ИСТОЧНИКАМИ НАГРЕВА
На поверхность заготовки из различных материалов наплавляют валик покрытия плазменно-дуговым методом, при котором плазмотрон перемещается с постоянной скоростью вдоль обрабатываемой поверхности.
Ниже в табл. 2.1 приведены значения параметров напряжения, силы тока, скорости движения плазматрона и диаметров наплавляемого валика для стали Р18.
Таблица 2.1
|
Параметры |
Значения параметров |
||||
|
U, В |
180 |
175 |
170 |
165 |
160 |
|
I, А |
120 |
150 |
180 |
210 |
240 |
|
V, м/ч |
5 |
7,5 |
10 |
12,5 |
15 |
|
dп, мм |
5 |
7 |
9 |
|
|
Сталь Р18 – сталь инструментальная, быстрорежущая. Применяется для изготовления резцов, сверл, фрез, долбяков, развёрток, зенкеров, метчиков, протяжек для обработки конструкционных сталей с прочностью до 1000Мпа, от которых требуется сохранение режущих свойств при нагревании до 600˚С.
Теплофизические свойства обрабатываемого материала:
Температура плавления - 1310 оС;
Температура закалки - 1280 оС;
Температура отпуска - 560 оС
Температура критических точек:
Ас1 = 820 оС;
Ас3(Аcm) = 860 оС;
Аr3 = 770 оС;
Аr1 = 725 оС;
Плотность - 8,8 г/см3;
Удельная теплоемкость - 0,1 кал/г∙град;
Коэффициент теплопроводности - 0,062 кал/см∙с∙град.

Необходимо:
Рассчитать и построить зависимости температурных полей предельного состояния при изменении технологических параметров наплавки.
Определить зависимости термического цикла в точках, удаленных на различное расстояние от оси наплавляемого валика, от параметров обработки.
Определить зависимости времени пребывания выше температуры закалки в точках, удаленных на различное расстояние от оси наплавляемого валика, от параметров обработки.
Определить зависимости изменения глубины зоны проплавления, закалки и отпуска материала заготовки в зависимости от параметров обработки.
Наплавка - нанесение с помощью сварки слоя металла на поверхность изделия. Основные схемы плазменной наплавки представлены на рис. 2.1.
В различных случаях при наплавке необходимо комплексно решать ряд сложных вопросов:
выбор материала, обеспечивающего соответствующие условиям эксплуатации свойства;
возможность наплавки этого материала непосредственно на основной металл детали или подбор материала для наплавки подслоя;
выбор способа и режима наплавки, формы и методов изготовления наплавочных материалов;
выбор термического режима для выполнения наплавки (сопутствующего подогрева для исключения получения хрупких подкаленных зон в металле детали или в хрупком наплавленном слое;
интенсификации охлаждения наплавляемой детали, когда для металла нежелательно длительное пребывание при высоких температурах);
установление
необходимости последующей термической
(общей или местной) обработки (для
получения необходимых эксплуатационных
характеристик или возможности
промежуточной механической обработки).
При возможности получения желаемых результатов путем использования нескольких способов наплавки (если необходимо и последующей механической обработки) важны и технико-экономические показатели сопоставляемых способов [11].

Рисунок 2.1 - Схемы плазменной наплавки:
а)
плазменной струей с токоведущей
присадочной проволокой; б) плазменной
дугой с нейтральной присадочной
проволокой; в) комбинированный (двойной)
дугой одной проволокой; г) то же, с двумя
проволоками; д) горячими проволоками;
е) плавящимся электродом; ж) с внутренней
подачей порошка в дугу; з) с внешней
подачей порошка в дугу;
1 - защитное сопло; 2 - сопло плазмотрона; 3 - защитный газ; 4 - плазмообразующий газ; 5 - электрод; 6 - присадочная проволока; 7- изделие; 8 - источник питания косвенной дуги; 9 - источник питания дуги прямого действия; 10 - трансформатор; 11 - источник питания дуги плавящегося электрода; 12 - порошок; 13 - порошок твердого сплава.


Рисунок 2.2 - Схема модели движущегося точечного источника тепла по поверхности полупространства
Определим распространение тепла в зоне соизмеримой с размерами наплавляемого валика
(2.1)
где a = λт/(cγ) = 0,062/(0,1·8,8)=0,0705см2/c
t - время экспозиции, или нахождения тепла под зоной обработки;
(2.2)
где d(в) - диаметр валика;
V - скорость перемещения плазматрона.
Vt=
=0,2655
см/с
Скорость распространения тепла примерно соответствует скорости передвижения плазматрона (табл. 2.1). Поэтому для решения данной тепловой задачи используется модель движущегося источника тепла по поверхности полупространства.
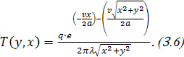
Тогда для расчета температуры используется следующая формула [12, стр.82]:
(2.3)
где x - абсцисса точки A в подвижной системе координат;
a = λт/(cγ) - коэффициент температуропроводности;
R - постоянный радиус-вектор в подвижной системе координат, т. е. расстояние рассматриваемой точки A от начала координат 0 подвижной системы координат;
![]()
q - тепловая мощность.
(2.4)
где I, U - соответственно ток и напряжение, при которых происходит обработка;
η - КПД процесса наплавки.
(2.5)
где η1 - КПД плазматрона;
η2 - КПД, связанный с передачей
энергии от струи на подложку.
Примем η = 50%. [12, стр.53-54]
С помощью программного пакета MathCad были получены кривые термического цикла, представленные на рис. 2.3 - 2.9.
1) V1 = 5 м/с = 0,139 см/с - скорость перемещения плазматрона;
q1 = ηI1U1
= 0,5·120·180 = 10800 Вт
2584 кал/с - тепловая мощность.
В MathCad задаем соответствующие параметры, при которых происходит обработка, и формулу:
(2.6)
Далее по полученным кривым находим Tm, tm, wохл, tр.з..
Tm - это есть максимальная температура, соответствующая экстремуму каждой кривой, находим по графику.

Рис.2.3 - Кривые термического цикла при q1 и V1:
1 – у=0; 2 – у=1,744; 3 – у=1,77; 4 – у=2,82.
Для
нахождения tm воспользуемся
формулой
(2.7)
где tm - время достижения максимальной температуры;
- координата максимальной температуры
(находим по графику);
V - скорость передвижения источника тепла.
Получаем,
при y = 0, tm = 0, так как
Tm =
;
при y = 1,744: tm1,744=2/0,139=14,388 c;
при y = 1,77: tm1,77=2,05/0,139=14,748 c;
при y = 2,82: tm2,82=4,5/0,139=32,374 c;
Скорость охлаждения металла детали найдем по формуле
(2.8)
Получаем,
Wохл0=((125-137,18)/(53,69-48,53))·0,139= -0,316 ˚С/с;
Wохл1,744=((125-134,62)/(51,43-47,38))·0,139=
-0,330 ˚С/с;
Wохл1,77=((125-134,62)/(51,43-47,38))·0,139= -0,330 ˚С/с;
W охл2,82=((125-137,18))/((48,81-44,05))·0,139= -0,356 ˚С/с;
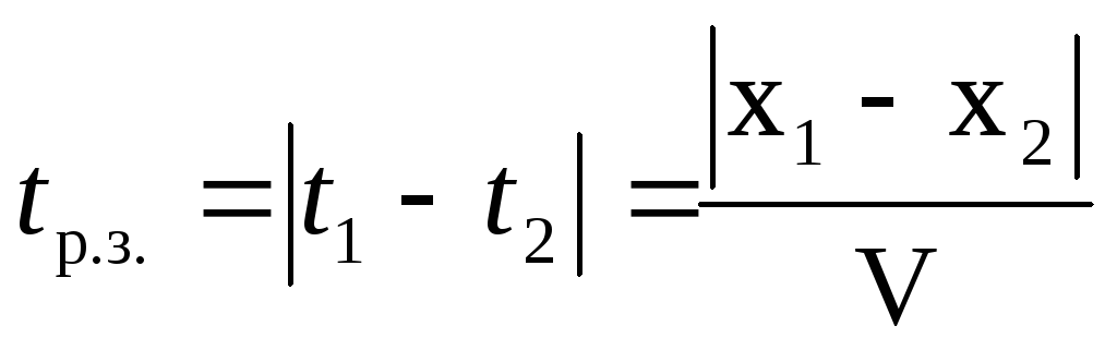
Скорость роста зерна найдем по формуле
,
(2.9)
где x1. - это координата пересечения кривой с температурой закалки при нагревании;
x2. - это координата пересечения кривой с температурой закалки при остывании.
Получаем,
![]()
![]()
для у =1,77см скорость роста зерна будет равна нулю, а при у =2,82 см скорость роста зерна отсутствует, так как образование зерна в принципе не происходит.
Результаты, полученные в ходе решения заносим в таблицу 2.2
Таблица 2.2
|
у |
0 |
1,744 |
1,77 |
2,82 |
|
Tm, °С |
|
1310 |
1280 |
560 |
|
tm, с |
0 |
14,388 |
14,748 |
32,374 |
|
wохл, °С/с |
-0,316 |
-0,330 |
-0,330 |
-0,356 |
|
tр.з., с |
43,88 |
7,9 |
0 |
- |
Для остальных режимов обработки расчет проводится аналогично.
2) V1 = 0,139 см/с; q2
= ηI2U2 = 0,5·150·175
= 13125 Вт
3140 кал/с.

Рис.2.4 - Кривые термического цикла при q2 и V1:
1 – у=0; 2 – у=1,95; 3 – у=1,98; 4 – у=3,15.
Таблица 2.3
|
у |
0 |
1,95 |
1,98 |
3,15 |
|
Tm, °С |
|
1310 |
1280 |
560 |
|
tm, с |
0 |
15,108 |
15,468 |
39,568 |
|
wохл, °С/с |
-0,279 |
-0,277 |
-0,277 |
-0,287 |
|
tр.з., с |
44,6 |
9,35 |
0 |
- |
3)
V1 = 0,139 см/с; q3
= ηI3U3 = 0,5·210·165 = 17325
Вт
4145 кал/с.