Тепловые секции монтируют на двух чугунных боковинах, скрепленных между собой продольными связями и желобом, в котором установлен шнек вывода зерна из сушилки. Разгрузочное устройство над шнеком состоит из лопастного валика-ворошителя , регулирующей задвижки с рукояткой.
Скорость движения зерна сверху вниз, а следовательно, время пребывания зерна в сушилке регулируют задвижкой. Давление пара и его температуру регулируют редукционным вентилем. Для поддержания постоянного уровня зерна в камере сушилки в зерноприемнике смонтированы электронные датчики уровня, которые управляют двухскоростным электродвигателем привода рамы и каретки выпускного устройства.
Охладительная колонка ОК. Предназначена для охлаждения и частичного подсушивания зерна крупяных культур после паровых сушилок. Она состоит из двух охладительных шахт, приемного и выпускного бункеров и грузовых клапанов. Внутренние стенки шахты выполнены из штампованного сита с отверстиями размером 1,5х20 мм, а наружные стенки - жалюзийные.
Нагретое зерно после сушилки поступает в приемный бункер и далее по шахтам медленно опускается вниз, подвергаясь интенсивному продуванию потоком воздуха. Забор воздуха осуществляется вентилятором.
Таким образом, наряду со снижением давления пара до атмосферного при гидротермической обработке зерна гречихи по предлагаемому способу происходит улучшение потребительских достоинств и качественных показателей готового продукта: цвета, вкуса, запаха, увеличивается коэффициент шелушения зерна, сокращается время варки крупы. Все это в целом предопределяет рациональность использования разрабатываемого способа на предприятиях малой мощности, который при ограниченном количестве оборудования, наименьшем количестве обслуживающего персонала и наиболее простом управлении обеспечивает эффективную работу предприятия и полностью удовлетворяет запросы потребителя.
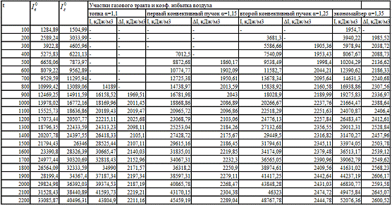
2. Тепловой расчет
Пропаривание гречихи происходит в аппарате
А9-БПБ. Его технические характеристики указаны В таблице 1.
Таблица 1. Технические характеристики пропаривателя
Пропаривание осуществляют при давлении пара
0,25-0,30 МПа и продолжительностью 5 мин при температуре 1000С. В
соответствии с техническими характеристиками паровых котлов подбираем тип
котла, обеспечивающий необходимые параметры процесса пропаривания - КП-250.
Таблица 2
3. Тепловой баланс, коэффициент полезного
действия (КПД) и расход топлива котельного агрегата
Тепловой баланс составляется в расчете на 1кг
сжигаемого топлива. Он определяет равенство между количеством тепла, поступившим
в котлоагрегат
, и суммой полезно
использованного тепла Q1 и тепловых потерь Q1, Q3,
Q4,
Q5, Q6.
Общее уравнение теплового баланса в абсолютных
величинах (ккал/кг):
или в относительных величинах (процентах):
На основании теплового баланса определяется КПД
котлоагрегата брутто
в %, расход (кг/ч,
нм3/ч)топлива В и Вр.
Учитывая, что для рекомендуемых к проектированию
паровых котлов не применяются горючие сланцы (расход тепла на разложение
карбонатов топлива Qк
= 0), располагаемое тепло топлива Qрр
определяется по формуле:
Qpp
= Qнр + Qв.вн.
+iтл
,
Величину тепла, вносимого воздухом, подогреваемым вне парового котла, Qb.bh. учитывают только для высокосернистых мазутов.
Величину физического тепла топлива iтл учитывают только для жидких топлив. Значит, в нашем случае:
Qpp
= Qнp
Располагаемое тепло
при
сжигании угля (ккал/кг)
Qpp = 3110 ккал/кг
Потеря тепла с уходящими газами, %, зависит от
заданной температуры уходящих газов из котлоагрегата и определяется по формуле:
где Iух
- энтальпия уходящих газов, ккал/кг, определяется по температуре уходящих газов
по табл. 3.1;
- энтальпия
холодного воздуха при заданной температуре tхв
и определяется по табл.3.1.
Таблица 3. Энтальпии продуктов сгорания
Потери тепла от химического недожога q3 и механического недожога q4 определяется по табл. 3,2 для данных типа топки и топлива. = 0.5%, q4 = 0%.
Потеря тепла от наружного охлаждения котла q5
находится по рис 3.1

Коэффициент сохранения тепла:
Потери с физическим теплом шлака q6 учитывают
только при сжигании твердых топлив если:
.
Т.к. условие не соблюдается
.
Сумма потерь тепла в котельном агрегате (%)
КПД котлоагрегата брутто определяется по
обратному балансу:
Полезно использованное тепло котельного агрегата (ккал/кг):
Принимаем P=0,8
атм=0,08 МПа, tнас=197,4
0С, i”=741
ккал/кг, iпв=110,3
ккал/кг,
где D - заданная паропроизводительность (кг/ч) котлоагрегата по пару (перегретый или насыщенный);
- количество
продувочной воды (кг/ч);
iпр=iн
- энтальпия продувочной воды, принимается равной температуре насыщения при
давлении в барабане котла, ккал/кг;",iпв - энтальпия
перегретого пара и питательной воды на входе в барабан котла или водяной
экономайзер при заданном абсолютном давлении, температурах пара и питательной
воды (ккал/кг).
Полный расход топлива (кг/ч; нм3/ч).
. Анализ конструкции разрабатываемого типа
машины, узла, приспособления
Для интенсификации процесса шелушения зерна, снижения количества дробленых зерен, повышения пищевкусовых качеств и увеличения выходов готовой продукции на крупозаводах нашла широкое применение гидротермическая обработка. Этот процесс состоит из трех последовательных операций: пропаривания, сушки и охлаждения.
Пропариватель периодического действия с автоматической системой управления процессом А9-БПБ предназначен для пропаривания зерна крупяных культур, главным образом гречихи.
Над загрузочным затвором пропаривателя устанавливают бункер для зерна. Сам аппарат состоит из цилиндрической пропаривающей камеры, загрузочного и разгрузочного затворов, вентилей для подачи пара и снижения давления, механизма автоматического управления и электродвигателя.
Пропаривающая камера представляет собой сварной вертикальный цилиндр с крышкой и коническим днищем. В крышке и днище имеются горловины для установки приемного и выпускного затворов. Внутри пропаривающей камеры установлен змеевик, состоящий из трех горизонтальных трубчатых колец с отверстиями, расположенными по периметру и обращенными вниз, и труба для снижения давления. Кольца змеевика соединены между собой трубами; патрубок среднего кольца соединен с вентилем подачи пара.
Затворы для приема и выпуска зерна выполнены в виде пробковых кранов. Поворачивает пробку храповой механизм, приводимый в действие через систему рычагов от механизма автоматического управления.
На трубопроводе, подводящем пар, установлены предохранительный клапан и манометр.
Механизм автоматического управления выполнен в виде отдельной приставки к аппарату и соединен тягами с паровыми вентилями и приемно-выпускными устройствами. Параллельно предусмотрена возможность ручного управления.
Цикл пропаривания включает следующие операции. При закрытых кранах подачи и отвода пара и закрытом разгрузочном затворе открывается загрузочный затвор, аппарат заполняется очищенным зерном в количестве 660 кг. После заполнения аппарата загрузочный затвор закрывается посредством системы рычагов, приводимых от пульта автоматического управления.
Открывается вентиль подачи пара, который поступает в трубы змеевика и через отверстия в этих трубах проходит в зерновую массу, одновременно подогревая и увлажняя ее.
После истечения заданного срока пропаривания открывается вентиль для выпуска пара по трубе. Затем открывается разгрузочный затвор, пропаренное зерно высыпается в под - сушильный бункер, затвор закрывается и открывается загрузочный затвор.
Управление работой пропаривателя автоматическое. Цикл пропаривания составляет 7-10 мин (включая загрузку и выгрузку зерна).
Паровая сушилка ВС-10-49. Вертикальная паровая сушилка непрерывного действия предназначена для сушки и поджаривания крупяных культур или готовой крупы. Сушилка собрана из отдельных секций прямоугольного сечения, образующих вертикальную шахту. Шахту комплектуют из восьми, десяти, двенадцати и четырнадцати тепловых секций. Над верхней секцией установлен приемный ковш, а в нижней секции расположено выпускное устройство. Во всех остальных секциях в продольном направлении в шахматном порядке проходят девять труб 50 мм, внутри которых проходят трубы 25 мм. К боковым стенкам секций прикреплены скаты, направляющие зерно на паровые трубы. Для предотвращения пригорания зерна над трубами укреплены отражательные козырьки в виде уголков из листовой стали. Тепловые секции комплектуют из двух чугунных боковин, к которым крепят двойные трубы. Внутренние трубы ввинчены в стенку канала и открыты с обоих концов, а наружные трубы только одним концом ввинчены в стенку канала, другой же конец закрыт крышкой. В передней стенке сушилки сделано два вертикальных канала: канал подачи свежего пара и канал отвода отработавшего пара (конденсата). Канал подачи свежего пара в верхней секции соединен с паровой магистралью, а канал отвода пара в нижней секции сообщается с конденсатоотводящей магистралью. Тепловые секции снаружи ограждены съемными щитами, в которых с одной стороны устроены люки с задвижками для засасывания воздуха в сушилку, а с другой стороны - отверстия для всасывающих труб вентилятора, который отсасывает из сушилки воздух вместе с водяными парами.
Тепловые секции монтируют на двух чугунных боковинах, скрепленных между собой продольными связями и желобом, в котором установлен шнек вывода зерна из сушилки. Разгрузочное устройство над шнеком состоит из лопастного валика-ворошителя, регулирующей задвижки с рукояткой.
Скорость движения зерна сверху вниз, а следовательно, время пребывания зерна в сушилке регулируют задвижкой. Давление пара и его температуру регулируют редукционным вентилем. Для поддержания постоянного уровня зерна в камере сушилки в зерноприемнике смонтированы электронные датчики уровня, которые управляют двухскоростным электродвигателем привода рамы и каретки выпускного устройства.
Охладительная колонка ОК. Предназначена для
охлаждения и частичного подсушивания зерна крупяных культур после паровых
сушилок. Она состоит из двух охладительных шахт, приемного и выпускного
бункеров и грузовых клапанов. Внутренние стенки шахты выполнены из
штампованного сита с отверстиями размером 1,5х20 мм, а наружные стенки -
жалюзийные. Нагретое зерно после сушилки поступает в приемный бункер и далее по
шахтам медленно опускается вниз, подвергаясь интенсивному продуванию потоком
воздуха. Забор воздуха осуществляется вентилятором.
. Разработка мероприятий по охране окружающей
среды, технике безопасности, пожарной безопасности
Охрана окружающей среды
В проектах вновь строящихся и реконструированных крупяных заводовследует предусматривать специальный раздел «Охрана окружающей среды». Пыль, образующаяся в процессе технологии, попадая в атмосферу, снижает частоту атмосферного воздуха, уменьшает степень его прозрачности, что ведет к сокращению прямой солнечной радиации и ультрафиолетового излечения.
Пыль покрывает поверхность растений, затрудняет газообмен с внешней средой. Пыль состоит из измельченных частиц зерна и из минеральных частиц, густо обсемененных спорами грибов и бактерий, иногда содержит различныехимикаты. Кроме того, она пожаро- и взрывоопасна. При хранении зерна и готовой продукции возможна порча их амбарнымивредителями. Для обеззараживания хлебопродуктов используют химическиесредства защиты от вредителей, что является наряду с пылью источником загрязнения и отрицательного воздействия на окружающую среду (воздух, вода, почва, растительный и животный мир). Отрицательное воздействие на окружающую среду (человека) оказывают: шум, вибрация, вакуум, дискомфортные условия (температура, влажность) среды.
Проект должен предусматривать устройства и средства, сводящие к минимуму вредное воздействие перечисленного на окружающую среду. В проекте крупяного завода следует предусматривать технические решения, обеспечивающие выполнения требований действующих санитарных норм по защите атмосферного воздуха, водного бассейна, почвы. Уровни звукового давления на постоянных рабочих местах и на территории крупяного завода не должны превышать величин, предусмотренных санитарными нормами. Мероприятия по снижению избыточных уровней звуковогодавления должны предусматриваться как технологическими, так и объемно-планировочными и конструктивными решениями.
При проектировании пневмотранспортных установок и аспирационныхсетей следует предусматривать мероприятия по снижению звукового давлениявоздуходувных машин. При установке оборудования с избыточным уровнем звукового давления и вибрации в проекте должны быть предусмотрены технические решения, рекомендуемые паспортом завода-изготовителя, требованиямнаучной организации труда и техники безопасности. Содержание пыли в выбросах в атмосферу воздуха пневматических и аспирационных установок не должно приводить к превышению предельно допустимых концентраций, установленных санитарными нормами. Шумовые характеристики оборудования следует принимать по даннымзавода-изготовителя, а при их отсутствии - по данным машиноиспытательныхстанций. В проектах крупяных заводов следует применять освоенное промышленное оборудование и апробированные решения по утилизации тепловой энергиинагретого воздуха и пара, поступающего на технические нужды, а также в системы отопления и вентиляции.