переключатель НАПРЯЖЕНИЕ в положение 150 В;
переключатель КАЛИБРОВКА ИЗОЛЯЦИИ - МОМ в положение 20,0.
. Провести проверку сопротивления изоляции транзитных цепей КА в автоматическом режиме по методике, изложенной в инструкции технологического оборудования, последовательно подключая аппаратуру для автоматизированной проверки разобщенности и целостности цепи через кабели В, А, Б и УКР-50 к электросоединителям 736-740 перед проведением проверки на УКР-50 разорвать цепи 14, 16, 18, 20, 22, 24, 26, 28, 30, 32, 34, 36, 38, 40, 42, 44, 46, 48.
. Проверить целостность цепей контроля стыковки боковой платы РН при помощи прибора комбинированного для автоматизированной проверки разобщенности и целостности цепи: 736/50-737/50,738/50-742/50, 741/50-740/50.
. Разобрать схему рабочего места и выполнить заключительные
операции на аппаратуре для автоматизированной проверки разобщенности и
целостности цепи, выполнив операции с комплектом аппаратуры для
автоматизированной проверки разобщенности и целостности цепи по технологии,
изложенной в инструкции технологического оборудования.
Главные причины ухудшения качества изоляции силовых кабелей - тепловой износ, наличие большого количества посторонних включений и избыточная влажность. Для определения степени износа используется понятие сопротивления изоляции. Сопротивление измеряется между двумя точками кабеля, выражается в омах и характеризует токи утечки, образовавшиеся в результате пробоя в изоляции.
Износ изоляции может происходить вследствие ее осушения. Пропиточный состав разлагается, кристаллизуется, перемещается или стекает. Наблюдать такие изменения можно, если кабель эксплуатируется в экстремальных условиях под постоянно высокими нагрузками.
Большая доля износа приходится на коррозийное разрушение свинцовых оболочек. Как правило, дефекты не носят точечный характер, а распространяются на сотни метров по длине кабеля. Подверженность коррозии металлических оболочек связана с высоким уровнем влажности. Решением вопроса может стать замена устаревших кабелей.
Ускорение износа связано и с коммутационным и дуговым перенапряжением. В этом случае напряжение может превышать номинальное в 3-4 раза. Последствием износа от перенапряжения является образование слабого места в изоляции, которое при каждом новом перенапряжении обеспечивает пробой. Основной причиной возникновения перенапряжения является замыкание на землю.
Одна из причин износа изоляции - старение материала. Старение может наступить в результате перепада температур, воздействия влаги. При этом ухудшаются как механические, так и электрические характеристики кабеля.
В некоторой степени ускорение износа изоляции происходит
из-за производственного дефекта. По этой причине перед прокладыванием силовой
кабель должен тщательно проверяться.
Исходные данные
Вариант № 11
Закон распределения факторов - нормальный;
Уровень значимости гипотез - α=0.05
Погрешность - ε= 0,03%
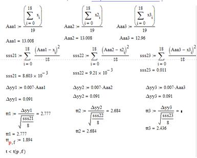
. По результатам испытаний получено 3 выборки с
заданным законом распределения по 50 результатов в каждой.
По результатам каждой из первых трех выборок определить
размер представительной (репрезентативной) по критерию оценки математического
ожидания выборки.
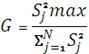
Условие выполняется, принятый размер выборки (n) не
удовлетворяет решению задачи и должен быть увеличен размер выборки (с 8 до 19).
Условие выполняется, принятый размер выборки (n) не
удовлетворяет решению задачи и должен быть увеличен размер выборки (с 19 до
22).
Условие выполняется, принятый размер выборки (n) не
удовлетворяет решению задачи и размер выборки дальше не может быть увеличен.

где Fp,f1,f2 - табличное значение критерия Фишера для вероятности и чисел степеней свободы.
Так как выполняется условие для этих выборок, гипотеза
равноточности двух (2,3 в соответствии с 1) рядов результатов испытаний
принимается.
Fp,f1,f2
F2
F3
1,51
0.988
0.804
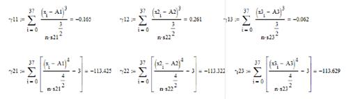
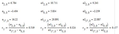
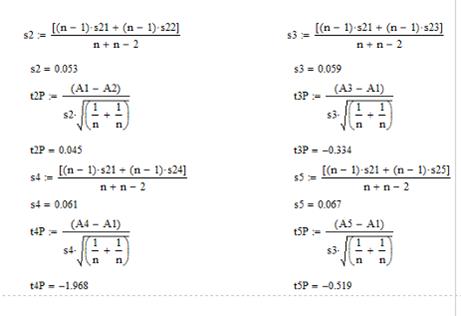
. Проверить значимость различия средних значений результатов
испытаний. Проверку статистической гипотезы выполнить для второй, третьей,
четвертой выборок в сопоставлении с первой.
При выполнении условия t 5. Проверить нормальность распределения результатов
испытаний. Проверку статистической гипотезы выполнить для всех выборок. Для
проверки гипотезы использовать критерий Пирсона и критерий Колмогорова. Приняв
объем выборки равным 50, осуществить проверку статистической гипотезы,
рассчитав коэффициенты асимметрии и эксцесса.
Определим шаг интервалов:
Определим границы интервалов:
Определим частоту и середину интервалов:
Для определения вероятности pi попадания значений
случайной величины в i-й интервал для нормального закона распределения,
необходимо найти Функцию Лапласа:
Вероятности pi попадания значений случайной величины в
i-й интервал для нормального закона распределения можно определить по формуле:
Определим Функции Лапласа по таблице:
Тогда вероятности попадания случайной величины:
χ21-р
χ21
χ22
χ23
66.351
41.16
41.204
42.893
Гипотеза о принятом типе закона распределения принимается на
данном уровне значимости p, если χ2<χ21-p, где χ21-pопределяются по таблице
для выбранного уровня значимости и числа степеней свободы f. Если χ2>χ21-pделается вывод, что
гипотеза не согласуется с выборочным законом распределения.
Для 1,2,3 гипотеза согласуется с выборочным законом
распределения.
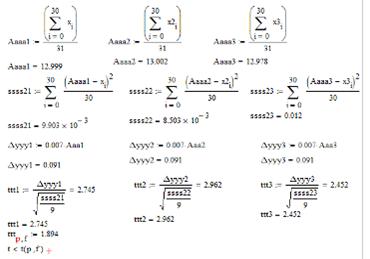
Для определения функции распределения, запишем еще раз
средние значения интервалов.
Определим по таблице значения Функции Лапласа для этих
выражений:
Обозначим генеральную функцию распределения как DX
Обозначим выборочную функцию распределения как Fxx
Для применения критерия Колмогорова необходимо определить
наибольшее абсолютное отклонение выборочной функции распределения Fn
(x) от генеральной F (x):
Затем вычисляется величина λ:
Так как вычисленные значения λ меньше табличного λ1-р, то гипотеза о совпадении теоретического закона распределения F
(x) с выборочным Fn (x) не отвергается.
Выборочные коэффициенты асимметрии и эксцесса:
Распределения этих оценок сложны и мало изучены. Однако
известны дисперсии этих величин:
Выборки удовлетворяют условию:
Поэтому наблюдаемое распределение можно считать нормальным.
В процессе работы были выполнены следующие действия:
. По результатам каждой из трех выборок не был определен
размер представительной (репрезентативной) по критерию оценки математического
ожидания выборки (n) не удовлетворяет решению задачи.
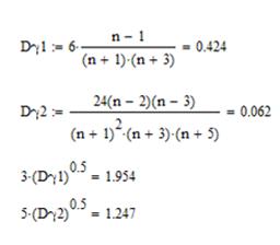
2. Была проверена равноточность результатов испытаний. Для решения
задачи было использовано дисперсионное отношение оценок большей дисперсии к
меньшей (коэффициент Фишера) F= . Была проверена значимость различия средних значений результатов
испытаний. При выполнении условия . Была проверена нормальность распределения результатов испытаний.
Гипотеза о принятом типе закона распределения принимается на данном уровне
значимости p, если, где (критерий Пирсона) определяются по таблице для
выбранного уровня значимости и числа степеней свободы f. Если делается вывод,
что гипотеза не согласуется с выборочным законом распределения. Для 1,2,3 рядов
гипотеза согласуется с выборочным законом распределения. Так как вычисленные
значения λ (критерия
Колмогорова) меньше табличного, то гипотеза о совпадении теоретического закона
распределения F (x) с выборочным Fn (x) не отвергается. Выборки
удовлетворяют условию . Выполнить проверку возможности проведения обработки
результатов эксперимента методом множественного регрессионного анализа по
критерию Кохрена.
Проверка предпосылки фактически сводится к проверке
постоянства дисперсии "шума": Считается, что это условие выполнено, если справедлива
гипотеза
Проверка данной гипотезы при конкурирующей Так как выполняется условие, то гипотеза об однородности
ряда выборочных дисперсий выходного параметра не отвергается.
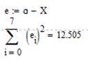
2. Записав уравнение приближенной регрессии в виде дисперсия воспроизводимости, характеризующая рассеивание значений
выходного параметра Любой коэффициент уравнения регрессии 3. Вычислить проверку адекватности уравнения регрессии
результатам эксперимента.
Остаточная дисперсия:
Критерий Фишера
В общем случае, так как не выполняется условие, то гипотеза
об адекватности должна быть принята.
. В случае выполнения условия адекватности, осуществить
проверку значимости оценок коэффициентов регрессии. Оставив значимые
коэффициенты, записать новое полученное уравнение регрессии и оценить ошибку
точности выбранной модели.
Для выполнения незначимых факторов производится проверка
значимости всех коэффициентов регрессии biс помощью t-критерия
Стьюдента.
Условие ti>tтабл (α,f) выполняется для элемента b0 уравнения
регрессии, поэтому его следует оставить, остальное отбрасывается. Тогда
линейное уравнение примет вид:
Целесообразно так подобрать математическую модель, чтобы по всем
опытам выполнялось условие
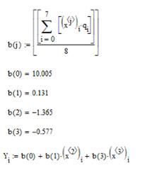
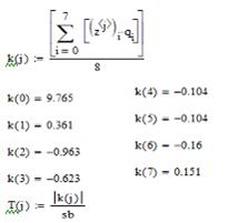
. Записав уравнение приближенной регрессии в неполном квадратичном
виде, определить значения коэффициентов регрессии.
Построение неполноквадратического уравнения регрессии:
Условиеti>tтабл (α,f) выполняется для элементаb0
уравнения регрессии, поэтому его следует оставить, остальное отбрасывается.
Тогда линейное уравнение примет вид:
Целесообразно так подобрать математическую модель, чтобы по всем
опытам выполнялось условие:
Вывод
В процессе были совершены следующие действия:
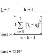
. Заданы l=7 выборки выходных параметров Y с
нормальным законом распределения объемом 10 значений.
2. Задано число входных факторов к=3.
. Выполнена проверка возможности проведения обработки
результатов эксперимента методом множественного регрессионного анализа по
критерию Кохрена. Так как, то гипотеза об однородности ряда выборочных
дисперсий выходного параметра не отвергается. Это означает, что для значимых
различий и в качестве оценки дисперсии воспроизводимости эксперимента можно
взять среднюю дисперсию.
4. Записано уравнение приближенной регрессии в виде . Выполнена проверка адекватности уравнения регрессии
результатам эксперимента.
В общем случае, так как не выполняется условие, то гипотеза
об адекватности не принята.
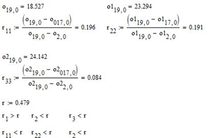
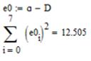
1. Проверить значимость аномальных результатов испытаний
выборок с нормальным законом распределения по критерию Диксона.
Для наименьшего экстремального значения параметра:
Для наибольшего экстремального значения параметра
Нулевая гипотеза об отсутствии грубой погрешности не
выполняется для 1 выборки.
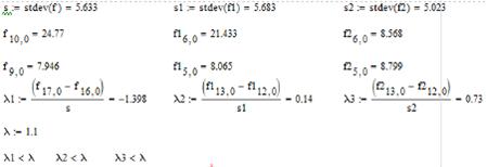
. Проверить значимость аномальных результатов
испытаний выборок с равномерным законом распределения по критерию Ирвина.
Нулевая гипотеза не подтверждается, то есть результат
ошибочный, т.к. не выполняется условие λ >λр.
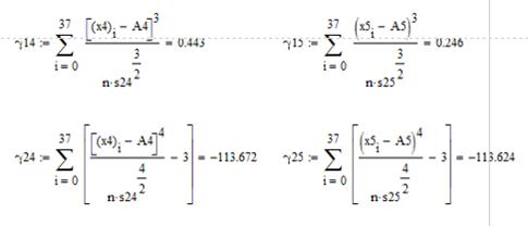
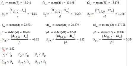
. Проверить значимость аномальных результатов
испытаний всех выборок по критерию Романовского.
Т.к. выполняется условие β > βk, результаты не являются промахом и не отбрасываются.
. Результаты иллюстрировать контрольными диаграммами.
. Проверили значимость аномальных результатов
испытаний выборок с нормальным законом распределения по критерию Диксона.
Нулевая гипотеза об отсутствии грубой погрешности не выполняется для 1-й
выборки. Для остальных выполняется.
2. Проверили значимость аномальных результатов испытаний
выборок с равномерным законом распределения по критерию Ирвина. Для всех 4
выборок гипотеза не подтверждается.
. Проверили значимость аномальных результатов
испытаний всех выборок по критерию Романовского. Результаты для значений всех
выборок не являются промахом и не отбрасываются.
. Построили диаграммы проверки целостности кабелей по
сопротивлению. В практической части данной курсовой были обработаны
результаты испытаний на основе проверки статистических гипотез, методом
регрессионного анализа и подверглись обработке на аномальность результатов
испытаний.
В теоретической и вводной части данной курсовой работы были
изучены общие принципы работы ЖРД и основные этапы его развития.
В практической части была спроектирована камера сгорания
жидкостного ракетного двигателя, по следующим исходным параметрам: компоненты
топлива ЖРД и его характеристики, тяга двигательной установки, время работы
двигателя, количество камер сгорания двигательной установки.
1. Исследование
неустановившихся и переходных процессов. Отчет / НПО "Криогенмаш".
Руководитель работы Н.В. Филин.
.
Качура В.П., Филин И.В., Клебанов А.И. Динамика заполнения незахоложенной
магистрали жидким азотом. - В кн.: Процессы, технология и контроль в криогенном
машиностроении. Сборник науч. трудов. Под ред. В.П. Белякова. - Балашиха.,
1976. с.55-69.
.
Березин И.С., Жидков Н.П. Методы вычислений. Т.2. Изд.2-е; пер. Учебное пособие
для вузов. - М.: Изд-во физ-мат. лит., 1962. - 639 с.
.
ТатуpaА.Е. Влияние тупиковых отводов на величину гидравлического удара в
магистрали. Труда. ЛИИЖТа. - Л.: 1971.
Список
использованных источников
. Добровольский,
М.В. Жидкостные ракетные двигатели. Основы проектирования: учеб. для вузов /
М.В. Добровольский; под ред. Д.А. Ягодникова. - 2-е изд. - М.: Изд-во МГТУ им.
Н.Э. Баумана, 2005. - 488 с.
. Павлюк,
Ю. C. Баллистическое проектирование ракет: учеб. пособие для вузов / Ю. C.
Павлюк. - Челябинск: Изд-во ЧГТУ, 1996. - 92 с.
. Термодинамические
и теплофизические свойства продуктов сгорания: справ.: в 10 т. / под. ред.В.П.
Глушко. - М.: ВИНИТИ, 1971-75. - Т.1, 2, 4, 5.
4. Козлов,
А.А. Системы питания и управления жидкостных ракетных двигательных установок /
А.А. Козлов, В.Н. Новиков, Е.В. Соловьев. - М.: Машиностроение, 1988. - 352 с.
. Конструкция
и проектирование жидкостных ракетных двигателей: учеб. для вузов / Г.Г. Гахун
[и др.]; под общ. ред. Г.Г. Гахуна. - М.: Машиностроение, 1989. - 424 с.
![]()
tp,f, различие средних значений двух рядов (2 ряда
относительно 1 ряда) результатов испытаний незначимо. Это условие не
выполняется для 2 ряда в сопоставлении с 1 рядом.
![]()
/ ![]()
. Проверка гипотезы сводится к проверке неравенства F≤ ![]()
. Так как выполняется условие для всех выборок, гипотеза
равноточности двух рядов (2,3 рядов относительно 1 ряда) результатов испытаний
принимается.
![]()
, различие средних значений двух рядов (относительно 1 ряда)
результатов испытаний незначимо.
![]()
поэтому наблюдаемое распределение можно считать нормальным.
2.1 Обработка
результатов эксперимента методом регрессионного анализа

.
![]()
хотя бы одна дисперсия ![]()
не равна остальным, для одинакового числа параллельных опытов в
каждой точке плана эксперимента, производится с помощью критерия Кохрена.
Статистика Gэтого критерия имеет вид
![]()
, определить значения коэффициентов ![]()
.
![]()
при повторении одного и того же опыта, при одном и том же
сочетании уровней факторов:
![]()
определяется как:
![]()

![]()
- оценка среднеквадратического отклонения i-го коэффициента
регрессии.
![]()
, и определены значения коэффициентов ![]()
.
2.2 Обработка
аномальных результатов испытаний
Заключение
Список
использованных источников