Методической основой оценки эффективности инвестиционных проектов в Российской Федерации являются «Методические рекомендации по оценке эффективности инвестиционных проектов и их отбору для финансирования» (утверждены Госстроем России, Министерством экономики РФ, Министерством финансов 34 Планирование деятельности гостиничных предприятий сов РФ, Госкомпромом России 31.03.94 г. № 7#12/47).
В соответствии с Методическими рекомендациями при оценке эффективности инвестиционных проектов используются:
коммерческая (финансовая) эффективность;
бюджетная эффективность;
общая экономическая эффективность.
В зависимости от учитываемых затрат и результатов, связанных с реализацией проекта различают: экономическую, социальную, экологическую эффективность инвестиций.
Оценка инвестиционных проектов, сравнение вариантов проектов, выбор лучшего из них производятся согласно мировой практике и «Методическим рекомендациям по оценке эффективности инвестиционных проектов и их отбору для финансирования» с использованием следующих показателей:
чистого дисконтированного дохода (интегрального эффекта) - NPV (netpresentvalue);
индекса доходности (рентабельности) инвестиций - PI (Profitability Index);
срока окупаемости инвестиций - Tок.;
других показателей, отражающих интересы участников или специфику проекта.
Дисконтирование
При оценке эффективности инвестиционных проектов осуществляется приведение (дисконтирование) указанных показателей к стоимости на момент сравнения, за который, как правило, в расчетах принимается дата начала реализации инвестиционного проекта.
В применяемых методах оценки эффективности инвестиций используются следующие понятия:
Текущая стоимость денег - их номинальная сумма на текущий (фактический) момент их затрат или получения.
Будущая стоимость денег - сумма, в которую превратится номинальная сумма поступивших или затраченных денег через соответствующий период времени в соответствии с принятой ставкой доходности.
Приведенная стоимость денег - это номинальная сумма, приведенная к конкретной временной дате или временному отрезку реализации инвестиционного проекта в соответствии с принимаемой ставкой процента доходности (так называемой «дисконтной ставкой«).
Определение приведенной стоимости называется дисконтированием.
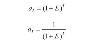
Приведение величин затрат и результатов
производится путем умножения их на коэффициент дисконтирования (дисконтный
множитель) определяемый для постоянной нормы дисконта Е по формулам:
где t - время от момента получения результата (произведения затрат) до момента сравнения, измеряемое в годах;
Е - принятая дисконтная ставка.
Коэффициент дисконтирования, рассчитанный по формуле 1, применяется при дисконтировании сумм, поступивших или затраченных ранее момента приведения, а коэффициент дисконтирования, рассчитанный по формуле 2, - при дисконтировании сумм, поступивших или затраченных позднее момента приведения.
Норма дисконта Е - коэффициент доходности капитала (отношение величины дохода к капитальным вложениям), при которой другие инвесторы согласны вложить свои средства в реализацию проектов аналогичного профиля.
Размер предполагаемого дохода от инвестиций зависит от:
уровня доходности проекта, которая устраивает инвестора (средней реальной дисконтной ставки),
темпа инфляции (инфляционной премии)
уровня риска (премии за риск).
С учетом этих факторов при сравнении проектов с различными уровнями доходности и риска должны применяться неодинаковые ставки дисконта. Более высокая величина нормы дисконта применяется в проектах с высоким уровнем риска, с более длительным сроком реализации.
Денежные потоки
Важнейшей задачей экономического анализа для инвестиционных проектов в гостиничной деятельности является расчет будущих денежных потоков, возникающих в результате реализации проекта. В процессе анализа потоки денежных средств рассматриваются по трем видам деятельности:
Инвестиционная деятельность в гостиничном бизнесе связана с реализацией и приобретением имущества долгосрочного использования, т.е. строительством новых гостиниц, корпусов, выходом на новые региональные и мировые рынки, капитальным ремонтом и переоборудованием имеющегося номерного фонда. Инвестиционная деятельность в целом приводит к оттоку денежных средств.
Основная деятельность - это деятельность предприятия, приносящая ему основные доходы, а также прочие виды деятельности, не связанные с инвестициями и финансами. Так как основная деятельность является главным источником прибыли, она является основным источником денежных средств.
Финансовая деятельность - это деятельность, результатом которой являются изменения в составе и структуре собственного капитала и заемных средств гостиничного предприятия.
Для каждого инвестиционного проекта необходима информация об ожидаемых потоках наличности с учетом налоговых платежей.
Поток реальных денег - разность между притоком (поступлением) и оттоком (расходованием) средств от инвестиционной и операционной деятельности в каждом периоде (на каждом шаге расчета) осуществления инвестиционного проекта.
Операционные доходы включают чистую выручку от реализации услуг (основных и дополнительных), проценты по вкладам, поступление арендных платежей, другие денежные поступления.
Операционные расходы включают денежные затраты на производство и реализацию продукции, управление организацией, уплату налогов, прочие расходы.
Сальдо реальных денег - разность между притоком и оттоком денежных средств от всех видов деятельности за рассматриваемый период осуществления проекта.
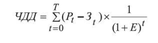
ЧДД (NPV)
Чистый дисконтированный доход (ЧДД), называемый
интегральным экономическим эффектом, а также в английской версии - чистой
текущей стоимостью (netpresentvalue - NPV), представляет собой величину чистого
дохода, который получит инвестор от реализации проекта за весь расчетный
период. Этот показатель определяется как сумма текущих эффектов, приведенная к
начальному шагу, или как превышение интегральных результатов над интегральными
затратами:
где Рt - результаты, достигаемые на t шаге расчета;
Зt - затраты, осуществляемые на t шаге расчета;
Т - временной период расчета;
Е - норма дисконта.
Эt = Рt-Зt - эффект, достигаемый на tм шаге.
Если ЧДД инвестиционного проекта положителен, то проект является эффективным (при данной норме дисконта), и может рассматриваться вопрос о его реализации. Чем больше ЧДД, тем эффективнее проект.
Пример расчета NPV:
Гостиничное предприятие планирует строительство нового корпуса.
Первоначальные инвестиционные затраты составляют
2200 т.р., в течение 1го года планируется дополнительно инвестировать 1420 т.р.
Денежный поток составляет 1700 т.р. в год, ликвидационная стоимость
оборудования в конце 5го года составит 630 т.р. Определить величину чистого
дисконтированного дохода при норме дисконта - 16% годовых.
|
Период |
Денежный поток т.р. |
Коэффициент дисконтирования (E=16%) |
Дисконтированный денежный поток |
|
0 |
- 2 200 |
1 |
-2 200 |
|
1 |
- 1 400 |
0,8621 |
- 1 224,18 |
|
2 |
1 700 |
0,7432 |
1 263,44 |
|
3 |
1 700 |
0,6407 |
1 089,19 |
|
4 |
1 700 |
0,5523 |
938,91 |
|
5 |
630 |
0,4761 |
299,94 |
|
Итог |
- |
- |
167,30 |
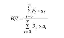
Индекс доходности
Индекс доходности инвестиций. Индекс доходности инвестиций (ИД) - представляет собой отношение суммы приведенных результатов от текущей деятельности к величине приведенных инвестиционных затрат.
Индекс доходности показывает относительную
величину доходности проекта в расчете на единицу вложений:

Индекс доходности инвестиций тесно связан также
с показателем рентабельности инвестиций, который определяется на основании ЧДД
и величины инвестиционных затрат:
Для вышеприведенного примера:
ИД = 1,048
Рентабельности инвестиций: 4,88 %
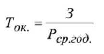
Срок окупаемости инвестиций (PP)
Срок окупаемости (Ток.) - один из наиболее часто применяемых показателей для анализа инвестиционных проектов (в международной практике этот показатель называют: paybackperiodmethod - PP).
Срок окупаемости - это минимальный временной интервал (от начала осуществления проекта), за пределами которого интегральный эффект (ЧДД) становится и в дальнейшем остается неотрицательным.
Иными словами, это - период времени (измеряемый в месяцах, кварталах или годах), начиная с которого первоначальные вложения и другие затраты, связанные с инвестиционным проектом, покрываются суммарными доходами от его реализации.
Срок окупаемости иногда называют сроком возмещения или возврата инвестиционных затрат. Этот показатель можно определить как отношение инвестиционных затрат к среднегодовым денежным поступлениям:
где З - величина инвестиций, руб.
Рср. год.- среднегодовой денежный поток (чистый доход), руб.
Для вышеприведенного примера:
Срок окупаемости инвестиций: (2200 + 1224,18) / ((1263,44+1089,19+932,91+299,94)/4) = 3,8 лет.
Таким образом:
показатель ЧДД отражает прогнозную оценку изменения экономического потенциала организации в случае принятия рассматриваемого проекта, данный показатель обладает свойством аддитивности, т. е. ЧДД различных проектов можно суммировать для определения общего эффекта.
критерий ИД показывает доход на единицу затрат, этот критерий является предпочтительным, когда требуется упорядочить независимые проекты для создания оптимального портфеля в случае ограниченности общего объема инвестиций.
Критерий Ток показывает число базовых периодов, за которые инвестиции будут возмещены за счет генерируемых проектом денежных поступлений.
Ни один из рассмотренных показателей оценки
эффективности инвестиционного проекта не является достаточным для принятия
решения о реализации или отклонении проекта. Решение должно приниматься с
учетом значений всех показателей и интересов участников инвестиционного
проекта. Важную роль в этом решении должны играть структура и распределение во
времени капитала, привлекаемого для осуществления проекта.
11. ЭКСПЛУАТАЦИОННАЯ ПРОГРАММА
ГОСТИНИЧНОГО ПРЕДПРИЯТИЯ
Эксплуатационная программа гостиницы - предоставляемый гостиницей объем услуг в натуральном и стоимостном выражении. Для номерного фонда гостиницы эксплуатационная программа в натуральном выражении - количество место-дней для проживания. От объема услуг зависят многие экономические показатели деятельности гостиниц, такие как выручка, себестоимость, платежеспособность, финансовая устойчивость и др.
Важнейшими показателями, характеризующими эксплуатационную программу гостиницы, являются:
объем продаж номеров,
выручка от реализации дополнительных услуг,
коэффициент загрузки номерного фонда.
Факторы, влияющие на объем продаж гостиничных услуг, можно подразделить на три группы:
факторы услуги;
факторы положения предприятия;
факторы рынка.
Среди факторов услуги, влияющих на объем продаж номеров в гостинице, следует учитывать:
уровень качества услуг по сравнению с конкурентами, т.е. этика и культура обслуживания гостя, обеспечение его безопасности, комплексности обслуживания за счет предоставления широкого набора различного рода дополнительных услуг;
местоположение гостиничного предприятия, т.е. удобство расположения в городе, наличие удобных подъездов на общественном транспорте, наличие стоянки для личного транспорта и др.;
структура услуг, предоставляемых потребителю, т.е. структура номерного фонда, состав и степень разнообразия дополнительных услуг;
отличие цен на услуги размещения и дополнительные услуги от цен конкурентов. Более высокие цены на услуги, с одной стороны, могут выступать фактором, ограничивающим реализацию данных услуг, а с другой, более высокая цена может быть обусловлена созданием лучших, наиболее благоприятных условий для проживания гостя;
уровень платежеспособного спроса на услуги, т.е. обладает ли клиент необходимыми средствами для приобретения соответствующих услуг.
Факторы положения предприятия, влияющие на объем продаж номерного фонда гостиницы, характеризуются следующим:
общее положение гостиничного предприятия на региональном рынке, т.е. его доля на рынке, сильные и слабые стороны деятельности по сравнению с конкурентами, насколько само предприятие гостеприимства удовлетворено своим положением на рынке и как оно его оценивает;
степень остроты конкурентной борьбы на рынке, т.е. насколько конкурентная среда «давит» на данное гостиничное предприятие;
репутация предприятия гостеприимства, т.е. оценка услуг и самого предприятия глазами потребителей;
степень финансовой устойчивости предприятия гостеприимства, т.е. наличие финансовых средств для повышения качества услуг и обслуживания клиентов, дальнейшего развития предприятия, степень ликвидности его имущества и другие финансовые коэффициенты, дающие оценку его финансового состояния и платежеспособности;
гибкость деятельности гостиничного комплекса, т.е. возможности по развитию и расширению видов услуг и обслуживания клиентов.
Среди факторов рынка, влияющих на объем продаж гостиничных услуг, следует назвать:
общая емкость регионального рынка гостиничных услуг, тип рынка (развивающийся, стабильный, стагнирующий и др.);
соотношение сил предприятия и его конкурентов, т.е. позиция анализируемой гостиницы в сравнении с конкурентами (лидирующее, отстающее, проигрывающее, перспективное и т.д.);
степень эластичности спроса - влияние ценовой политики на величину спроса.
В процессе составления эксплуатационной программы определяются основные показатели, которые позволяют дать реальную оценку возможностям использования номерного фонда гостиницы.
Единовременная вместимость определяется умножением количества номеров каждой категории на число мест в каждом из них;
Общее количество место-дней в гостинице определяется умножением показателя единовременной вместимости на число календарных дней года.
Полученное количество место-дней характеризует максимальную пропускную способность гостиницы при 100 %-ном использовании всех гостиничных мест за период. На практике максимальная загрузка гостиницы невозможна потому, что возникают простои в связи с ремонтом, реконструкцией и по другим объективным причинам.
| 00539 |
| 02.03 |
| 0501 Конунников ЛР1-1 |
| 10-2_ЛР |
| 10Лекция 10 |
| 1136 |
| 1304 |
| 131 |
| 1362 |
| 15.02.16 1 пара |