Материал: Проектирование агрегатного участка

Внимание! Если размещение файла нарушает Ваши авторские права, то обязательно сообщите нам

где, Стр.пост=0,5 [1,таблица 6]

Квсп - объем вспомогательных работ по предприятию, зависящий от количества автомобилей обслуживаемых и ремонтируемых на данном АТП.

Ксам - объем работ по самообслуживанию предприятия.

Квсп=25 % [1]

Ксам=50% [1]

Т1г1, Т2г1, Ттрг1 - скорректированные годовые объемы работ по ТО, чел-ч.

При организации работ по Д-1 и Д-2 на отдельных постах следует скорректировать годовые объемы работ ТО-1, ТО-2 и ТР путем исключения из них объемов работ выполняемых при ТО-1, ТО-2, ТР.

2.3 Расчет годового объема работ в проектируемом объекте

Для формирования объемов работ, выполняемых на постах зон ТО, ТР и производственных участках, а также для определения числа рабочих по специальностям производится распределение годовых объемов работ ТО-1, ТО-2, ТР по их видам в процентах, а затем в человеко-часах.

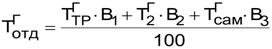
Годовой объем работ производственного отделения определяется по каждой марке автомобиля по формуле

,

где - процент объема работ, выполняемых по ТР в данном отделении. В1=1%

 - процент объема работ, выполняемых при ТО-2 и приходящихся на данное отделение. В основном это работы по системе питания, электротехнические, аккумуляторные и шиномонтажные, выполняемые в соответствующих отделениях. В2=2,5%

В3- процент объема работ не учитывается т.к. Тсамг≤ 8000…10000

Тготд = (20520*1 + 13680*2,25)/100 = 833

2.4 Определение количества ремонтных рабочих на объекте проектирования

К производственным рабочим относятся рабочие зон и участков, непосредственно выполняющие работы по ТО и ТР подвижного состава.

Различают технологически необходимое (явочное) и штатное (списочное) число рабочих.

Технологически необходимое число рабочих обеспечивает выполнение суточной, а штатное - годовой объем производственных программ (объемов по ТО и ТР).

Ря (ТОто и тр) = Тто и ТР / Фрм,

где: Ря - явочное количество рабочих.

Значение Тто и тр =16416 (чел*ч) взято непосредственно после расчетов из Таблицы 9;

Фрм = 7*(ДК Г - ДОТ - ДВ - ДП), где:

Фрм - годовой фонд времени технологически необходимого рабочего для пятидневной рабочей недели;

Фрм = 7*250=1750(часов).

Румр = Тео/ Фрм; Рто-1 = Т1/ Фрм; Рто-2 = Т2+Тсо/ Фрм

Ртрпост = Ттрпост/ Фрм

Румр, Рто-1, Рто-2 , Ртр, Рсо - количество рабочих, необходимых для выполнения работ по ТО-1, ТО-2, Ттр, Тсо и по уборочно-моечным работам.

Румр =3146,4/1750=1,80 (2 рабочих);

Рто-1 =1175,52/1750=0,67 (1 рабочий);

Рто-2 =13680/1750=7,8 (8 рабочих);

Ртр =16416/1750=9,38 (10 рабочих)

Следовательно, количество ремонтных рабочих на проектируемом АТП - 21 человек.

2.5 Распределение годовой трудоемкости по видам работ, зонам и участкам

Распределение работ ведется на основе нормативов, выраженных в процентах, по видам подвижного состава. Данные расчета представляем в табличной форме. Для постовых работ ЕО, ОР, Д доля составляет 100% от расчетной трудоемкости.

Таблица 11 - Распределение трудоемкости работ по зонам и участкам

Виды работ

Вид ПС грузовые

Трудоемкость, чел·ч

Постовые Умр ЕО

100

3146,4

в т. ч. уборочные

23

723,67

моечные

65

2045,16

обтирочные

12

377,57

Постовые ОР-1

100

958,37

Постовые ОР-2 и СО

100

12209,4

Постовые Д-1

100

220,15

Постовые Д-2

100

1470,6

работы УН всего

100

20520

в т. ч. постовые УН



работы Др

2

410,4

на постах зоны УН

35

7182

сварочные

4

820,8

жестяницкие

2

410,4

малярные

6

1231,2

деревообрабатывающие

0

0,0

в т. ч. постовые УН

49

10054,8

участковые УН



в т. ч. агрегатные

18

3693,6

слесарно-механические

10

2052

электротехнические

5

1026

аккумуляторные

2

410,4

приборов системы питания

4

820,8

шиномонтажные

1

205,2

шиноремонтные

1

205,2

кузнечно-рессорные

3

615,6

медницкие

2

410,4

сварочные

2

410,4

жестяницкие

1

205,2

арматурные

1

205,2

обойные

1

205,2

участковые УН

51

10465,2


2.6 Расчет количества рабочих агрегатного участка

Количество явочных производственных рабочих агрегатного участка, чел:


где Кп=1,1 - коэффициент повышения производительности труда.

Количество штатных производственных рабочих агрегатного участка, чел:


Количество явочных вспомогательных рабочих, чел:


2.7 Расчет числа постов и линий в зонах

Такт поста, мин:


где ti- скорректированная трудоемкость одного обслуживания, чел·ч;

Рп - рекомендованное число рабочих на посту (зависит от вида работ и вида ПС), чел;у =3 - время заезда-съезда автомобиля на тупиковый пост, мин.

Ритм производства, мин:


где ТСМ = 8 - продолжительность смены, ч;среднесменное количество обслуживаний i-го вида, шту = 3 - время заезда-съезда автомобиля на тупиковый пост, мин

Количество тупиковых универсальных постов по видам работ, шт:


Для мелких и средних АТП базовой формой организации является выполнение работ на тупиковых универсальных или специализированных постах. Однако для таких работ как УМР ЕО, Д-1, ОР-1, в редких случаях ОР-2 при достаточном среднесуточном числе обслуживаний возможна организация поточных линий. Следует помнить, что выигрыш от их введения может быть достигнут при соблюдении ритмичности подачи ПС и высокой технологической дисциплины.

Такт линии, мин:


где ti- скорректированная трудоемность одного обслуживания, чел·ч

РЛ = 5 - число рабочих на линии, чел;

Количество поточных линий по видам работ, шт:


Так как объем постовых работ УН невозможно спрогнозировать точно на конкретных период, при расчете числа постов УН учитывается неравномерность работ, а при двух и более сменах еще и потребность в площадях для наиболее загруженной смены.

Число постов УН, шт:


где ТСМ =8 - продолжительность смены, ч;=1,1 - коэффициент неравномерности подачи ПС на посты, шт;

Кв =0,9 - коэффициент потерь времени на постах;

А =1 - коэффициент загрузки наиболее загруженной смены (1 смена).

Рп =2 - рекомендованное число рабочих на посту (зависит от вида работ и вида ПС), чел;

Таблица 12 - Расчет количества постов и линий

Вид воздействий

Среднесуточное число Ncci

Рабочих на посту Рп

Ритм производства R, мин

Такт поста tп, мин

Число постов Хп

Необходимость организации линии

Такт линии tл

Число линий Хл

ЕО

56,4

2

8,5

12,80

1,5

-



ОР-1

1,8

1

264,0

74,00

0,3

-



ОР-2

0,6

1

831,8

362,00

0,4

-



Д-1

2,6

1

186,3

14,00

0,1

-



Д-2

0,7

1

693,9

110,00

0,2

-



УН


2



0,8

-




Работы УМР ЕО рационально организовать 1 посту на открытой площадке.

Работы ОР-1 и ОР-2 ввиду выполнения ОР-1 в межсменное время выполнять на совмещенном универсальном тупиковом посту.

Работы Д-1 и Д-2 выполнять на совмещенном универсальном тупиковом посту.

Работы УН выполнять на 1 универсальном посту УН.

3. Организационная часть

.1 Назначение и состав работ проектируемого подразделения

Агрегатный участок предназначен для операций мойки агрегатов и узлов, разборки, дефектации деталей с последующей отправкой на утилизацию, ремонт или сборку, комплектации узлов, их сборки, регулировки и обкатки. Участок совмещен с моторным.

Техпроцесс организован следующим образом. На электропогрузчике, тельфере либо ручной тележке агрегаты в сборе поступает на участок, где отправляются на мойку. После установки на стенд для сборки-разборки их разбирают, узлы разбирают на верстаках. Производят измерения, дефектуют детали.

Детали не подлежащие ремонту утилизируют, ремонтопригодные отправляют на слесарно-механический, сварочный и другие участки, годные на комплектацию. Отремонтированные детали, годные, поступившие со склада комплектуют и собирают агрегаты по техусловиям на сборку.

Для сборки и разборки агрегатов применяются средства механизации, такие как ручной инструмент (гайковерты, дрели), пневматические и гидравлические прессы, съемники и оправки. Это оборудование повышает производительность и устраняет повреждения деталей при разборке-сборке.

Для соблюдения техусловий имеется измерительный и контрольный инструмент. Это динамометрические ключи для контроля момента затяжки, штангенциркули, микрометры, индикаторы и щупы для контроля линейных размеров, центра для проверки биения и дисбаланса.

Агрегатный участок характеризуется рядом вредных и опасных факторов, таких как механические травмы при использовании инструмента, падение тяжелых деталей, электротравмы. Важным условие является достаточная освещенность участка в целом и отдельных мест.

Работы выполняются согласно требований систем и стандартов безопасности труда ГОСТ 12.3.017-79 “Ремонт и техническое обслуживание автомобилей. Общие требования безопасности" и инструкции по технике безопасности 37.101.7072-85 - для слесарей.

автотранспортный предприятие технический обслуживание

3.2 Расчет площадей зон, участков, складских помещений

.2.1 Расчет площадей зон и участков

Существуют различные методики определения площадей производственных помещений. Для укрупненных расчетов применяют методику по количеству работающих на основе удельных норм площади. При наличии постов использую площади постов либо линий с учетом плотности расстановки автомобилей и технологического оборудования.

Площадь производственных участков без организации машиномест, м2;


где f1 - норма площади на первого работающего, включающая технологически необходимый набор оборудования, м2/чел;- норма площади на последующих работающих, м2/чел.

Площадь зон и производственных участков с организацией машиномест, м2;


где ХП - число машиномест (постов) на участке, м2/чел;авт - площадь, занимаемая автомобилем, м2;

КП = 5 - коэффициент плотности расстановки.

Площадь зон, на которых организованы поточные линии, м2;


где Хп-число машиномест (постов) на участке, м2/чел;авт =16,8 - площадь, занимаемая автомобилем ЗИЛ - 130, м2;

Кп = 5 - коэффициент плотности расстановки.

Производственный корпус существует, предусматриваем работы по его реконструкции исходя из перерасчета по важнейшим подразделениям: постам ОР и УН (ТР), агрегатного участка.

3.2.2 Выбор и обоснование оборудования агрегатного участка

Технологическое оборудование и организационная оснастка, назначенные согласно технологии выполняемых в агрегатном участке заносятся в ведомость технологического оборудования и оргтехоснастки (Таблица 13).

Таблица 13 - Табель технологического оборудования

Поз

Наименование

Тип, модель

Кол

Габариты, мм

Площадь, м2

1

Пресс гидравлический

2135-IМ

1

1470

640

0,9

2

Станок точильно-шлифовальный.

ЗБ634

1

настол



3

Электротельфер 1 т.

Черт. П-401

1

навесн



4

Тележка для перевозки агрегатов.

Б-124.

1

1500

1200

1,8

5

Стенд для сборки, разборки ДВС

Черт. П-502

1

1580

1210

1,9

6

Черт. Ф503

1

1000

520

0,5

7

Верстак слесарный.

Черт. Ф527

1

1570

780

1,2

8

Стеллаж полочный со шкафом.

Черт. Ф117СБ

1

1500

560

0,8

9

Стол для дефектовки деталей (ГОСНИТИ.)

Черт. ОРГ-146В-01.

1

2400

800

1,9

10

Ларь для отходов.

Ф932СБ

1

407

320

0,1

Всего площадь оборудования





9,3


4. Безопасность жизнедеятельности и охрана труда

.1 Общие требования охраны труда и безопасности жизнедеятельности

Условия труда - это совокупность факторов производственной среды, оказывающих влияние на здоровье и работоспособность человека в процессе труда.

Помещение зон ТО и ТР, участков должно обеспечивать безопасное выполнение всех технологических операций.

Воздух рабочей зоны, шум, вибрация, освещение и т.д. на рабочих местах в зонах и на участке должны отвечать требованиям действующих нормативных актов.

Высота помещений постов ТО должна быть такой, чтобы расстояние от верха автомобиля, находящегося на подъемнике до низа конструкций перекрытия была не менее 0,2 м.

Пол на участке должен быть с ровным твердым покрытием, непроникаемым для грунтовых вод, без выступов и выбоин.

Ворота должны быть оборудованы устройствами, исключающими их самопроизвольное закрытие и открытие.

Ширина въездных ворот на территорию зон должна приниматься по наибольшей ширине обслуживаемых автомобилей плюс 1,5 м.

4.2 Опасные и вредные производственные факторы

При работе по ремонту автомобилей могут иметь место следующие опасные и вредные производственные факторы:

наезды автомобилей: вследствие самопроизвольного движения, при запуске двигателя, въезде (выезде) в зоны;

падение вывешенных частей транспортных средств при обслуживании трансмиссии, подвески, колес, мостов;

падение узлов, деталей, агрегатов, инструмента;

повышенная загазованность и запыленность воздуха рабочей зоны;

наличие в воздухе рабочей зоны вредных веществ: акролеина, углерода оксида,

поражение электрическим током;

повышенный уровень статического электричества;

недостаточная освещенность рабочей зоны; острые кромки на поверхности инструмента и оборудования;

пониженная температура воздуха в холодный период года.

4.3 Санитарно-гигиенические требования

На участке в соответствии с санитарно-гигиеническими требованиями предусматривается выдерживание определенного температурного, вентиляционного режимов и уровня освещения.

Система отопления должна обеспечивать равномерный нагрев воздуха в помещениях, возможность местного регулирования и отключения, удобство эксплуатации, а также доступ при ремонте. Температура приточного воздуха, подаваемого в рабочую зону в холодный период года должна быть не ниже +16 C и не выше +25 С. Вентиляция служит для обеспечения нормальных условий воздушной среды, установленных СНиПом и осуществляется при помощи общеобъемной приточно-вытяжной системы вентиляции с механическим вентилятором и местными вентиляционными отсосами. Освещение на участке комбинированное: естественное осуществляется через окна; для искусственного освещения используются лампы дневного света марок ЛД, ЛХБ световым потоком 44-70 лм/Вт.

Значения микроклимата на рабочих местах и предельно допустимые концентрации (ПДК) вредных веществ в воздухе рабочей зоны проектируемого подразделения приведены в таблице 14.

Таблица 14 - Значения микроклимата и ПДК

Наименование

Единица измерения

Значение



Оптимальные

Допустимые

Температура воздуха; холодный период теплый период; Относительная влажность: холодный период теплый период Подвижность воздуха: холодный период теплый период Освещенность: комбинированное общее Уровень шума(звукового давления) Уровень вибрации ПДК вредных веществ в воздухе рабочей зоны: - акролеин - оксид азота - бензин - свинец и его неорганические соединения - оксид углерода

С° % М/С ЛК ДБ ДБМГ/М3

17-19 20-22 40-60 40-60 0,2 0,3 200 200

21-15 27-16 75 55 0,4 0,2-0,5 80 100 0,2 5,0 100,0 0,01/0,05 20,0


4.4 Требования охраны труда при выполнении работ

Рабочие, производящие техническое обслуживание автомобилей, обеспечиваться исправным инструментом и приспособлениями, отвечающими требованиям безопасности.

Перед началом работы следует проверить весь инструмент, неисправный инструмент необходимо заменить.

Гаечные ключи должны отвечать размерам гаек и болтов и не иметь трещин и забоин, плоскости зева ключей должны быть параллельными и не должны быть закатанными.

Лезвия отверток по толщине должны отвечать ширине шлица в головке винта.

Рабочие, производящие ТОД автомобилей, должны обеспечиваться исправным инструментом и приспособлениями, отвечающими требованиям безопасности, а также средствами индивидуальной защиты.

Перед началом работы следует проверить весь инструмент, неисправный инструмент необходимо заменить.

Приспособления и инструменты, необходимые для выполнения работ, должны использоваться по назначению, их следует размещать в легко доступных местах таким образом, чтобы исключалась возможность его случайного перемещения или падения.

Отходы производства, отработанные материалы и т.п. должны после каждой смены убираться с рабочего места. Пролитые легковоспламеняющиеся и горючие материалы должны быть немедленно удалены.

При выполнении работ вдвоем необходимо применять заранее согласованные приёмы.

4.5 Пожарная безопасность

Для обеспечения пожарной безопасности в соответствии с требованиями СНиП в зонах ТО и ТР на каждые 100 м2 производственной площади необходимо устанавливать пожарный щит и добавочно:

ящик с песком;

огнетушитель ОХП-10;

огнетушитель ОУ-5.

В помещении участка запрещается хранить смазочные материалы, а также порожнюю тару из под них.

Использованную ветошь складывать в специально отведенные для этого места за пределами производственного помещения в металлические ящики и закрывать их крышками.

Отработанные масла хранить в специальных цистернах за пределами производственного помещения.

При техническом обслуживании автомобилей следует соблюдать следующие правила пожарной безопасности.

Автомобили, направляемые на ТО и ТР, не должны иметь течи топлива, а горловины топливных баков должны быть закрыты крышками. Число автомобилей в помещении зон не должно превышать установленной нормы.

Заключение

В ходе выполнения данного курсового проектирования спроектировал агрегатный участок грузового АТП на обслуживание 120 автомобилейЗИЛ-130.

В ведение было определено место, занимаемое автомобильным транспортом в перевозках людей и грузов, стимулы развития транспорта. Так же поставлена цель и задача курсовой работы.

В расчетно-технологическом разделе были проведены расчеты и получены основные показатели: годовой пробег автомобилей; пробег до КР; коэффициент готовности; годовая и сменная программа по ТО; общая годовая трудоемкость работ ТО; годовая трудоемкость работ по объекту проектирования; количество ремонтных рабочих на объекте проектирования.

В организационном разделе были приняты основные решения о:

методе организации производства на постах ТО;

методе организации технологического процесса на объекте проектирования;

составлена схема технологического процесса объекта проектирования;

выбраны режимы работ производственных подразделений;

подобрано технологическое оборудование и при помощи расчетов было определено количество постов в зоне, распределены исполнители по специальностям, рассчитана производственная площадь зоны поста

определены основные требования по технике безопасности, пожаро- и электробезопасности.

При рациональной и обдуманной программе проведения технического обслуживания, техническое состояние автомобилей будет находиться на должном уровне, они не будут часто выходить из строя, соответственно не будут простаивать в ремонтах, что сократит издержки и увеличит доходы, а следовательно даст возможность развитию АТП.

Список использованных источников

1.     Афанасьев Л.Л., Колясинский Б.С., Маслов А.А. Гаражи и станции технического обслуживания автомобилей. М.: Транспорт, 1980.

2.       База нормативной документации: www.complexdoc.ru

.        Болбас М.М., Капустин Н.М., Петухов Е.И. Проектирование автотранспортных предприятий и станций технического обслуживания. Мн.: Университетское, 1997.

.        Коган Е.И., Хайкин А. Охрана труда на предприятиях автомобильного транспорта. - М.: Транспорт 1984.

.        Крамаренко Г.В., Барашков И.В. Техническое обслуживание автомобилей. М.: Транспорт, 1982.

.        Методические указания по выполнению по выполнению курсового проекта. Нормативные документы по ремонту автомобилей.

.        Напольский Г.М. Технологическое проектирование автотранспортных предприятий и станций технического обслуживания. М.: Транспорт, 1993.

.        Положение о техническом обслуживании и ремонте легковых автомобилей, принадлежащих гражданам. М.: НАМИ, 1987.

.        Положение о техническом обслуживании и ремонте подвижного состава автомобильного транспорта. Мн.: НПО Транстехника, 1998.

.        Румянцев С.И. Ремонт автомобилей. М: Транспорт 1988.

.        Светлов М.В. Технологическое обслуживание и ремонт автомобильного транспорт. Дипломное проектирование: учебно-методическое пособие. - М.: КНОРУС, 2011. - 320с.

.        Суханов Б.Н., Борзых И.О., Бедарев Ю.Ф.: Техническое обслуживание и ремонт автомобилей. Пособие по дипломному проектированию. М.: Транспорт, 1991.

.        Техническая эксплуатация автомобилей. Под ред. Е.С. Кузнецова. М.: Транспорт, 1991.

.        Фастовцев Г.Ф. Автотехобслуживание. М.: Машиностроение, 1985.

.        Фастовцев Г.Ф. Организация технического обслуживания и ремонта легковых автомобилей. М.: Транспорт, 1989.

.        Шумик С.В., Болбас М.М., Петухов Е.И. Техническая эксплуатация автотранспортных средств. Пособие по дипломному проектированию. Мн.: Высшая школа, 1988.

.        Шумик С.В., Савич Е.Л. Техническая эксплуатация автомобилей. Мн.: Высшая школа, 1996.