Материал: Проект одноступенчатого горизонтального косозубого цилиндрического редуктора общего назначения, входящего в состав привода

Внимание! Если размещение файла нарушает Ваши авторские права, то обязательно сообщите нам

Проект одноступенчатого горизонтального косозубого цилиндрического редуктора общего назначения, входящего в состав привода

СОДЕРЖАНИЕ

Введение

. Выбор электродвигателя. Кинематический и силовой расчёты привода

. Расчёт роликовой однорядной цепной передачи

. Расчёт цилиндрической зубчатой передачи

. Проектный расчёт валов редуктора

. Конструктивные размеры зубчатого колеса

. Подбор подшипников качения

. Проверочный расчёт валов на сопротивление усталости

8. ПОДБОР И ПРОВЕРКА ПРОЧНОСТИ ШПОНОК

. Подбор муфты

. Смазка зубчатой передачи и подшипников

Список используемой литературы

ВВЕДЕНИЕ

В настоящем курсовом проекте спроектирован одноступенчатый горизонтальный косозубый цилиндрический редуктор общего назначения, входящий в состав привода.

Редуктор - это механизм, понижающий угловую скорость и увеличивающий вращающий момент в приводе от электродвигателя к рабочей машине.

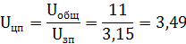
Передаточное число редуктора U = 3,15 кВт;

Передаточное число привода  = 11 кВт;

Редуктор нереверсивный, предназначен для длительной эксплуатации, нагрузка постоянная, работа в две смены.

Валы установлены на подшипниках качения.

Долговечность редуктора  = 36000 часов, минимальная долговечность подшипников качения  = 10000 часов.

Мощность на тихоходном валу редуктора  = 3 кВт, частота вращения  = 80 об/мин.

Редуктор соединён с электродвигателем через цепную передачу. На выходе редуктора устанавливается муфта упругая с торообразной оболочкой.

1. ВЫБОР ЭЛЕКТРОДВИГАТЕЛЯ. КИНЕМАТИЧЕСКИЙ И СИЛОВОЙ РАСЧЁТЫ ПРИВОДА

Рисунок 1 - Схема привода

Исходные данные:

Мощность на выходном валу

,

Частота вращения выходного вала

Редуктор предназначен для индивидуального изготовления и длительной работы. Нагрузка не реверсивная, постоянная (спокойная). Работа двухсменная

Определяем общий КПД привода, равный произведению КПД его элементов [1]


где  - 0,94-КПД цепной передачи,

 -0,97- КПД зубчатой передачи

Определяем требуемую мощность электродвигателя


По каталогу выбираем электродвигатель с  и асинхронной частотой вращения  ближе к .

Двигатель 112MA6/950 ТУ 16-525.564-84,  диаметр вала двигателя 32мм

Определяем общее передаточное число привода


Разбиваем общее передаточное число между передачами, принимая для зубчатой передачи стандартное значение


Определяем частоту вращения, мощность, угловую скорость и вращающий момент на валах двигателя

а) Вал электродвигателя




б) Ведущий вал


в) Ведомый вал


Полученные результаты заносим в таблицу 1

Таблица 1

Вал

n, об/мин

P, кВт

 1/сек

T, Н*м

Вал электродвигателя

950

2,8

99,5

28

Вал ведущий

272

2,6

28

100

Вал ведомый

86,4

2,5

9

278



. РАСЧЁТ РОЛИКОВОЙ ОДНОРЯДНОЙ ЦЕПНОЙ ПЕРЕДАЧИ

Рисунок 2 - Схема роликовой однорядной цепной передачи

Исходные данные:

1.1.1 

1.1.2 

1.1.3 

.1.4   Условия работы:

а) характер нагрузки - спокойный;

б) угол наклона линии центров звёздочек  к горизонту равен нулю

Определяем число зубьев ведущей и ведомой звёздочек

Количество зубьев ведущей звёздочки

 

Принимаем  равное 22штук

Количество зубьев ведомой звёздочки

 

Принимаем  равное 77 штук.

Проверка:

верно

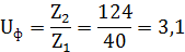
Определяем коэффициент влияния угловой скорости  на износостойкость шарниров


шаг цепи


где  - коэффициент,.учитывающий число рядов цепи

Принимаем шаг цепи равный 12,7 мм

Принятый шаг проверим по допустимой угловой скорости


Определяем среднюю скорость цепи и назначаем способ смазки


Проверка:

верно

Способ смазки при V= 4,4для цепных передач, не имеющих картера, применяем внутришарнирную смазку.

Определяем коэффициент эксплуатации


где  - коэффициент динамической нагрузки, зависящий от типа привода при спокойной нагрузке,

 - коэффициент наклона линии горизонта центров звёздочек,

 - коэффициент, учитывающий способ регулирования натяжения цепи,

 - коэффициент, зависящий от способа смазки передачи

Рассчитываем среднее давление на шарниры в звеньях цепи


где  - коэффициент работоспособности,

 - срок службы передачи

Проверка:

верно

Определяем окружную скорость


износостойкость цепи


где  - площадь проекции опорной поверхности шарнира

Проверка:

верно

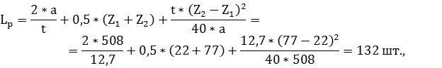
Рассчитываем геометрические размеры передачи

Межосевое расстояние


Определяем количество звеньев в цепи

 

Количество звеньев в цепи принимаем равное 132 штук

Длина цепи


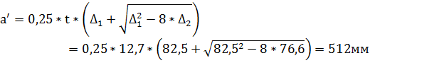
Уточняем межосевое расстояние


Для нормальной работы передачи ведомая ветвь должна иметь необходимую стрелу провисания, для чего расчётное межосевое расстояние уменьшают на 0,002 - 0,004 . Принимаем  равны 512 мм.

Определяем силу, действующую на вал


где  - коэффициент, динмической нагрузки, действующей на вал

. РАСЧЁТ ЦИЛИНДРИЧЕСКОЙ ЗУБЧАТОЙ ПЕРЕДАЧИ

Исходные данные:

Условия работы:

а) характер нагрузки - спокойный;

Редуктор с нереверсивной передачей, предназначен для длительной эксплуатации и мелкосерийного производства

Выбор материала зубчатых колёс

Колесо

а) Марка материала: Сталь 40Х,

б) Вид термообработки: улучшение,

в) Ширина заготовки венца  = 125мм,

г) Твёрдость рабочих поверхностей зубьв: 235 - 262HB,

д) Предел прочности  = 790МПа

Шестерня

а) Марка материала: Сталь 40Х,

б) Вид термообработки: улучшение,

в) Диаметр заготовки  = 125мм,

г) Твёрдость рабочих поверхностей зубьв: 269 - 302HB,

д) Предел прочности  = 900Мпа

Принимаем среднюю твёрдость колеса и шестерни, равную 250HB и 286HB соответственно

Допускаемое контактное напряжения для шестерни


где  - предел контактной выносливости поверхностей зубьев при твёрдости, равной 180 - 350 HB,

 - допускаемый коэффициент безопасности при однородной структуре материала,

 - коэффициент долговечности для длительно работающих передач при постоянном режиме нагрузки

Допускаемое контактное напряжения дляколеса


Принимаем допускаемое контактное напряжение для прямозубых цилиндрических колёс:


Проверка:

верно

Допускаемое напряжение изгиба при расчёте зубьев на усталость

Допускаемое напряжение изгиба для шестерни


где  - предел выносливости зpубьев по излому при твёрдости, равной 180 - 350 HB,

 - допускаемый коэффициент безопасности для зубчатых колёс, изготовленных из поковок,

 - коэффициент долговечности для длительно работающих передач при постоянном режиме нагрузки

Коэффициент ширины

Относительно межосевого расстояния, как для симметричного расположения колёс относительно опор


Относительно делительного диаметра шестерни



Принимаем коэффициент неравномерсности распределения нагрузки по ширине зубчатого венца , как для прирабатывающихся колёс с твёрдостью менее 350HB и окружной скорости менее 15 м/сек

Межосевое расстояние

 

Принимаем стандартное значение межосевого расстояния равное 125мм

Ширина венца

а) колеса

 

б) шестерни

 

Нормальный модуль зубьев


Принимаем стандартное значение, равное 1,5мм

Число зубьев

а) шестерни


где  - предварительный угол наклона зубьев, равный 10

б) колеса

 

Фактическое передаточное число

 

отклонение фактического передаточного числа от заданного