Проектирование
металлорежущих инструментов
Введение
Металлорежущий инструмент, орудие производства для изменения формы и размеров обрабатываемой металлической заготовки путём удаления части материала в виде стружки с целью получения готовой детали или полуфабриката. Различают станочный и ручной металлорежущий инструмент. Основные части металлорежущего инструмента: рабочая, которая может иметь режущую и калибрующую части, и крепёжная. Режущей называется часть металлорежущего инструмента, непосредственно внедряющаяся в материал заготовки и срезающая часть его. Она состоит из ряда конструктивных элементов: одного или нескольких лезвий; канавок для отвода стружки, стружколомателей, стружкозавивателей; элементов, являющихся базовыми при изготовлении, контроле и переточках инструмента; каналов для подвода смазочно-охлаждающей жидкости. Назначение калибрующей части - восполнение режущей части при переточках, окончательное оформление обработанной поверхности и направление металлорежущего инструмента при работе. Крепёжная часть служит для закрепления инструмента на станке в строго определённом положении или для удержания его в руках и должна противодействовать возникающим в процессе резания усилиям. Крепёжная часть может выполняться в виде державок, хвостовиков (вставные металлорежущие инструменты) или иметь отверстие для крепления на оправках (насадные инструменты).
В зависимости от технологического назначения станочный металлорежущий инструмент делится на следующие подгруппы: резцы <#"810297.files/image001.gif">
Рис. 1.1 - Профиль спирального сверла
.2 Расчет режимов резания
Согласно [1 стр. 276 ]
Глубина резания:
t = 0,5хD
= 0,5х30,5=15,25 мм.
Подача S=1 мм/об.
Согласно [2 стр. 122]
Осевая сила :
Выбираем составляющие формулы из [1 стр. 281
табл.32 ]
n= 0,6
К=(186/190)^0,6=0,98
P=42,7 х (30,5)^1 x 1^0,8 x 0,98=1276 H
Выбираем составляющие формулы из [1 стр 281 табл. 32]
М=0,021 х (30,5)^2 x 1^0,8 x 0,98 = 19,14 Нхм
металлорежущий инструмент резание
1.3 Расчет и назначение конструктивных размеров
сверла
Согласно [1, стр. 149 табл. 42 ] и ГОСТ 10903-77 выбираем общую длину сверла L=301мм, и блину рабочей части сверла l=180 мм.
Хвостовик сверла выполняется коническим, конус Морзе № 4, выбран из рекомендации[ 1, стр. 150, табл. 42]. Конструктивные размеры хвостовика принимаются по ГОСТ 25557-82:
d2=
25,2 мм, b= 11,9 мм, R=
8 мм, e= 24 мм, D1=
31,6 мм, a= 6,5 мм, l3=117.5
мм.
Рис. 1.2 - Профиль хвостовика
Шаг винтовой канавки определяется по формуле:
Н=πхD/tgω
; H=πх30,5/0,4663
= 205,48 мм.
Диаметр сердцевины сверла dc
выбирается в зависимости от диаметра сверла и инструментального материала:
dc
=
( 0,14 ÷ 0,25) D.
Принимаем толщину сердцевины у переднего конца
сверла равной 0,2D.
dc=
0,2×D;
dc= 0,2×30,5= 6,1 мм.
Утолщение сердцевины по направлению к хвостовику
составляет 1,4─ 1,8 мм на 100 мм длины рабочей части сверла. Принимаем
это утолщение равным 1,5 мм. Обратная конусность сверла на 100 мм длины рабочей
части должна находится в пределах 0,05…0,12 мм [2 стр. 124]. Принимаем обратную
конусность равной 0,08 мм. Ширину ленточки f0
и высоту затылка по спине К по [2 стр. 124 табл. 59] в соответствии с диаметром
сверла f0=1,8
мм; К=0,9 мм. Ширина пера определяется по формуле:
В=0,58D;
B=0,58×30,5= 17,69 мм.
Геометрические элементы профиля фрезы для фрезерования канавки сверла определяют графическим или аналитическим способом.
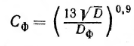
Большой радиус профиля можно определить по
формуле:
R0= CR Cr Cф D [2 стр. 124];
CR=
=
= 0,5;
Cr =
[2 стр. 124].
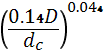
При отношении толщины сердцевины к
диаметру сверла, равной ![]()
= 0,2, величина Cr=1.
[2 стр. 125].
При диаметре фрезы, равной Dф = 13![]()
, величина Сф = 1.
Следовательно,
R0= 0,5×30,5= 15,25 мм.
Определяем меньший радиус профиля:
RR= CRD [2 стр.
125];
где CR= 0,015![]()
=0,015×![]()
= 0,19.
Следовательно,
RR= 0,19×30,5= 5,79 мм.
Ширина профиля :
В = R0 + RR= 15,25 +
5,79 = 21,04 мм.
По найденным размерам строим профиль
канавочной фрезы.
Рис. 1.3 - Профиль канавочной фрезы
Предельные отклонения диаметров сверла(по ГОСТ 25347-82)D= 30,5-0,25 мм. Допуск на общую длину и длину рабочей части сверла равен удвоенному допуску 9-го класса точности с симметричным расположение предельных отклонений. Предельные отклонения размеров конуса хвостовика устанавливаются ГОСТ 2848-75. Радиальное биение рабочей части сверла относительно оси хвостовика не должно превышать 0,15 мм.
Предельные отклонения углов 2φ = 118± 2°. Предельные отклонения размеров подточки режущей части сверла +0,5 мм. Твердость рабочей части сверла HRC 62-65. Твердость лапки хвостовика сверла HRC 30-45.
Технические требования:
. Материал режущей части- быстрорежущая сталь Р5М5 ГОСТ 19265-73.
2. Материал хвостовой части− сталь 40Х ГОСТ 4345-71.
. Допускаема сварка трением.
. Маркировать: диаметр сверла, марку стали режущей части и товарный знак завода− изготовителя (30,5- Р6М5).
2. Раcчет
и проектирования внутренней протяжки
Необходимо рассчитать и сконструировать
внутреннюю протяжку для обработки шпоночного паза шириной t=8,1
мм и длиной l= 40 мм в заготовке
цилиндрической формы из стали 45 ГОСТ 1050-88 с пределом прочности σв=
700 МПа. Отверстие протягивается после предварительного зенкерования до
диаметра d0=
32Н11 мм.
Рис. 2.1 - Профиль шпоночного паза:
b= 2,8 мм, t= 8,1 мм, r= 1 мм.
При выборе схемы резания необходимо учитывать следующие требования: использование по возможности больших подач на зуб, обеспечение наименьшей длины протяжки, достижения точности и чистоты обрабатываемой поверхности, лучшее стружкообразование и соответствующая геометрия на главных и вспомогательных режущих кромках [4 стр. 182]. Различают следующие схемы резания при протягивании: профильная или одинарная, групповая или прогрессивная, генераторная или смешанная.
Наиболее широкое применение получили протяжки
групповой схемы резания. Групповая схема резания характеризуется тем, что слои
металла по всему профилю срезаются не каждым зубом, а группой или секцией из
двух-пяти зубьев. При этом первые зубья секции прорезают в слоях металла
канавки, а последующие зубья срезают оставшиеся выступы. Стружечные канавки
обычно имеют двухрадиусную форму, у которых сливная и суставчатая стружки,
образующиеся при протягивании, располагаются более экономично при сравнительно
небольшом коэффициенте заполнения. При обработке поверхностей сложной формы
применяются протяжки генераторной схемы резания, у которых срезания основного
припуска обычно производится черновыми зубьями. При этом упрощается конструкция
протяжки и облегчается процесс её заточки и изготовления.
.2 Определяем припуск под протягивание по
формуле:
Δ= A+f
[5, стр.273];
где А− глубина канавки, мм;
f− стрелка дуги, мм.
f= 0,5× b×tan5°=0,5×2,8×tan5°=0,12 мм.
Δ= 2,8+0,12=2,92 мм.
.3 Предварительно определяем шаг зубьев протяжки
t по уравнению:
t= (1,5…1,7) ![]()
,
с последующей проверкой на количество одновременно работающих зубьев протяжки и объём впадины. Число одновременно работающих зубьев должно быть 3…7.
t=1,5√40 =9,48 мм.
Наибольшее значение коэффициента принимается при обработке чугунов, для сталей - наименьший.
Число одновременно работающих зубьев:
L/t < z0 < L/t+1.
z0 всегда целое число:
/9,48< z0 < 40/9,8+1;
,2 < z0 < 5,2.
Принимаем z0 = 5.
Условие одновременности работы 3…7 зубьев выполняется.
.4 Определение подъёма на зуб
По нормативам подъем на зуб SZ для
шпоночной протяжки при протягивании углеродистой стали SZT= 0,05─
0,15 [4, стр. 192, табл. 35 ]. Принимаю SZ = 0,06.
Между режущими и калибрующими зубьями делается несколько зачищающих зубьев с
постоянно убывающим подъёмом на зуб. Принимаем Sз = 3 и
распределяем подъём на зуб следующим образом: ½ SZ = 0,03 мм
первый зуб, 1/3SZ = 0,02 мм второй зуб, 1/6 SZ = 0,01 мм
третий зуб.
.5 Площадь сечения впадин между
зубьями:
k= Fв/Fc = 2…5[2
стр. 176].
где Fв─ площадь сечения впадин, мм2;
Fc─
площадь сечения металла, снимаемого одним зубом.
Fc = L× SZ [2 стр.
176];
где L─ длина протягивания, мм.
SZ ─ подъём на зуб
Fc= 40×0,06= 2,4 мм2.
Fв=k× Fc [2 стр.
176].
Объёмный коэффициент заполнения впадины зуба протяжки k = 3[2 стр. 176].
Fв = 3×2,4= 7,2 мм2.
Для значения Fв= 7,2 мм2
при криволинейной форме впадины получаем: шаг протяжки t = 8 мм,
глубина впадины h= 3 мм, ширина задней поверхности b= 3 мм ,
радиус закругления впадины r= 1,5 мм, радиус спинки зуба R= 5 мм [2,
стр. 178, табл. 93].
Режущие зубья Калибрующие зубья
Рис. 2.2 - Профиль зубьев протяжки
Шаг калибрующих зубьев tк= t= 8 мм [2,
стр. 176]. Для получения лучшего качества обработанной поверхности шаг режущих
зубьев протяжки делается переменным от t + (0,2÷
1,0) до
t- ( 0,2 ÷
1,0). Принимаем
изменение шага ± 0,2. Тогда из двух сменных шагов один равен: 8 + 0,2= 8,2 мм,
а второй 8 - 0,2=7,8 мм. Фаска f на калибрующих зубьях плавно
увеличивается от первого зуба к последнему от 0,2 до 0,8 мм[2, стр. 176].
.6 Геометрические параметры зубьев
протяжки:
У режущих зубьев передний: угол: γ = 15°, задний угол α= 3°.
У калибрующих зубьев: передний угол γ= 15°, задний угол α= 1° [4, стр.196 табл. 37,38]. Количество стружкоразделительных канавок n= 1, шириной m= 0,9 мм, глубиной hк= 0,6 мм, радиус закругления r = 0,3 мм [2, стр.179 табл. 95]. Расcтояние между канавками bk= t/n = 8,1/1= 8,1 мм, расстояние от боковой стороны протяжки до первой канавки bk= 0,4× bk= 0,4×8,1= 3,24 мм. [2, стр.180 табл. 95, примечание 1].
Число режущих зубьев подсчитывается
по формуле:
Zp= Δ/(Sz )+ (2…3)
Zp= 2,92/0,06+ 3= 51,6
Принимаем Zp= 50
Число калибрующих зубьев для данного
типа протяжки принимаем Zk= 4 [2,
стр.181].Длину протяжки от торца хвостовика до первого зуба принимают в
зависимости от патрона, толщины опорной плиты, зазора между ними, длины
заготовки и других элементов.
l0= l1+ lз+ lC+ lH+ l5,
l1- длина входа хвостовика в патрон, мм;
lз- зазор между патроном и стенкой опорной плиты станка, мм;
lC- толщина стенки опорной плиты станка, мм;
lH- высота выступающей части планшета, мм;
l5- длина передней направляющей, мм .
l1=125 мм, lз=5 мм, lC= 50 мм, lH= 20 мм, l5=60 мм. [2, стр. 181]
l0=125+5+50+20+60=260
мм.
.7 Выбираем конструктивные размеры
хвостовой части протяжки
l1= 20 мм, l2= 16 мм,lx= 100 мм, l4=5÷40 мм. Принимаем l4= 20 мм, l6= l0-(lx+ l4+l5)= 260-(100+20+60)= 80 мм. [2, стр. 182].
Определяем общую длину протяжки:
L= l0+ lр+ lз+ lк+ lз.н,
где l0- длина хвостовика, мм;
lр- длина режущих зубьев, мм;
lз- длина зачищающих зубьев, мм;
lк- длина калибрующих зубьев, мм;
lз.н- длина задней направляющей, мм,
Определяем длину режущих зубьев:
lр= t × Zp;
где t- шаг режущих зубьев, мм.
Zp- количество режущих зубьев.
lр= 8×352= 416 мм.
Определяем длину зачищающих зубьев:
где Zз- количество зачищающих зубьев.
lз= 8× 3= 24 мм.
Определяем длину калибрующих зубьев:
lк= t× Zk;
где Zk - количество калибрующих зубьев.
lк= 8× 4= 32 мм.
lз.н= 30 мм [2, стр.183 табл. 98].
L= 260+ 416+
24+ 32+ 30= 762 мм.
.8 Определение допускаемых сил
резания
Максимально допускаемая сила
резания[2, стр. 183]:
PZ MAX= Cp×![]()
×Dmax × Zmax×Kγ×Kc×Kи
где Zmax- Число одновременно работающих зубьев;
Kγ, Kc, Kи- коэффициенты =1 [6, стр.126-127].
PZ MAX= 177×0,091× 32×5= 2591,32 Н.
По паспорту протяжного станка 7Б510 номинальное тяговое усилие 100000 Н, что больше PZ MAX= 2591,32 Н, т.е. протягивание возможно.
Проверка конструкции протяжки на прочность:
Расчет конструкции на разрыв во впадине первого зуба
PZ
MAX/F
≤
σн
[2, стр.183];
где F- площадь опасного сечения по впадине первого зуба;
σн-
допускаемое напряжение в опасном сечении хвостовика, МПа.
F= π
(D3-2h)2/4
= 3,14(32-2×3)2/4=
530,92 мм2.
Для режущей части протяжки из быстрорежущей стали σн= 350 МПа:
σн= 2591,32/530,92=4,88 МПа <350 МПа
Технические требования
. Материал режущей части- быстрорежущая сталь Р6М5 ГОСТ 19265, материал хвостовой части - сталь 40Х ГОСТ 4345-71.
2. Твердость: режущей и направляющей части HRC 62…65, передней направляющей части HRC 60…65, хвостовой части HRC 40…47.
. Шов сварного соединения должен располагаться по шейке или на переходном конусе.
. Протяжки должны удовлетворять требованиям ГОСТ 28442-90.
. Маркировать: диаметр протягиваемого отверстия и его посадку, пределы длин протягивания, марку стали протягиваемого изделия, марку стали протяжки и товарный знак завода-изготовителя.