Материал: Проектирование усилителя

Внимание! Если размещение файла нарушает Ваши авторские права, то обязательно сообщите нам

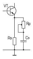
4.2 Расчет емкостей блокировочных конденсаторов


Примем емкости блокировочных конденсаторов равными 1000 мкФ. Оценим вносимые искажения данными элементами. Постоянные времени блокировочных цепей определим из формулы


Коэффициент

,

Коэффициент


Коэффициент :


Суммарный коэффициент НЧ-искажений вносимых разделительными и блокировочными емкостями



5. Оценка нелинейных искажений


5.1 Нелинейные искажения входного каскада


Фактор связи при параллельной ООСН


Коэффициенты гармоник КГ2 и КГ3


Суммарный коэффициент гармоник каскада


5.2 Нелинейные искажения промежуточного каскада


Фактор связи для каскада с ОЭ и ПООСТ


где  - сопротивление источника сигнала или  предыдущего каскада.


Коэффициенты гармоник КГ2 и КГ3


Суммарный коэффициент гармоник каскада


Фактор связи для каскада с ОЭ и параллельной ООСН


Коэффициенты гармоник КГ2 и КГ3


Суммарный коэффициент гармоник каскада


5.3 Нелинейные искажения каскада с ОК


Фактор связи для каскада с ОК


где  - сопротивление источника сигнала или  предыдущего каскада.


Коэффициенты гармоник КГ2 и КГ3


Суммарный коэффициент гармоник каскада


5.4 Нелинейные искажения оконечного каскада


Фактор связи для каскада


Коэффициенты гармоник КГ2 и КГ3


Суммарный коэффициент гармоник каскада


Коэффициент гармоник УУ


6. Расчет регулировок усиления


 Так как входное напряжение УУ изменятся в широких пределах UВХ = 8…800 мВ, то необходимо во-избежании перегрузки каскадов УУ обеспечить регулировку усиления.

Коэффициент усиления входного каскада К0 = 15,7. Выходное напряжение каскада UВЫХ = 39,35 мВ. Следовательно, при входном сигнале 8 мВ коэффициент усиления необходимо уменьшить в 3 раза


При UВХ = 800 мВ К0 необходимо уменьшить в 319 раз


Глубина регулировки


Применим трех ступенчатый П - образный аттенюатор, который включается на входе УУ, показанный на рисунке 6.1

Рисунок 6.1 - 3-х ступенчатый аттенюатор

В промежуточный каскад введем плавную регулировку - 10 дБ, показанную на рисунке 6.2

Рисунок 6.2 - Плавная регулировка

Определим сопротивления резисторов каждой ступени аттенюатора


где  - характеристическое сопротивление тракта передачи, D - глубина регулировки одной ступени в относительных единицах.


Сопротивление переменного резистора для плавной регулировки усиления



7. Расчет результирующих характеристик


Значения нормированных коэффициентов усиления ВЧ и НЧ каждого каскада были определены в ходе расчётов последних

YВ промежуточного каскада

YВ каскада с ОК

YВ оконечного каскада

Определим YВ входной цепи


где  - входная емкость входного каскада,  - входное сопротивление входного каскада.


Отсюда YВ входной цепи


Суммарный YВ всех каскадов и входной цепи


Коэффициент ВЧ искажений УУ

Нормированный коэффициент усиления НЧ области


Коэффициенты  были рассчитаны выше при определении номиналов ёмкостей. И так, общий  УУ будет равен


Отсюда нормированный коэффициент усиления в области УУ



Заключение


В ходе выполнения курсовой работы было определено число каскадов усилительного устройства - 3 каскада. После расчёта оконечного каскада потребовалось введение дополнительного предоконечного каскада с ОК с непосредственной межкаскадной связью. Были выбраны 3 транзистора: КТ610Б - для оконечного каскада; КТ316ДМ - для предоконечного и промежуточного каскада; КТ382БМ для входного каскада. Были рассчитаны электрические параметры каждого каскада, цепи питания и термостабилизации. Также были получены номиналы пассивных элементов схемы, которые были округлены до стандартных значений.

Высокочастотные искажения распределились по каскадам следующим образом: входной каскад - 0,3 дБ; промежуточный каскад - 0,069 дБ; предоконечный каскад - 0,095 дБ; оконечный каскад - 0,0087 дБ. В сумме получается - 1, 206 дБ. Низкочастотные искажения также не превышают нормы и равны 1,931 дБ.

Так же были рассчитаны нелинейные искажения каждого каскада и усилительного устройства в целом. Для входного каскада коэффициент гармоник (КГ) - 0,468%, для промежуточного каскада - 0,253%, для предоконечного каскада - 0,063% и для оконечного - 0,031%. Что в сумме дает 0,537% и удовлетворяет условию.

Список литературы


1.      Красько А.С., Аналоговые электронные устройства: Методические указания по курсовому проектированию. - Томск: ТУСУР, 2000. - 42с.: ил.

2.      Красько А.С. Аналоговые электронные устройства: Учебное пособие. - Томск: ТУСУР, с 2000. - 196с.: ил.

.        Транзисторы для аппаратуры широкого применения.: Справочник / Под ред. Б.Л. Перельмана. М.: Радио и связь, 1981

.        Москатов Е.А. Справочник по полупроводниковым приборам, - Таганрог, 2004

.        Москатов Е.А. Электронная техника, - Таганрог, 2004

.        Сост. Алексеева И.Н. В помощь радиолюбителю: Сборник. Вып.109. - М.: Патриот, 1991. - 80с.: ил.

Приложение А


Амплитудно-частотная характеристика усилителя

(Логарифмический масштаб)

Рисунок А.1

Приложение Б


Справочные данные о транзисторе КТ610Б

Электрические параметры

Статический коэффициент передачи тока в схеме с ОЭ

Постоянная времени цепи обратной связи на высокой частоте

Граничная частота коэффициента передачи в схеме с ОЭ

Ёмкость коллекторного перехода при Uкб = 10В

Обратный ток коллектора

Предельные эксплуатационные параметры

Постоянное напряжение коллектор-эмиттер

Постоянный ток коллектора

Постоянная рассеиваемая мощность коллектора

Максимальная температура перехода

Максимальная температура среды


Приложение В


Справочные данные о транзисторе КТ382БМ

Электрические параметры

Статический коэффициент передачи тока в схеме с ОЭ

Постоянная времени цепи обратной связи на высокой частоте

Граничная частота коэффициента передачи в схеме с ОЭ

Ёмкость коллекторного перехода при Uкб = 5В

Обратный ток коллектора

Предельные эксплуатационные параметры

Постоянное напряжение коллектор-эмиттер

Постоянный ток коллектора

Постоянная рассеиваемая мощность коллектора

Тепловое сопротивление "переход-среда"


Приложение Г


Справочные данные о транзисторе КТ316ДМ

Электрические параметры

Статический коэффициент передачи тока в схеме с ОЭ

Постоянная времени цепи обратной связи на высокой частоте

Граничная частота коэффициента передачи в схеме с ОЭ

Ёмкость коллекторного перехода при Uкб = 5В

Обратный ток коллектора

Предельные эксплуатационные параметры

Постоянное напряжение коллектор-эмиттер

Постоянный ток коллектора

Постоянная рассеиваемая мощность коллектора