Материал: Проектирование установки пневмоклассификатора

Внимание! Если размещение файла нарушает Ваши авторские права, то обязательно сообщите нам

Проектирование установки пневмоклассификатора

РЕФЕРАТ

пневмоклассификатор конструкция полочный

Пояснительная записка: с, рис., таблиц, приложение, источника.

Целью работы является исследование процесса разделения сыпучих материалов и совершенствование конструкции полочного классификатора, определение влияния конструктивных особенностей проточной части пневмоклассификатора на процесс разделения; изучение эффективности разделения в классификаторе при различных конструкциях полок; анализ зависимости между давлением в аппарате, скоростью и размером фракции и эффективностью классификации, проведение исследований и постановка экспериментов с выбранной проточной частью пневмоклассификатора.

Проведены экспериментальные исследования процесса разделения сыпучих веществ на лабораторной установке по разделению смеси песка с массовым соотношением 1:1 фракций -0,315+0,2 и -0,63+0,4; проведено компьютерное моделирование процессов происходящих в аппарате.

Получены оптимальные технологические параметры для выделения отдельных фракций в средней части аппарата при условии удовлетворительной очистки от крупных и пылевидных частиц.

Новизной данной работы является возможность разделения сыпучих материалов в одном аппарате на две и более фракции с высокой степенью разделения.

Данную установку можно использовать в химическом и строительном производствах, а также сельском хозяйстве.

Ключевые слова: АППАРАТ, ПНЕВМОКЛАССИФИКАТОР, УСТАНОВКА, ПОЛКИ, РАЗДЕЛЕНИЕ, ОТСЕВ, ФРАКЦИЯ, УНОС, ПРОВАЛ, ДАВЛЕНИЕ, СКОРОСТЬ, РАСЧЕТ.

ВВЕДЕНИЕ


Химическая, горнодобывающая, строительная и другие отрасли промышленности часто используют в качестве исходного сырья или конечного продукта дисперсные вещества, к фракционному составу которых предъявляются высокие требования. Нередко и продукты получают в виде порошка, крупнозернистого материала или гранул, качество которых существенно зависит от их однородности. Разделить полидисперсный материал на узкие фракции с заданным гранулометрическим составом можно путем проведения технологического процесса называемого классификацией, область использования которого чрезвычайно широка. Например, фракционирование гранулированных материалов применяется при получении минеральных удобрений, удаление высокодисперсных частиц (обеспыливание) из подсыпочного материала камер обжиговых печей используется при производстве электродов, очистка и подготовка семян к посеву является важнейшей технологической операцией в сельском хозяйстве. Высокая степень разделения при осуществлении процессов классификации дисперсных материалов влияет не только на расходные нормы сырья и его качество, но и определяет производительность и эффективность работы других машин и аппаратов в технологической схеме, что в конечном итоге сказывается на технико-экономических показателях всего производства.

Задачи, на которые ориентировано проведение разделительных процессов в различных отраслях промышленности, можно сформулировать следующим образом:

-        удаление тонкодисперсных фракций и получение обеспыленых продуктов;

-        удаление крупных фракций и получение тонкодисперсного продукта;

-        выделение из сыпучего материала требуемой фракции по граничному размеру частиц;

-        выделение из полидисперсного материала более двух фракций с заданным гранулометрическим составом.

Самыми распространенными методами в практике разделительных процессов являются механический, гидравлический и пневматический, каждый из которых имеет свою область применения.

Механический метод (грохочение) осуществляется путем рассева сыпучих материалов по геометрическому признаку на фракции при помощи сит с определенным размером отверстий. Данный метод применяется преимущественно для разделения частиц размерами от нескольких сантиметров до миллиметра. Скорость и полнота разделения полидисперсных смесей на фракции посредством грохочения падает при рассеве материала, размер частиц которого менее одного миллиметра. Это объясняется увеличением засоренности надрешеточного материала из-за уменьшения вероятности попадания в отверстия сита частиц при значительной величине их пробега или большой плотности слоя. Кроме этого, грохочение имеет ряд и других существенных недостатков, таких как вибрация, шум, износ сеток, громоздкость, энергоемкость и пылевыделения, вызванные переизмельчением материала и не герметичностью оборудования.

Гидравлическая классификация базируется на различии скоростей осаждения отдельных фракций разделяемой смеси в жидкости. Наибольшее распространение этот метод нашел в горнодобывающей промышленности при обогащении полезных ископаемых, тогда как в химической используется значительно реже. Это связано с изменением физико-химических и технологических свойств обрабатываемого материала при его увлажнении. Кроме того, при проведении гидравлической классификации образуются большие объемы шламовых вод, требующие значительных энергетических затрат на выделение твердой фазы и последующего обезвоживания материала.

Пневматическая классификация основана па разнице скоростей витания частиц различных фракций в потоке воздуха. Этот метод лишен многих недостатков, свойственных механической и гидравлической классификации, и имеет определенные преимущества. Так, в отличие от механической классификации в воздушном потоке разделяют исходный материал на фракции по совокупности физико-механических свойств частиц: размерам, форме, шероховатости поверхности и плотности. По сравнению с гидравлической классификацией пневматический метод разделения позволяет получать продукты в сухом виде, что снижает энергоемкость проводимых технологических процессов. Эти отличительные признака способствуют распространению пневматической классификации в различные отрасли промышленности.

Основными способами пневматической классификации являются гравитационный и центробежный, последний успешно используется при разделении тонко дисперсных материалов по граничному размеру менее 0,1 мм. Гравитационная классификация позволяет разделять смеси с частицами от 0,1 до 5 мм. наиболее часто встречающихся в технологии производства минеральных удобрений, электродной, пищевой, зерноперерабатывающей и других отраслях промышленности.

Теорию гравитационных процессов разделения разработали П. Риттингер и Р. Ричардс и далее развили ее в своих работах Ф. Кайзер, Р. Ханкок, Г.О. Чечот, П.В. Лященко, И.М. Верховский, И.Н. Плаксин, В.И. Классен Н.И. Виноградов, В.И. Ревнивиев и др. Несомненный вклад в дальнейшее углубление теоретических основ воздушной гравитационной классификации внесли М.Д. Барский, Е.В. Донат, Г.Л. Бабуха, А.Д. Шрайбер, А.М. Кутепов, Н.М. Зверев, С.Г. Ушаков, В.Е. Мизонов, В.В. Гортинский, А.Б. Демский и многие другие ученые.

В настоящее время, с учетом возросших требовании к качеству продуктов и экономии сырьевых материалов, разработка новых принципов организации процесса гравитационной пневмоклассификании, его теоретических основ и аппаратурного оформления является актуальной проблемой.

М.Д. Барский принимая во внимание исследования немецкого ученого Ф. Каизера, предложил новые принципы рациональной организации процесса гравитационной классификации и разработал их физические основы. Основная суть этих принципов заключается в переводе процесса на неустановившийся режим движения потока воздуха, что достигается размещением внутри сепарационного канала аппарата каскада контактных элементов. Перспективность каскадной пневмоклассификации, организованной в объеме одного аппарата, подтверждена им при использовании в качестве контактных элементов наклонных сплошных пластинчатых полок.

С целью повышения эффективности процесса разделения сыпучих материалов и расширения области его использования дальнейшее усовершенствование каскадных пневмоклассификаторов идет в основном по пути создания новых контактных элементов. Это, по-нашему мнению, вполне оправдано, так как конструкция контактных элементов в значительной степени определяет структуру двухфазного потока и механизм протекания процесса разделения в целом. От типа и количества контактных элементов, представляющих собой своеобразные местные сопротивления при движении восходящего воздушного потока, зависит также и энергоемкость аппарата.

Однако на сегодня известны лишь отдельные работы, в которых предпринимают попытки следовать тем или иным принципам разработки эффективных образцов соответствующего оборудования. Отсутствие систематических исследований, посвященных глубокому изучению особенностей и закономерностей процесса пневмоклассификации, протекающего в таких аппаратах, которые позволили бы провести сравнительный анализ новых конструкций контактных элементов и выявить оптимальные области их использования, препятствует накоплению экспериментального материала. Это, учитывая преимущество статистического подхода к описанию сложного многофакторного процесса разделения частиц в условиях каскадной пневмоклассификации, сдерживает получение новых углубленных теоретических знаний, создание надежных инженерных методов расчета каскадных пневмоклассификаторов и широкое их внедрение в различные отрасли промышленности.

Целью настоящей работы является разработка научных основ и принципов совершенствования процессов и аппарата пневмоклиссификации сыпучих полидисперсных материалов.

Для достижения указанной цели поставлен и решен комплекс следующих задач:

1.       Проведены исследования процесса в пневмоклассификаторах традиционных конструкций: пустотелом (равновесном), с пластинчатыми сплошными и перфорированными наклонными полками, в результате которых выявлены гидродинамические особенности функционирования аппаратов и их влияние на эффективность классификации полидисперсных материалов.

2.       С учетом выявленных негативных гидродинамических эффектов в указанных выше аппаратах разработаны научно обоснованные принципы конструирования контактных элементов каскадных пневмоклассификаторов и осуществлена их практическая реализация.

3.       Проведена экспериментальная оценка и выявлен положительный эффект влияния конструктивных инноваций на механизм работы контактных элементов, структуру воздушного потока и характер распределения твердых частиц в сепарационной камере пневмоклассификатора.

4.       Проведен сравнительный анализ и определены области предпочтительного технологического применения певмоклассификаторов с новыми конструкциями контактных элементов.

5.       Экспериментально установлены технологические и конструктивные параметры процесса многокомпонентной пневмоклассификации полидисперсных материалов, обеспечивающие высокую эффективность фракционирования в объеме одного аппарата.

1. МАТЕМАТИЧЕСКОЕ МОДЕЛИРОВАНИЕ И ОПТИМИЗАЦИЯ ПРОТОЧНОЙ ЧАСТИ ПНЕВМОКЛАССИФИКАТОРА

1.1 Создание 3D моделей пневмоклассификатора с различными видами полок


В данное время компьютерная техника позволяет решать сложные задачи, которые ранее были не доступны или занимали очень продолжительное время. На сегодняшний день производительности персонального компьютера или рабочих станций хватает для проведения огромного количества вычислений за короткое время. Программные комплексы и продукты для расчета, проектирования и моделирования гидродинамических, теплообменных, массообменных и химических процессов получают все большее распространение в проектных организациях, научных кругах и предприятиях, которые проводят опыты и моделируют вышеперечисленные процессы.

Компьютерное моделирование в ближайшее время в полном объеме заменит физическое моделирование. Уже сейчас заметно огромное стремление к виртуальному моделированию, которое исключает расходы на изготовление металлоемких модельных и опытно-промышленных образцов оборудования, экспериментальных стендов с высокоточными и ценными контрольно-измерительными приборами и при условии правильно составленной математической модели сводит погрешности эксперимента практически к минимуму.

D модель пневматического классификатора создана с помощью системы твердотелого моделирования КОМПАС-3D V13 (#"810446.files/image001.gif"> (1.6)

где k - турбулентная энергия, м2/с;

ε - скорость диссипации турбулентной энергии, м23.

 (1.7)

где ρhyd - гидростатическая плотность, кг/м3;

g - вектор силы веса, м/с2;

В - сила вращения (Кориолиса и центростремительная) в системе координат, которая вращается, м/с2;

R - силы изотропного и (или) анизотропного фильтра сопротивления, кг/(м2·с2).

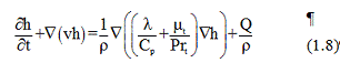
Уравнение энергии [24]:


где h - энтальпия, м22;

λ - коэффициент теплопроводности, Вт/(м·К);

Cp - удельная теплоемкость, Дж/(кг·К);

Prt - турбулентное число Прандтля;

Q - источник тепла анизотропного фильтра сопротивления, Вт/м3.

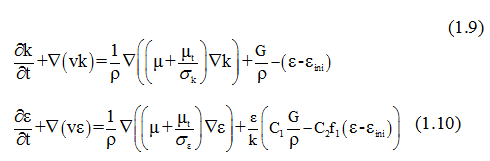
Модель турбулентной несжимаемой жидкости основывается на k-ε модели турбулентности [24]:


где εini - начальное значение турбулентной диссипации, м23;

σk = 1, σε = 1, C1 = 1,44, C2 = 1,92 - значения параметров k-ε модели.

Динамика частиц (particles) [24]:

 (1.11)


где хч - положение частицы (вектор), м;ч - диаметр частицы, м;- масса частицы, кг;

ζf - коэффициент сопротивления;

w -скорость частицы относительно несущей фазы, м/с.

Уравнение неразрывности для несущей фазы:

 (1.13)

где Qmass - источник массы за счет частиц, кг /(м3·с).

Процесс задания граничных условий разбит на два этапа. На первом этапе необходимо описать граничные условия, выбирая из списков тип и подтип граничного условия и, указывая параметры, когда это необходимо. На втором этапе - установить описанные граничные условия на определенных поверхностях. Задание параметров методов расчета и физических параметров осуществляется вводом в папках Physical Parameters (Физические параметры) и Method Parameters (Параметры метода). При создании нового варианта автоматически вводятся параметры, большинство из которых уже имеют оптимальные значения. В папке Physical Parameters (Физические параметры) осуществляется также выбор свойств веществ, которые находятся в выбранной подобласти (Воздух (Air)). Существует как возможность создания всех свойств вручную (в том числе и с помощью уравнений или внешних функций), так и загрузивши их с базы данных веществ. Задаются параметры скоростей и давлений, температур, а также свойства материала, шероховатость стенки, и многое другое.

1.3 Визуализация результатов компьютерного моделирования


Визуализацию результатов расчета осуществлено с помощью постпроцессора. Анализ может производиться как в процессе расчета, так и после его завершения. Постпроцессор предоставляет большой выбор методов визуализации скалярных и векторных переменных на различных геометрических объектах, а также позволяет сохранить данные в файл для обработки другими средствами.