Материал: Пояснительная - Лёха

Внимание! Если размещение файла нарушает Ваши авторские права, то обязательно сообщите нам

S - площадь сечения забоя.

Определим линию наименьшего сопротивления (ЛНС) отбойных шпуров по формуле:

,

где k - коэффициент зажима;

d - диаметр шпура, м;

γ - объёмная масса грунта, кг/м3.

Так как при обуривании забоя будем применять мощные бурильные установки и тяжёлые бурильные машины, вруб принимаем прямым призматическим с расстоянием между врубовыми зарядами 25 см с устройством незаряженной скважины в центре.

Расстояние между отбойными шпурами принимаем равным aо = 0,8 м (0,8÷0,95W0), между подошвенными – ап = 0,7 м (0,7÷0,9W0), между контурными – ак = 0,72 м (0,7W0).

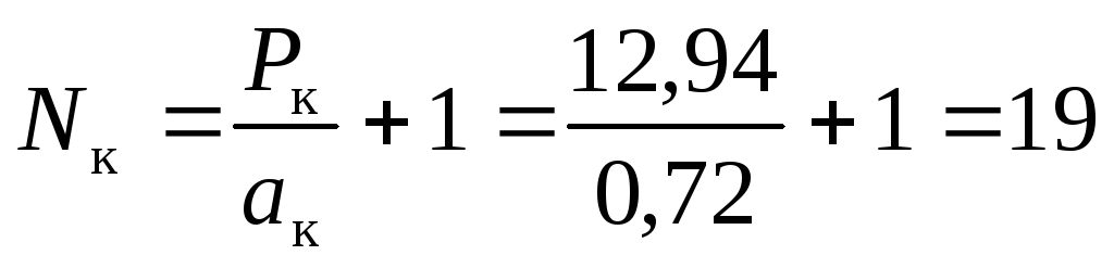
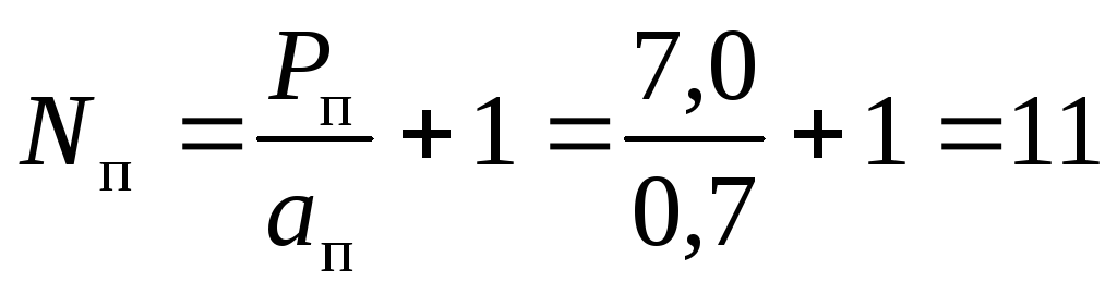
Вычисляем количество шпуров на забой по формуле:

,

где – количество контурных шпуров (Pк – периметр контура);

– количество подошвенных шпуров (Pп – периметр подошвы);

Nвр = 4 – количество врубовых шпуров;

Количество отбойных шпуров:

, где

– площадь сечения забоя, взрываемая отбойными шпурами, где

– площадь сечения забоя, взрываемая контурными шпурами (m ≈ 1 – коэффициент сближения контурных зарядов);

– площадь сечения забоя, взрываемая подошвенными шпурами;

Sвр = 0,3 м2 – площадь сечения забоя, взрываемая врубовыми зарядами;

kз – коэффициент заполнения шпура;

k = 1 – коэффициент уплотнения для патронированных ВВ.

Итого получаем:

N = 19 + 11 + 33 + 4 = 67 шпуров.

С учётом устойчивости кровли выработки длину комплекта шпуров назначаем равной l = 1,5 м. Тогда глубина заходки определяется по формуле:

,

где η = 0,85 – коэффициент использования шпура.

Объём взрываемой породы равен:

.

Ориентировочно расход ВВ на взрыв равен:

.

Масса всех контурных зарядов

,

где kк – концентрация заряда контурного шпура.

Средняя масса зарядов остальных шпуров

.

Масса зарядов врубовых, отбойных и подошвенных шпуров:

;

;

.

2.2.2. Буровое оборудование

Для бурения шпуров в забое выработки будем применять бурильные машины БУ-1 на базе самоходной бурильной установки СБУ-2к. Количество одновременно работающих бурильных машин принимаем равным четырём из расчёта ≈ 8 м2 площади обуриваемого забоя на одну бурильную машину, находящуюся на установке (две СБУ-2к).

Бурение вертикальных шпуров уступа осуществляем также самоходными бурильными установками СБУ-2к, так как высота уступа (3,2 метра) не превышает максимального хода подачи бура установки (4,0 метра).

2.3. Временное крепление выработки

В качестве временного крепления используем арки двутаврового сечения (I 25), а также набивные железобетонные анкеры, омоноличиваемые по всей длине. Длину анкеров назначаем 2 м. Располагаем их в шахматном порядке с шагом 1 м. Установка анкеров осуществляется с подъёмных площадок самоходных буровых установок. Для ускорения набора прочности омоноличивающим раствором приеняется быстротвердеющий раствор.

2.4. Погрузка и транспорт породы

Для выработок средних сечений (20-50 м2) рекомендуется применять для погрузки породы погрузочные машины типа ПНБ непрерывного действия. В курсовом проекте применяем машину ПНБ-3Д.

Вывозку породы будем производить автомобильным транспортом. Тогда для разминовки встречных транспортных средств и для поворота автотранспорта необходимо будет устраивать специальные ниши.

Транспортировку породы из забоя колоты до разрабатываемого нижнего уступа будем производить с помощью самоходных тележек на пневмоходу (тип 1ВС20АРЕ с ёмкостью кузова 12 м3).

Для транспортировки породы из тоннеля будем использовать автомобильный транспорт – автосамосвалы МоАЗ-6401 с объёмом кузова 11 м3. Так как объём взорванной породы составляет 40 м3, то необходимое количество автосамосвалов равно 4.

2.5. Организация работ в забое, определение параметров проходческого цикла

Так как основными операциями проходческого цикла являются бурение шпуров в забое и погрузка взорванной породы, продолжительность цикла определяется по формуле:

,

где Тб, Тп, Твсп – продолжительность операций бурения, погрузки и вспомогательных операций.

Продолжительность бурения определяется по формуле:

,

где N – число шпуров в забое;

l – средняя длина шпура;

φ – коэффициент использования бурильных машин во времени;

β – коэффициент одновременности работы бурильных машин;

n – число бурильных машин;

vб – чистая скорость бурения шпура, пог. м шпура в час.

Чистая скорость бурения шпура определяется по формуле:

пог. м в час;

где k1 – коэффициент, зависящий от типа бурильной машины;

k2 – коэффициент, учитывающий влияние сжатого воздуха;

k3 – коэффициент, учитывающий влияние диаметра головки бура;

k4 – коэффициент, учитывающий глубину шпура.

Продолжительность погрузки взорванной массы грунта определится по формуле:

,

где Wз – глубина заходки за цикл, м;

S – проектная площадь сечения выработки, м2;

kп – коэффициент перебора;

kр – коэффициент разрыхления грунта;

Рэ – эксплутационная производительность погрузочной машины;

n – число погрузочных машин в забое;

β – коэффициент одновременности работы погрузочных машин.

Эксплутационная производительность определяется по формуле:

м3/ч ,

где φ – коэффициент использования машины;

Рт – техническая производительность погрузочной машины;

t1, t3 – продолжительность простоя машины и различные потери времени, отнесённые к 1 м3 породы;

v – объём самосвала;

η – коэффициент заполнения самосвала.

Время на вспомогательные операции:

Tвсп = T1 + T2 + T3 + T4 = 0,5 + 1,6 + 0,5 + 0,5 = 3,1 ч ,

где Т1 – время на подготовительные операции;

– время на заряжение шпуров, где

N – число шпуров; l – средняя длина шпура; n – число заряжающих;

Т3 – время на взрывание и проветривание;

Т4 – время на прочие работы.

Тогда общая продолжительность цикла:

Tц = 2 + 2 + 1,6 = 5,6 ч

На базе полученных данных построена циклограмма – графическое изображение последовательности работ. Полученная циклограмма представлена на втором листе чертежей.

2.6. Расчёт объёма работ, определение стоимости тоннеля

Для определения стоимости сооружения тоннеля необходимо определить стоимость различных участков тоннеля с учётом их конструкции, способа производства работ по проходке тоннеля в различных грунтах. Данные о расценках на строительные работы берём из «Единых норм и расценок на строительные, монтажные и ремонтно-строительные работы». Расчёт стоимости ведём в ценах 1984 года.

Результаты определения стоимости тоннеля удобно привести в табличной форме:

Таблица 1

Определение стоимости тоннеля

№ п.п

Наименование основных работ по сооружению тоннеля

Ед. изм.

Стоим. на ед. изм.,руб

Тип I

Тип II

Тип III

Кол-во

Стоимо-сть, руб

Кол-во

Стоимо-сть, руб

Кол-во

Стоимо-сть, руб

1.

Разработка грунта

f=0,8

f=2

f=9

м3

10,0

8,0

12,0

59,75

598

39,41

473

47,26

378

2.

Бетонирование монолитной обделки

f=0,8

f=2

f=9

м3

35

35

30

19,11

669

2,5

75

11,74

411

3.

Набрызг

бетонной

обделки

f=0,8

f=2

f=9

м2

2,80

-

-

9,0

25

-

-

4.

Нагнетание раствора за обделку.

м2

2,11

29,3

62

15,0

32

26,0

55

Итого стоимость 1 п м.

руб

1329

605

844

Стоимость участка

тыс.руб

566,15

343,64

519,91

Стоимость тоннеля

тыс.руб

1429,7