Составим балансовые уравнения:
где 0,0044 - масса перрената кальция:
Из (2.19): y = 1,48824823z.
Из (2.18): x = 4,0941766z - 0,00004972.
Подставив эти выражения x и y через z в (2.17), получим уравнение относительно z, решением которого является:
z = 0,1519273.
Тогда: y = 0,2261055 и x = 0,6219675.
Масса огарка:
Масса циклонной пыли:
Масса пыли и шламов электрофильтров и скруббера:
![]()
,
в том числе будет уловлено пыли в сухом электрофильтре с учетом конденсации Re2O7:
где
0,052![]()
0,50 -
масса Re2O7;
будет уловлено в скруббере:
будет уловлено в мокром электрофильтре:
![]()
;
потери с газами (пыль и Re2O7):
где 0,0039 - несконденсировавшийся Re2O7 (потери).
При принятой точности расчета потери пыли с газами обращаются в нуль.
Массы побочных продуктов обжига:
§ в огарке ![]()
§ в циклонной пыли ![]()
§ в пыли электрофильтров и скруббера
Расчет выхода продуктов обжига в установившемся режиме с оборотом циклонной пыли
Обжиг циклонной пыли (без учета бентонита)
Побочные
продукты обжига распределяются между твердыми продуктами обжига циклонной пыли
в том же соотношении, как при обжиге концентрата, а сумма масс побочных
продуктов обжига циклонной пыли (в огарке, циклонной пыли и пыли
электрофильтров и скруббера) равна массе их в обжигаемой циклонной пыли, т.е. ![]()
кг.
Массы побочных продуктов обжига в твердых продуктах обжига 20,144 кг циклонной пыли:
§ в огарке ![]()
§ в циклонной пыли ![]()
§ в пыли электрофильтров и скруббера
Массы твердых продуктов обжига 20,144 кг циклонной пыли:
§ огарок
§ циклонная пыль
§ пыль электрофильтров и скруббера
Итого
масса твердых продуктов обжига 20,144 кг циклонной пыли![]()
,
Или
выход в %: 20,037/20,144![]()
100 =
99,469 %.
Выход циклонной пыли при обжиге циклонной пыли, доли ед.:
,552/20,144 = 0,2259730.
Предел, к которому стремится масса оборотной пыли в установившемся режиме обжига (без учета бентонита):

Продукты обжига бентонита
В 100 кг бентонита, согласно исходным данным, содержится, кг:
SiO2 46,000
СаО 0,500
А12О3 37,500
MgO 0,300
H2O 15,500
Проч. 0,200
Итого 100,000 кг
В том числе содержится кислорода, кг
О(SiO2)
= ![]()
О(СаO) = ![]()
;
О(А12O3)= ![]()
О(МgO) =
![]()
О(H2O) = ![]()
Всего кислорода 56,175 кг.
В процессе обжига из состава бентонита претерпевает изменения только СаО, который, переходит на 10 % в СаМоО4 (причем МоО3 берется из свободного в соответствующем твердом продукте обжига):
СаО(СаМоO4) =
![]()
Мо(СаМоO4) =
![]()
![]()
О(СаМоO4) =
![]()
СаМоО4
= ![]()
МоO3(СаМоO4) =
![]()
О(МоО3) = 0,128 - 0,085 = 0,043 кг.
Предварительно условно будем считать, что в составе побочных продуктов обжига бентонита 10 % СаО находится в свободном состоянии, а потом в каждом твердом продукте обжига учтем, сколько МоО3 перейдет из свободного состояния в СаМоО4.
Масса кислорода в 10 % СаО:
,143![]()
0,10 =
0,014 кг.
СаО бентонита при обжиге переходит на 90 % в СaSO4 (SO3 - из газовой фазы): СаО(CaSO4) = 0,50 - 0,050 = 0,450 кг;
CaSO4= (136,14/56,08)x0,450 = 1,092 кг;(CaSO4 ) = (4x16/56,08)x0,450 = 0,514 кг;4(CaSO4) = (32,06/56,08)x0,450 = 0,257 кг.
Масса
побочных продуктов обжига 100 кг бентонита, кг (без учета MоO3 в
составе СаМоO4):
СаO(СаМоO4) +
СaSO4 + SiO2 + Al2O3 +MgO + Прочие = 0,05 + 1,092 +
46,0 + 37,5 + 0,3 + 0,2 = 85,142 кг
Масса
кислорода в побочных продуктах обжига 100 кг бентонита, кг (без учета-кислорода
M0O3 в составе СаМоО4):
O(СаО в СаМоO4) + О(CaSO4) + O(SiO2) +O(Al2O3) + O(MgO) =
= 0,014 + 0,514 + 24,497 + 17,654 + 0,119 = 42,798 кг.
С учетом перераспределения МoО3 между твердым продуктом обжига концентрата и побочными продуктами обжига бентонита массы побочных продуктов обжига бентонита и кислорода в них соответственно составляют на 100 кг бентонита:
,142 + 0,128 = 85,270 кг,
О = 42,798 + 0,043 = 42,841 кт,
где 0,128 - масса МoО3, переходящего в СаМoO4 побочных продуктов обжига 100 кг бентонита;
,043 - масса кислорода в Мо03, переходящем в СаМо04 побочных продуктов обжига 100 кг бентонита.
Выход побочных продуктов обжига бентонита от массы бентонита (без учета МоО3 в составе СаМо04), доли ед.:
85,142/100 = 0,85142.
Определим
массы побочных продуктов обжига бентонита в твердых продуктах обжига, учитывая,
что выход побочных продуктов обжига бентонита 0,85142 (без учета Мо03),
содержание бентонита в гранулах 5,5 %, концентрата и оборотной пыли в гранулах
100-5,5-14=80,5 %, а побочные продукты, обжига бентонита в установившемся
режиме распределяются между огарком и пылью электрофильтров и скруббера (т.к.
состав и масса циклонной пыли при этом постоянны); побочные продукты обжига
бентонита распределяются между твердыми продуктами обжига концентрата
пропорционально массам побочных продуктов обжига в них (т.е. в огарке,
циклонной пыли и пыли электрофильтров и скруббера соответственно ![]()
; 2,195 и
![]()
кг).
Обозначим через "X" массу побочных продуктов обжига бентонита в циклонной пыли в установившемся режиме.
Тогда
масса циклонной пыли ![]()
+ X, кг;
масса побочных продуктов обжига в циклонной пыли 2,195, кг; масса бентонита в
гранулах:
Суммарная масса побочных продуктов обжига в огарке и пыли электрофильтров и скруббера (без учета бентонита):
![]()
+ ![]()
= 7,512
кг.
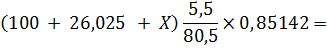
Тогда масса побочных продуктов, обжига бентонита в циклонной пыли в установившемся режиме определится из соотношения:
2.3.4.3. Грануляция шихты
Дозировка бентонита на грануляцию:
Масса побочных продуктов обжига бентонита
,759*0,85142 = 7,458 кг,
из них переходит:
· в огарок
· в пыль электрофильтров и скруббера:
Дозировка воды на грануляцию:
![]()
г
Материальный
баланс грануляции концентрата и оборотной пыли представлен в таблице 2.3.
Таблица 2.3
Материальный баланс грануляции концентрата и оборотной пыли
|
№ пп |
П о с т у п а е т |
Масса, кг |
№ пп |
В ы х о д и т |
Масса, кг |
|
1 2 3 4 |
Концентрат Оборотная циклонная пыль Бентонит Вода |
100 28,204 8,759 22,296 |
1 |
Гранулированная шихта |
159,259 |
|
|
И т о г о |
159,259 |
|
И т о г о |
159,259 |
Примечание. Масса оборотной пыли слагается из массы ее, определенной без учета бентонита, и массы побочных продуктов обжига бентонита в ней.
Массы
побочных продуктов обжига ![]()
кг
циклонной пыли (без продуктов обжига бентонита)
Побочные
продукты обжига ![]()
кг
циклонной пыли распределяются между твердыми продуктами обжига следующим
образом:
· в огарок
(26,025
![]()
1,365)/20,144
= 1,764 кг;
· в циклонную пыль
(26,025
![]()
0, 496)/
20,144 = 0,641 кг;
· в пыли электрофильтров и скруббера
(26,025
![]()
0,334)/
20,144 =0,432 кг,
где 1,365; 0, 496 и 0,334- массы побочных продуктов обжига 20,144 кг циклонной пыли, переходящие соответственно в огарок, циклонную пыль, пыля электрофильтров и скруббера (из п.2.3.4.1).
2.3.4.5. Массы и состав твердых продуктов обжига в установившемся режиме (с учетом бентонита)
· масса огарка
![]()
![]()
в том числе:
![]()
С этим количествам СаО связано МоО3 (из свободного):
в
нем ![]()
Тогда масса свободного МоO3 в огарке составит:
Масса же твердых продуктов обжига бентонита:
· масса циклонной пыли
в том числе:
С этим количеством СаО связано MoO3 (из свободного):
в
нем ![]()
Тогда масса свободного Мо03 в циклонной пыли составит:
Масса же твердых продуктов обжига бентонита в циклонной пыли:
· масса пыли электрофильтров и скруббера;