:

Р1=215*0,026*0,933*0,45*0,026*2+186*0,035*((0,933*4)/(2*3,14))*(0,026*3,14*2*ctg(170+190))=11.1 кН

С учетом коэффициента запаса принимаем Рт=1500 кг

.5 Расчет режимов резания грунта

Спроектированная фреза с отвально-режущей кромкой, в которой лопасти расположены по спиральной поверхности является не только режущим элементом, но и осевым насосом, нагнетающим грунтовую смесь к всасывающему грунтоприемнику. Фреза предназначена не только резать грунт, но и измельчать его до состояния оптимального для всасывания.

Известно, что состояние грунта, отделенного от массива фрезой, зависит от соотношения Vн/Vфр. При увеличении Vн и снижении Vфр снижаются удельные энергетические затраты на процесс резания, однако при этом отрезаются куски грунта, исключающие процесс грунтозабора. Грунт можно отрезать мелкой стружкой, которая способна засасываться грунтоприемником. Из опыта эксплуатации земснарядов с фрезами установлено оптимальное значение Сопт.

Сопт= Vн/Vфр=0,04...0,05

При нем удельные затраты энергии на резание и забор грунта минимально.

С учетом

Vф=ф*Rф

получено выражение для определения оптимального значения


где Np-мощность привода фрезы:

-КПД передачи от привода к фрезе;

-площадь сечения разрабатываемой папильонажной ленты;

=0,95*Dф*Lф

коэффициент запаса мощности привода фрезы (m=1,15... 1,25) для 4 категории грунта,


Производительность по грунту определим из формулы (1):

 (9)