Материал: Проектирование приводной станции литейного конвейера

Внимание! Если размещение файла нарушает Ваши авторские права, то обязательно сообщите нам

Проектирование приводной станции литейного конвейера

Введение


Зубчатые передачи широко распространены во всех отраслях машиностроения и приборостроения.

Принцип действия зубчатой передачи основан на зацеплении пары зубчатых колес. привод зубчатый напряжение редуктор

По расположению зубьев на колесах различают передачи: прямозубые, косозубые и шевронные.

Основными преимуществами зубчатых передач являются:

-       высокая нагрузочная способность и, как следствие, малые габариты.

-       большая долговечность и надежность работы.

-       высокий К.П.Д. (0,95÷0,97).

-       постоянство передаточного отношения.

-       возможность применения в широком диапазоне скоростей, мощностей и передаточных отношений.

Среди недостатков зубчатых передач можно отметить:

-       повышенные требования к точности изготовления

-       шум при больших скоростях, высокую точность.

В зависимости от вида изделия, условий его эксплуатации и требований к габаритным размерам выбирают необходимую твёрдость колёс и материал для их изготовления. Для силовых передач чаще всего применяют стали. Передачи со стальными зубчатыми колёсами имеют минимальную массу и габариты, тем меньшие, чем выше твёрдость рабочих поверхностей зубьев, которая в свою очередь зависит от марки стали и варианта термической обработки.

Современные цепные передачи могут передавать большие мощности (до 5 тыс. кВт) при сравнительно высоких скоростях (до 25-30 м/с). Цепные передачи применяют:

-       при средних межосевых расстояниях, при которых зубчатые передачи требуют промежуточных ступеней или паразитных зубчатых колес, не вызываемых необходимостью получения нужного передаточного отношения;

-       при жестких требованиях к габаритам;

-       при необходимости работы без проскальзывания (препятствующего применению клиноременных передач).

Ответственные цепные передачи выполняют закрытыми, заключенными в жесткий корпус, который служит масляной ванной.

Наибольшее применение получили цепные передачи мощностью до 120 кВт при окружных скоростях до 15 м/с.

Достоинства:

-       большая прочность стальной цепи по сравнению с ремнем позволяет передать цепью большие нагрузки с постоянным передаточным числом и при значительно меньшем межосевом расстоянии (передача более компактна);

-       возможность передачи движения одной цепью нескольким звездочкам;

-       по сравнению с зубчатыми передачами - возможность передачи вращательного движения на большие расстояния (до 8 м);

-       меньшая в 2 раза, чем в ременных передачах, радиальная нагрузка на валы;

-       сравнительно высокий КПД (ηmax>> 0,9÷0,98);

-       могут осуществлять передачу значительных мощностей (до нескольких тысяч киловатт);

-       допускают скорости движения цепи до 35 м/с и передаточные числа до u=10;

-       отсутствие скольжения;

-       меньшие габариты, чем у ременных передач, особенно по ширине;

-       малые силы, действующие на валы, так как нет необходимости в большом начальном натяжении;

-       возможность легкой замены цепи.

Недостатки:

-       сравнительно высокая стоимость цепей;

-       невозможность использования передачи при реверсировании без остановки;

-       передачи требуют установки на картерах;

-       сложность подвода смазочного материала к шарнирам цепи;

-       скорость движения цепи, особенно при малых числах зубьев звездочек, не постоянна, что вызывает колебания передаточного отношения. Основной причиной этого недостатка является то, что цепь состоит из отдельных звеньев и располагается на звездочке не по окружности, а по многоугольнику;

-       повышенный шум, особенно на высоких скоростях, вследствие удара звена цепи при входе в зацепление и дополнительные динамические нагрузки из-за многогранности звездочек;

-       они работают в условиях отсутствия жидкостного трения в шарнирах и, следовательно, с неизбежным их износом, существенным при плохом смазывании и попадании пыли и грязи;

-       они требуют более высокой точности установки валов, чем клиноременные передачи, во избежание соскакивания цепи со звездочки и более сложного ухода - смазывания, регулировки.

. Кинематический расчет привода


Определяем общее КПД привода:

ηобщ= ηпп * ηпзп * ηпп * ηкзп * ηпп * ηцп

ηобщ=0,993*0,972*0,95=0,867

где ηпп - КПД пары подшипников,

ηпзп - КПД прямозубой цилиндрической передачи,

ηкзп - КПД косозубой цилиндрической передачи,

ηцп - КПД цепной передачи.

Определяем мощность на выходе привода:

Рвых=F*V

Рвых=4*1,2=4,8 кВт.

Определяем требуемую мощность и выбор двигателя:


Ртр ≤ Рном;

Определяем частоту вращения приводного вала:


где Dзв - делительный диаметр тяговой звездочки:


Определяем требуемую частоту вращения вала электродвигателя:


где  - относительное значение передаточного числа цепной передачи,

 - относительное значение передаточного числа тихоходной зубчатой цилиндрической передачи,

 - относительное значение передаточного числа быстроходной зубчатой цилиндрической передачи.

Исходя из полученных данных, назначаем двигатель марки АИР 100L2 ТУ 16-525.564-84”

Рном=5,5 кВт;

nном=2850 об/мин;

Определяем общее передаточное число привода и разбиваем его по ступеням:



Примем =2,56

=5

=5

Определяем мощность на валах валов:


Определяем частоту вращения на валах

n1= nном=2850 об/мин,

n4≈nвых

 

Определяем угловые скорости на валах


Определяем вращающие моменты на валах:


Полученные данные заносим в таблицу 1.1:

Таблица 1.1 - «Сводные данные привода»

№ вала

P, кВт

n, мин-1

ω, рад/с

T, Н*м

1

5,535

2850

298,3

18,555

2

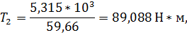
5,315

570

59,66

89,088

3

5,104

114

11,93

427,829

4

4,8

44,5

4,66

1030,043


. Выбор материалов зубчатой передачи и определение допускаемых контактных и изгибных напряжений


.1 Выбор материала передачи (для двух ступеней)

Выбираем материалы со средними механическими характеристиками

Таблица 2.1 Материал для передач


I передача

II передача


шестерня

колесо

шестерня

колесо

Материал

сталь 40Х

сталь 40Х

сталь 40Х

сталь 40Х

вариант ТО

I (улучшение)

I (улучшение)

I (улучшение)

Dзаг, мм

до 125

до 200

до 125

до 200

НВ

269-302

235-262

269-302

235-262


Определяем среднюю твердость рабочих поверхностей зубьев:


HBср1пз=285,5 - средняя твердость шестерни первой передачи,

HBср2пз=245,5 - средняя твердость колеса первой передачи,

HBср1кз=285,5 - средняя твердость шестерни второй передачи,

HBср2кз=245,5 - средняя твердость колеса второй передачи,

Коэффициент долговечности возьмём для длительно работающих передач КL=1, так как в условии не указаны длительность напряжений и количество циклов напряжений.

.2 Определяем допустимое контактное напряжение:

 ,

где  - допускаемое контактное напряжение


.3 Рассчитываем допускаемые напряжения изгиба


где  - допускаемое напряжение изгиба.

Данные расчета сводим в таблицу 2.2

Таблица 2.1 - «Материалы зубчатых колес»

Элемент передачи

Материал

Термообработка

, Н/мм2

, Н/мм2

Шестерня

40Х

Улучшение

580,9

294,1

Колесо

40Х

Улучшение

508,9

252,9


. Расчет второй косозубой передачи


Как видно из схемы редуктора, межосевое расстояние быстроходной ступени в точности равно межосевому расстоянию тихоходной ступени. Так как тихоходная ступень передает большую нагрузку, очевидно, именно она определяет радиальные размеры обеих ступеней и следовательно, расчет соосных редукторов необходимо начинать с расчета тихоходней ступени.

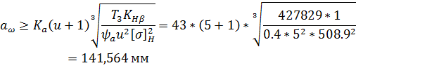
Определяем по условию контактной прочности межосевое расстояние передачи:


где -коэффициент межосевого расстояния, =43 для косозубой передачи;

-передаточное отношение прямозубой передачи;

-крутящий момент на валу колеса, Н*мм;

ψа- коэффициент ширины колеса b2 относительно межосевого расстояния ;

-коэффициент неравномерности распределения нагрузки по длине контактной линии в зависимости от твердости материала колес;

- допускаемое контактное напряжение передачи, Н/мм;

Принимаем по ГОСТу 6636-80 ближайшее значение мм.

Находим модуль зацепления, предварительно задав угол наклона зубьев :


Принимаем стандартный нормальный модуль  по ГОСТ 9563-60.

Определяем суммарное число зубьев передачи:


Принимаем зубьев.

Вычисляем число зубьев шестерни:


Принимаем зуба.

Вычисляем число зубьев колеса:


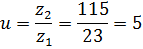
Уточняем передаточное отношение передачи:


, что допустимо.

Определяем фактический угол наклона зубьев:


Определяем геометрические параметры передачи и сводим их в таблицу

Таблица 3.1 - Основные параметры передачи внешнего зацепления с цилиндрическими прямозубыми колесами

Геометрические параметры

Расчетные формулы для косозубых колес

Модуль зацепления, мм

2

Диаметр делительной окружности d, мм: Шестерни колеса

 

Фактическое межосевое расстояние, мм

Диаметр окружности вершин , мм: шестерни колеса

 

Диаметр окружности впадин , мм: шестерни колеса

 

Ширина зуба b, мм: шестерни колеса

 Принимаем 60