Материал: Предстартовые испытания летающего аппарата

Внимание! Если размещение файла нарушает Ваши авторские права, то обязательно сообщите нам

Предстартовые испытания летающего аппарата

Содержание

 

1. Оценка показателей предстартовых испытаний ЛА на технической позиции

1.1 Электрические испытания

1.2 Проверка электрической прочности изоляции

1.3 Проверка сопротивления изоляции

1.4 Порядок проведения электрических испытаний ЛА

1.4.1 Проверка транзитных цепей ЛА

1.5 Факторы, влияющие на целостность изоляции кабелей

2. Статистические оценки результатов испытаний

2.1 Обработка результатов эксперимента методом регрессионного анализа

2.2 Обработка аномальных результатов испытаний

Вывод

Заключение

Список использованных источников

Введение

В настоящее время сложно найти область деятельности человека в которой не использовались бы космические технологии. Развитие космической техники произошло благодаря многим отраслям науки и техники, использованию практически всех достижений научно-технического прогресса, значительным затратам материальных, финансовых, временных и людских ресурсов.

Для подготовки ракет-носителей к пуску требуется развитая наземная инфраструктура, обеспечивающая решение всех задач эксплуатации объектов космической техники.

Работы по завершению создания ракеты космического назначения выполняются специальной технической структурой - техническим комплексом, который является совокупностью технических средств ракетно-космического комплекса, размещенных на специально оборудованной в инженерном отношении позиции. На территории технического комплекса организуются и выполняются необходимые сборочные работы, а также предстартовые испытания, т.е. проверки всех агрегатов и систем ракеты перед ее транспортировкой на стартовый комплекс.

1. Оценка показателей предстартовых испытаний ЛА на технической позиции


Несмотря на большое разнообразие запускаемых ЛА, подготовка их к пуску обязательно включает в себя следующие основные этапы: транспортировка, сборка и испытания на технической позиции (ТП), предпусковая подготовка и пуск.

Предпусковая подготовка состоит из следующих видов испытаний: пневматические испытания и электрические испытания.

Пневматическими испытаниями проверяют на герметичность соединения и запорную арматуру (краны, клапаны, вентили, задвижки, заслонки и т.д.).

Электрические испытания приборов и систем проводятся с целью проверки электрической прочности, сопротивления изоляции и нормального функционирования летательного аппарата.

1.1 Электрические испытания


Электрические испытания приборов и систем проводятся с целью проверки электрической прочности, сопротивления изоляции и нормального функционирования ЛА. Электрические испытания включают в себя: автономные испытания приборов, агрегатов и систем до установки на аппарат, в процессе сборки; комплексные испытания расстыкованного и состыкованного ЛА. Электрическая прочность и сопротивление изоляции проверяются на собранных блоках или системах:

между электрическими цепями и металлическими изолированными частями приборов;

между разъединяющимися в процессе функционирования электрическими цепями;

между электрически не соединенными цепями.

Вначале проверяется электрическая прочность, а затем измеряется электрическое сопротивление изоляции. Объем электрических испытаний определяется нормативно-технической документацией.

1.2 Проверка электрической прочности изоляции


Электрической прочностью является способность электрической изоляции выдерживать действие приложенного к ней электрического напряжения. Она определяется значением напряжения, при котором наступает пробой, - пробивным напряжением.

Электрическую прочность можно определить с помощью формулы:

,

где α - коэффициент неоднородности поля;  - напряжение, вызывающее пробой;  - толщина изоляции.

Пробивное напряжение зависит от шероховатости поверхности, наличия масла, влаги, пыли, гигроскопичности и т.п. Номинальное напряжение, приложенное к изоляции изделия при нормальном функционировании, меньше пробивного напряжения. Испытательное напряжение для проверки электрической прочности изоляции зависит от номинального напряжения, его мощности, режимов эксплуатации и определяется нормативно-технической документацией.

При испытаниях допускается объединять несколько электрически независимых цепей, имеющих одинаковое рабочее напряжение, в единую систему. Испытательное напряжение рассчитывается по формуле:

,

где  - напряжение, определяемое нормативно-технической документацией;  - коэффициент;  - номинальное напряжение. Испытательное напряжение должно быть синусоидальным. Практически изоляцию подвергают воздействию максимального напряжения с амплитудой:

.

При пикообразном напряжении при том же действующем значении амплитуда гораздо больше.

Испытательное напряжение должно увеличиваться и уменьшаться плавно. При резком включении или отключении напряжения в исследуемой цепи, имеющей значительную индуктивность, могут возникнуть ударные перенапряжения, ударная напряженность поля в момент импульса окажется больше электрической прочности изоляции, и тогда произойдет пробой. Продолжительность изменения испытательного напряжения до  должна быть более 10 с. Возможно ступенчатое изменение напряжения от 0 до 0,5, затем ступенями по (0,05 - 10)  повышение до максимального напряжения , выдержка в течение 1 мин и ступенчатое снижение напряжения.

Установки для испытанийэлектрической прочности изоляции обычно обладают мощностью более 500 ВА, поэтому к работе допускают только специалистов, прошедших инструктаж по технике безопасности.

Изоляцию ЛА, обладающих различной проводимостью в различных направлениях, подвергают испытанию напряжением постоянного тока.

Электрическую прочность межвитковой изоляции обмоток электрических машин проверяют на холостом ходу плавным повышением напряжения на обмотке. Изоляция должна выдерживать в течение 5 мин напряжение, в 1,5 - 2 раза превышающее рабочее напряжение. Пробой межвитковой изоляции обмотки контролируется по снижению напряжения.

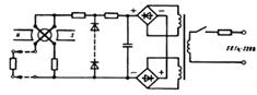
Схема установки для проверки электрической прочности изоляции показана на рисунке1.2.1.

Рисунок 1.2.1 - Схема установки для проверки электрической прочности изоляции

Испытательное напряжение во вторичной обмотке трансформатора Т устанавливается автотрансформатором Т по вольтметру V. При пробое в первичной обмотке Т будет проходить большой ток; при этом срабатывает максимальный автомат МА и трансформатор отключается.

При проверке электрической прочности изделий в условиях пониженного давления испытания проводятся в барокамере при испытательном давлении.

Испытание изделий на воздействие отклонения частоты питания. На начальном этапе до испытания проверяют работу изделия при номинальной частоте питания и снимают исходные характеристики.

Увеличивают частоту питания до верхнего предельного значения и после стабилизации работы изделия проверяют требуемые характеристики.

Уменьшают частоту питания до нижнего предельного значения и после стабилизации работы изделия проверяют требуемые характеристики.

Изделие считают выдержавшим испытание, если при измененных значениях частоты питания (увеличении или уменьшении) его характеристики находятся в пределах норм, установленных в технических условиях на изделие.

Метод контроля отклонения напряжения питания от номинального значения и продолжительность переключения на резервный источник питания устанавливают в технических условиях.

Испытание изделий на воздействие отклонения напряжения питания. Устанавливают напряжение питания, равное номинальному значению, и после стабилизации работы изделия проводят начальные проверки характеристик, установленных в технических условиях на изделие.

Напряжение питания увеличивают до верхнего предельного значения и после стабилизации работы изделия проверяют требуемые характеристики. Выбирают плавный или скачкообразный режим изменения напряжения в зависимости от конкретных условий эксплуатации.

Напряжение питания уменьшают до нижнего предельного значения и после стабилизации работы изделия проверяют требуемые характеристики.

Изделие считают выдержавшим испытание, если при измененных значениях напряжения питания (увеличении или уменьшении) его характеристики находятся в пределах норм, установленных в технических условиях на изделие.

1.3 Проверка сопротивления изоляции


Под воздействием приложенного напряжения электроизоляционные материалы проявляют свойство электропроводности. Электропроводность диэлектриков намного ниже, чем проводников, и вместе с тем эта характеристика диэлектриков играет важную роль в функционировании оборудования. Ток утечки диэлектрика имеет две составляющие: ток, проходящий по его поверхности, и ток, проходящий через диэлектрики. Отношение напряжения, приложенного к диэлектрику, к силе тока утечки называется сопротивлением изоляции. Сопротивление изоляции  может быть определено соотношением:

,

где  - сила тока утечки по поверхности изоляции;  - сила тока утечки через слой изоляции.

Сопротивление изоляции зависит от механических воздействий, температуры, проникающего излучения, состояния поверхности диэлектрика, качества обработки, сборки, пропитки и т.п.

Проверку сопротивления изоляции производят, как правило, в нормальных климатических условиях после воздействия механических и климатических факторов.

Нижний предел сопротивления изоляции должен быть: в холодном сухом состоянии > 20 МОм; в нагретом состоянии > 2 МОм; в увлажненном состоянии не менее 1 МОм. В отдельных случаях может устанавливаться более низкий предел сопротивления изоляции.

Проверку сопротивления изоляции производят следующими способами: сетевым и ручным мегомметрами и с помощью вольтметра определенным внутренним сопротивлением.

Схема сетевого мегомметра представлена на рисунке 1.3.1

Рисунок 1.3.1 - Схема сетевого мегомметра

предстартовое испытание летающий аппарат

Сопротивление изоляции входа измерительных приборов должно превышать на порядок измеряемое сопротивление изоляции. Измерительное напряжение должно соответствовать рабочему напряжению измеряемой цепи. Регистрацию значений сопротивления изоляции проводят, как правило, через одну минуту после подачи измерительного напряжения.

Для измерения сопротивления изоляции наиболее часто применяются магнитоэлектрические мегомметры и мегомметры с использованием электронных автокомпенсационных схем.

1.4 Порядок проведения электрических испытаний ЛА


1.4.1 Проверка транзитных цепей ЛА

Перечень приспособлений, инструментов и расходных материалов:

розетка-перемычка 926;

кабель 36;

кабель 37;

кабель 38;

кабель 39;

кабель 40;

кабель 41;

кабель 42;

кабель А;

кабель Б;

кабель В;

УКР-50 (универсальный коммутатор разъемный);

прибор электроизмерительный комбинированный;

браслет заземляющий;

кисть КФК-14;

салфетки;

спирт этиловый ректификованный высшего сорта.

Для проведения проверки транзитных цепей ЛА необходимо пошагово выполнять следующие действия:

. Собрать схему рабочего места в соответствии с Приложением А.

. Подготовить РН к проверке транзитных цепей кабелей КА, выполнив следующие операции:

взять из комплекта оборудования розетки-перемычки 925 и 926 и подготовить электрический соединитель заглушек к пристыковке по методике, изложенной в инструкции;

пристыковать розетки-перемычки 925 и 926 соответственно к электрическому соединителю и бортовой кабельной сети на торцевом шпангоуте приборного отсека по методике, изложенной в инструкции.

. Подготовить комплект аппаратуры для автоматизированной проверки разобщенности и целостности цепи к проверке цепей на обрыв по инструкции ТО, при этом на "Пульте П" установить:

переключатель ПРОВЕРКА в положение МОНТАЖ;

переключатель КОНТРОЛЬ в положение ПРОМЕЖУТ;

переключатель КАЛИБРОВКА МОНТАЖА - КОМ в положение 0,1;

переключатель ЦЕПЬ, СЕТЬ в положение ВКЛ.

. Провести проверку целостности транзитных цепей КА в автоматическом режиме по методике изложенной в инструкции технологического оборудования, последовательно подключая аппаратуру для автоматизированной проверки разобщенности и целостности цепи через кабели А, Б и универсальный коммутатор разъемный-50 (УКР-50) последовательно к электросоединителям 736, 737, 741, 742, 738, 739, 740. При этом проверку цепей с номерами:

-50 - для электросоединителя 736;

, 9, 14-24, 45-50 - для электросоединителя 737;

, 9, 14-24, 45-50 - для электросоединителя 741;

-50 - для электросоединителя 742;

проводить в режиме рабочего сброса.

При загорании на табло ЦЕПЬ индикации "25" контролировать загорание ламп "КОНТРОЛЬ", "ОБРЫВ".

Для электросоединителей 738-740 перед проведением проверки на УКР-50 разорвать цепи 14, 16, 18, 20, 22, 24, 26, 28, 30, 32, 34, 36, 38, 40, 42, 44, 46, 48.

При этом проверку цепей с номерами:

, 12,14, 16, 18, 20, 22, 24, 26, 28, 30, 32, 33, 34, 36, 38, 40-46, 48, 50 - для электросоединителя 738;

, 14, 16, 18, 20, 21, 22, 24, 26, 28, 30-34, 36, 38, 40, 42, 44, 46, 48 - для электросоединителя 739;

, 12, 14, 16, 18, 20, 22, 24, 26, 28, 30, 32-34, 36, 38, 40-46, 48, 50 - для электросоединителя 740;

проводить в режиме рабочего сброса.

. Отстыковать от электрических соединителей 300-9 и 300-10 бортовую кабельную сеть РН розетки-перемычки 925 и 926 по методике, изложенной в инструкции.

. Подготовить комплект аппаратуры для автоматизированной проверки разобщенности и целостности цепи к проверке цепей на сопротивление изоляции по инструкции технологического оборудования, при этом на пульте аппаратуры для автоматизированной проверки разобщенности и целостности цепи установить:

переключатель ПРОВЕРКА в положение ИЗОЛЯЦИЯ;