Материал: Проектирование приводной станции литейного конвейера

Внимание! Если размещение файла нарушает Ваши авторские права, то обязательно сообщите нам

4. Расчет первой прямозубой передачи


Так как межосевое расстояние быстроходной ступени в точности равно межосевому расстоянию тихоходной ступени, модуль зацепления тоже одинаков.

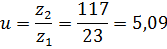
То есть , . Начинаем расчет сразу с определения количества зубьев. Определяем суммарное число зубьев передачи:


Принимаем зубьев.

Вычисляем число зубьев шестерни:


Принимаем зуба.

Вычисляем число зубьев колеса:


Уточняем передаточное отношение передачи:


Отклонение от заданной величины  составит:

, что допустимо

Определяем геометрические параметры передачи и сводим их в таблицу

Таблица 4.1 - Основные параметры передачи внешнего зацепления с цилиндрическими прямозубыми колесами

Геометрические параметры

Расчетные формулы для косозубых колес

Модуль зацепления, мм

2

Диаметр делительной окружности d, мм: шестерни колеса

 

Фактическое межосевое расстояние, мм

Диаметр окружности вершин , мм: Шестерни  колеса

 

Диаметр окружности впадин , мм: Шестерни  Колеса

 

Ширина зуба b, мм: Шестерни  колеса

 Принимаем 60


5. Ориентировочный расчет валов редуктора. Эскизная компоновка редуктора


Выбор материала валов:

Для двух валов редуктора при средней нагрузке выбираем сталь марки 45. Механические характеристики: диаметр заготовки - любой, твердость - 240НВ, σВ = 560 Н/мм2, σт = 280 Н/мм2, σ-1 = 250 Н/мм2, Ψτ = 0, τ-1 = 150 Н/мм2, Ψσ = 0, τт = 150 Н/мм2,

где σВ - предел прочности,

σт , τт - пределы текучести,

τ-1, σ-1 - пределы выносливости при изгибе и кручении,

Ψσ, Ψτ - коэффициенты, характеризующие чувствительность материала к асимметрии цикла нагружения.

Ориентировочный расчет валов

Определяем диаметры входного вала редуктора:

а) диаметр конца входного вала редуктора


Где  Н/мм2 - допускаемое касательное напряжение для входного вала.

Принимаем диаметр конца входного вала редуктора по стандартному ряду с учётом ослабления шпоночным пазом

б) диаметр входного вала под манжетное уплотнение:

в) диаметр входного вала под подшипник:

г) диаметр входного вала для обеспечения высоты буртика для посадки подшипника:

д) диаметр промежуточного вала под посадку ступицы шестерни:

Определяем диаметры промежуточного вала редуктора:

а) диаметр конца промежуточного вала редуктора


Где  Н/мм2 - допускаемое касательное напряжение для промежуточного вала.

Принимаем диаметр конца промежуточного вала редуктора по стандартному ряду с учётом ослабления шпоночным пазом

б) диаметр промежуточного вала под манжетное уплотнение:

в) диаметр промежуточного вала под подшипник:

г) диаметр промежуточного вала для обеспечения высоты буртика для посадки подшипника:

д) диаметр промежуточного вала под посадку ступицы шестерни / колеса:

е) диаметр промежуточного вала для обеспечения высоты буртика для посадки колеса:

Определяем диаметры выходного вала редуктора:

а) диаметр конца выходного вала редуктора


Где  Н/мм2 - допускаемое касательное напряжение для выходного вала.

Принимаем диаметр конца выходного вала редуктора по стандартному ряду с учётом ослабления шпоночным пазом

б) диаметр выходного вала под манжетное уплотнение:

в) диаметр выходного вала под подшипник:

г) диаметр выходного вала для обеспечения высоты буртика для посадки подшипника:

д) диаметр выходного вала под посадку ступицы колеса:

е) диаметр выходного вала для обеспечения высоты буртика для посадки колеса:

Выбор подшипников

Так как в цилиндрическом редукторе  при условии , выбираем радиально-упорные подшипники.

По ГОСТ 831-75 исходя из диаметров валов редуктора предварительно выбираем подшипники легкой серии.

Габаритные размеры и грузоподъемность выписываем в таблицу 5.1:

Таблица 5.1 - «Габаритные размеры подшипников»

Вал

Обозначение

Внутренний диаметр

Внешний диаметр

Ширина

Входной

36206

30

62

16

Промежуточный

36207

35

72

17

Выходной

36210

50

90

20

Конструктивные размеры элементов корпуса и крышки редуктора


Определяем толщину стенки корпуса:


принимаем  мм,

где Т - крутящий момент на выходном валу.

Определяем толщину стенки крышки редуктора:


Принимаем

Определяем толщину верхнего пояса корпуса редуктора:

Определяем толщину пояса крышки редуктора:

Определяем толщину нижнего пояса корпуса редуктора:

Определяем толщину ребер жесткости корпуса редуктора:

Определяем диаметр болтов, соединяющих корпус с крышкой редуктора около подшипников:


принимаем dк.п. =10 мм.



принимаем dф =14 мм.

Определяем диаметры болтов, соединяющих корпус и крышку редуктора:


принимаем

пределяем ширину нижнего пояса корпуса редуктора (ширина фланца для крепления редуктора к фундаменту):


Принимаем

Определяем ширину пояса (фланца) соединения корпуса и крышки редуктора около подшипников:


Определяем диаметр болтов для крепления крышки смотрового отверстия:

dкс=(6…10)=8 мм.

Определяем диаметр резьбы пробки:


Определяем диаметр штифтов:


Определяем диаметр болтов для крепления крышек подшипников к редуктору:


Определяем конструктивные размеры зубчатого колеса первой передачи: Определяем длину посадочного отверстия зубчатого колеса:


Определяем диаметр ступицы и ширину торцов зубчатого колеса:


Определяем диаметр обода колеса Dоб и толщину диска колеса С.


Определяем фаски зубчатого венца:


Определяем конструктивные размеры зубчатого колеса второй передачи:

Определяем длину посадочного отверстия зубчатого колеса:


Определяем диаметр ступицы и ширину торцов зубчатого колеса:


Определяем диаметр обода колеса Dоб и толщину диска колеса С.

 

Определяем фаски зубчатого венца:


После расчета участков валов можно выполнить предварительную эскизную компоновку редуктора на миллиметровой бумаге в масштабе машиностроительного черчения.


Заключение


Курсовой проект выполнен в полном объёме в соответствии с заданием.

Были рассмотрены следующие разделы и рассчитаны следующие показатели: I

1. Кинематический расчёт привода. В данном разделе определены кинематические и силовые параметры привода.

2. Выбор материала зубчатых колёс. В разделе были выбраны стали для изготовления зубчатого колес и шестерен. Определены допускаемые контактные напряжения и допускаемые изгибные напряжения. 1 контактные напряжения и допускаемые изгибные напряжения.

3. Расчёт закрытой передачи заключался в проверке прочности по контактным и изгибным напряжениям. Расчётные контактные напряжения (допускается 20 % недогрузки и 5 % перегрузки). Изгибные напряжения меньше допустимых.

. Были определены основные геометрические размеры деталей редуктора, необходимые для выполнения эскизной компоновки.

6. Расчёт валов редуктора. В данном разделе были выбраны материалы для изготовления валов и выполнен ориентировочный расчёт валов. Где были определены диаметры участков валов. Также выбраны подшипники валов редуктора. Выполнена эскизная компоновка редуктора. Где были определены расстояния между участками приложения сил.


Список используемой литературы


1.   Детали машин. Курсовое проектирование: Учеб. пособие для машиностроит. спец. учреждений среднего профессионального образования. - 5-е изд., доп. / П.В.Дунаев, О.П. Леликов, - М.: Машиностроение, 2007. - 560 с.

2.      Детали машин и основы конструирования. Проектирование цилиндрического редуктора: Учебное пособие к выполнению курсового проекта по дисциплине «Детали машин и основы конструирования» для студентов специальности 260100 всех форм обучения /А.Н. Кучеренко, - Красноярск: Сиб ГТУ, 2014. - 208 с.

.        Кинематический расчет привода. Выбор материала передач: метод. указания к курсовому проектированию по прикладной механике и деталям машин для студентов всех специальностей /Сост. С.Х. Туман, А.П. Игошин, Н.А.Цурган, - Красноярск: СФУ; КИЦМиЗ, 2007. - 32с.

.        Проектирование механических передач: Учеб пособие/ Н.А. Дроздова, С.Х.Туман, С.А. Косолапова, Т.Г.Калиновская, - Красноярск: ГАЦМиЗ, 2015. - 100с.

.        Расчет валов и эскизная компоновка редуктора: метод. указания к выполнению курсовых проектов, контрольных и расчетно-графических работ для студентов всех специальностей /Сост. С.Х. Туман, А.П. Игошин, В.И. Лысых, - Красноярск: ГАЦМиЗ, 2003. - 36с.

.        Конструктивные размеры редукторов: метод. указания к курсовому проекту по деталям машин и прикладной механике для студентов всех специальностей/ Сост. С.К. Какурина, Н.А. Какурина, С.Х. Туман, - Красноярск: ГАЦМиЗ, 2001. - 20с.

.        Проектирование опор валов на подшипниках качения: метод. указания к курсовому проектированию по прикладной механике и деталям машин для студентов всех специальностей/ Сост. А.П.Игошин, В.Я. Дьяконова, - Красноярск: ГАЦМиЗ, 2005. - 24с.

.        Конструктивные размеры деталей машин: метод. указания к курсовому проектированию по прикладной механике и деталям машин для студентов всех специальностей/ Сост. Н.А.Дроздова, С.А. Косолапова, - Красноярск: КИЦМ, 1991. - 22с.