В целях безопасности обслуживающего персонала в железнодорожном тоннеле предусматриваются ниши 200x200x100 см, располагающихся в шахматном порядке через 60 м. Для хранения ремонтного оборудования через каждые 300 м по обоим сторонам железнодорожного тоннеля вместо ниш сооружаются камеры длиной 6 м.
1.8. Определение несущей способности обделки на участке с крепостью грунта f = 2
Исходные данные:
На участке с крепостью f = 2 обделка подковообразного очертания без обратного свода.
Основные геометрические размеры: высота H = 8,112 м; толщина свода в замке hз = 0,50 м, в средней части стены hст = 0,70 м, по обрезу фундамента; hо = 1,05 м; максимальная ширина по внутреннему контуру Bmax = 5,60 м.
Марка бетона 200 (класс В25): расчетное сопротивление на сжатие – 90 кгс/см2, на растяжение – 7,5 кгс/см2.
Основные физико-механические характеристики горной породы: коэффициент прочности f = 2, кажущийся угол внутреннего трения φ = 60º, коэффициент упругого отпора k0 = 150 кгс/см2, объемная масса грунта γ = 1,1 т/м3.
Определение нормативных и расчетных нагрузок
Величину горного давления в зависимости от степени трещиноватости массива и коэффициента крепости рекомендуется принимать от массы грунта в объеме свода обрушения в соответствии с гипотезой М.М. Протодьяконова (см. рис. 2):

Рис. 2. Схема нормативных и расчетных нагрузок
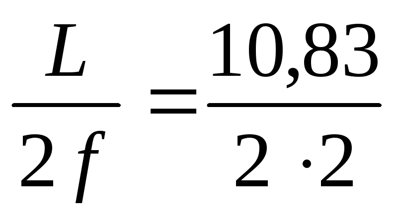
где В = 7,00 м – пролет выработки;
h = 8,11 м – высота выработки;
L = B + 2h ∙ tg (45˚ – φк / 2) = 7 + 2 ∙ 8,11 ∙ tg (45˚ – 63,43 / 2) = 10,83 м – пролет свода естественного равновесия ;
h1
=
=
2,7 м –
высота свода;
H – глубина залегания выработки;
qн = γ ∙ h1 = 1,1 ∙ 2,7 = 3,0 т/м3 – нормативное вертикальное горное давление;
pн = γ (h1 + 0,5h) ∙ tg2 (45 – φк / 2) = 1,1 ∙ (2,7 + 0,5 ∙ 8,2) ∙ tg2 (45˚ – 63,43˚ / 2) = 0,4 т/м2 – нормативное горизонтальное горное давление.
Собственный вес обделки определяется по формуле:
,
где G = S ∙ l ∙ γб = 7,7 ∙ 1 ∙ 2,4 = 18,5 т – вес сводчатой части обделки на 1 пог. м тоннеля.
Определим расчётные нагрузки посредством умножения нормативных на коэффициенты перегрузки:
=
1,5
∙ 3 + 1,2 ∙ 2,7 = 7,7 т/м
– вертикальная нагрузка;
– горизонтальная нагрузка.
Коэффициент упругого отпора в сводчатой части выработки:
;
Коэффициент упругого отпора под пятой:
![]()
(Kо = 150 кг/см3 – коэффициент удельного отпора).
Статический расчет обделки
Статический расчет обделки выполняется на ЭВМ по методу Метрогипротранса
( программа ПК-6). Этот метод предназначен для расчета конструкции произвольного очертания, расчетную схему которой можно представить в виде плоской стержневой системы.
В основу расчетной схемы положены следующие допущения:
1) Плавное очертание оси обделки заменяются вписанным стержневым многоугольником переменной жесткости.
2) Распределенные внешние нагрузки заменяются сосредоточенными в узлах многоугольника усилиями.
3) Сплошная грунтовая среда заменяется отдельными упругими опорами, расположенными в вершинах многоугольника, перпендикулярно наружной поверхности обделки.
4) Силы трения, возникающие в пятах разомкнутой обделки, в расчетной схеме заменяются запретом перемещения узлов пяты по горизонтали.

Рис. 3. Схема к статическому расчету обделки на ЭВМ
РАСЧЕТ КОНСТРУКЦИИ ТИПА Лист 1
КОНСТРУКЦИЯ СИММЕТРИЧНА 19 узлов, 18 стержней
ИСХОДНЫЕ ДАННЫЕ Вариант 1
ОПИСАНИЕ УЗЛОВ В ПРЯМОУГОЛЬНЫХ КООРДИНАТАХ Таблица 1
--------------------------------------------------------------------------
: : : Координаты, м : Сосредоточенные нагрузки :Запр.перем.:
: N :Расч:--------------------------------------------------------------:
:Узла: N : Х : У : Р верт : Р гориз : Момент :по-: Х : У :
: : : : : т : т : тм :вор: : :
--------------------------------------------------------------------------
: 1: 0: .000: 7.570: .000 : .000 : .000 : : : :
: 2: 0: .570: 7.510: .000 : .000 : .000 : : : :
: 3: 0: 1.120: 7.340: .000 : .000 : .000 : : : :
: 4: 0: 1.620: 7.060: .000 : .000 : .000 : : : :
: 5: 0: 2.060: 6.680: .000 : .000 : .000 : : : :
: 6: 0: 2.400: 6.220: .000 : .000 : .000 : : : :
: 7: 0: 2.650: 5.700: .000 : .000 : .000 : : : :
: 8: 0: 2.830: 5.160: .000 : .000 : .000 : : : :
: 9: 0: 2.970: 4.600: .000 : .000 : .000 : : : :
: 10: 0: 3.070: 4.030: .000 : .000 : .000 : : : :
: 11: 0: 3.130: 3.460: .000 : .000 : .000 : : : :
: 12: 0: 3.150: 2.880: .000 : .000 : .000 : : : :
: 13: 0: 3.130: 2.300: .000 : .000 : .000 : : : :
: 14: 0: 3.100: 1.730: .000 : .000 : .000 : : : :
: 15: 0: 3.080: 1.150: .000 : .000 : .000 : : : :
: 16: 0: 3.050: .580: .000 : .000 : .000 : : : :
: 17: 0: 3.030: .000: .000 : .000 : .000 : : : :
: 18: 0: 3.500: .000: .000 : .000 : .000 : : : :
: 19: 0: 2.450: .000: .000 : .000 : .000 : : * : :
--------------------------------------------------------------------------
ИСХОДНЫЕ ДАННЫЕ Вариант 1
ОПИСАНИЕ СТЕРЖНЕЙ Таблица 2
---------------------------------------------------------------------------
:Номера :Распределен. нагрузки: Коэффиц.:Шар:Площадь: Момент : Модуль :
:узлов :---------------------: упругого:нир:сечения: инерции :упругости :
:-------: Q верт : Q гориз : отпора :---: : сечения :конструкц.:
:Нач:Кон: т/м2 : т/м2 : К ,т/м3 :Н:К: F ,м2 : J ,м4 : Е ,т/м2 :
---------------------------------------------------------------------------
: 1 : 2 : 7.700 : .320 : 42860: : : .500 : .0100000: 3060000 :
: 2 : 3 : 7.700 : .320 : 42860: : : .510 : .0110000: 3060000 :
: 3 : 4 : 7.700 : .320 : 42860: : : .530 : .0120000: 3060000 :
: 4 : 5 : 7.700 : .320 : 42860: : : .550 : .0140000: 3060000 :
: 5 : 6 : 7.700 : .320 : 42860: : : .580 : .0160000: 3060000 :
: 6 : 7 : 7.700 : .320 : 42860: : : .620 : .0200000: 3060000 :
: 7 : 8 : 7.700 : .320 : 42860: : : .650 : .0230000: 3060000 :
: 8 : 9 : 7.700 : .320 : 42860: : : .670 : .0250000: 3060000 :
: 9 :10 : 7.700 : .320 : 42860: : : .680 : .0260000: 3060000 :
:10 :11 : 7.700 : .320 : 42860: : : .690 : .0270000: 3060000 :
:11 :12 : 7.700 : .320 : 42860: : : .700 : .0290000: 3060000 :
:12 :13 : .000 : .320 : 42860: : : .710 : .0300000: 3060000 :
:13 :14 : .000 : .320 : 42860: : : .750 : .0350000: 3060000 :
:14 :15 : .000 : .320 : 42860: : : .800 : .0430000: 3060000 :
:15 :16 : .000 : .320 : 42860: : : .860 : .0530000: 3060000 :
:16 :17 : .000 : .320 : 42860: : : .920 : .0650000: 3060000 :
:17 :18 : .000 : .320 : 146040: : : .210 : .0010000: 3060000 :
:18 :19 : .000 : .000 : 146040: : : .210 : .0010000: 3060000 :
---------------------------------------------------------------------------
^L
РЕЗУЛЬТАТЫ РАСЧЕТА
==========================================
: : Перемещения в системе Х У :
: Номера:--------------------------------:
: узлов : Угол : Горизонт.: Вертик. :
: : поворота : смещение : смещение :
: : (рад) : (м) : (м) :
==========================================
: 1 .00000 .00000 .00075 :
: 2 -.00008 .00000 .00073 :
: 3 -.00014 -.00001 .00066 :
: 4 -.00015 -.00005 .00059 :
: 5 -.00012 -.00010 .00052 :
: 6 -.00007 -.00014 .00049 :
: 7 -.00003 -.00016 .00047 :
: 8 .00001 -.00016 .00046 :
: 9 .00004 -.00015 .00046 :
: 10 .00006 -.00012 .00046 :
: 11 .00006 -.00008 .00045 :
: 12 .00006 -.00004 .00045 :
: 13 .00005 -.00001 .00044 :
: 14 .00003 .00001 .00043 :
: 15 .00001 .00002 .00043 :
: 16 -.00002 .00002 .00042 :
: 17 -.00004 .00000 .00042 :
: 18 -.00028 .00000 .00027 :
: 19 .00045 .00000 .00005 :
------------------------------------------
РЕЗУЛЬТАТЫ РАСЧЕТА
=============================================================================
: : Зона : : : : :
: : взаимо- : Момент :Нормальная:Поперечная: Эксцентриситет :
: НН- :действия : (тм) : : : (м) :
: :с грунтом: : сила : сила : :
: -НК :---------:-------------------: : :----------------:
: :Нач.: Кон:В начале : В конце :в элементе:от момента:В начале:В конце:
: :стер:стер: стержня : стержня : (т) : (т) :стержня :стержня:
=============================================================================
: 1- 2 4.754 -4.070 -9.629 -1.193 -.4937 -.4226:
: 2- 3 4.070 -2.091 -10.916 -3.437 -.3728 -.1916:
: 3- 4 2.091 .567 -13.306 -4.639 -.1572 .0426:
: 4- 5 -.567 3.291 -16.251 -4.686 .0349 .2025:
: 5- 6 -3.291 4.943 -19.219 -2.887 .1713 .2572:
: 6- 7 -4.943 5.152 -21.399 -.362 .2310 .2407:
: 7- 8 ** ** -5.152 4.257 -22.791 1.571 .2260 .1868:
: 8- 9 ** ** -4.257 3.024 -23.765 2.136 .1791 .1272:
: 9-10 ** ** -3.024 1.705 -24.459 2.279 .1236 .0697:
:10-11 ** ** -1.705 .330 -24.870 2.399 .0686 .0133:
:11-12 ** ** -.330 -1.242 -24.971 2.710 .0132 -.0498:
:12-13 ** ** 1.242 -3.062 -24.833 3.135 -.0500 -.1233:
:13-14 ** ** 3.062 -4.559 -24.788 2.623 -.1235 -.1839:
:14-15 ** 4.559 -5.574 -24.835 1.749 -.1836 -.2244:
:15-16 ** ** 5.574 -6.698 -24.809 1.968 -.2247 -.2700:
:16-17 ** 6.698 -7.424 -24.845 1.251 -.2696 -.2988:
:17-18 7.424 4.264 -.119 -24.867 -62.2043 35.7266:
:18-19 ** ** -4.264 .000 .119 4.061 -35.7267 .0000:



Проверка прочности обделки.
После определения внутренних усилий (изгибающих моментов и нормальных сил) проверяют прочность бетонных сечений. Для этого вычисляют величину предельной нормальной силы Nп, которую может воспринять данное сечение, и сравнивают её с величиной нормативной силы N, полученной при статическом расчете для этого же сечения. При этом должно соблюдаться условие Nп > N.
Проверку прочности тоннельной обделки проводим для наиболее загруженных сечений 1 и 6 (наибольшие эксцентриситеты).
Для сечения 1. Проверяем эксцентриситет:
е0 = 0,4937 м = 49,37 см > 0,9 ∙ у = 0,9 ∙ 0,25 = 0,225 м = 22,5 см;
(y – расстояние от центра тяжести сечения до наиболее сжатого слоя бетона обделки)
Следовательно, работа сечения обделки приближается к работе изгибаемых элементов. В этом случае проверка прочности сечения производится по формуле:
;
где m = 0,9 – коэффициент условий работы;
k = 1 – коэффициент, учитывающий вид бетона;
Rр = 7,5 кгс/см2 – расчетное сопротивление бетона растяжению;
b = 100 см – ширина сечения;
h = 50 см – высота рассматриваемого сечения.
M = 4,743 тс∙м ≤ Мп = 4,82 тс∙м.
Проверка выполняется, прочность обделки обеспечена.
Для сечения 6 (в конце стержня 5-6). Проверяем эксцентриситет:
е0 = 0,2572 м = 25,72 см ≤ 0,9 ∙ у = 0,9 ∙ 0,27 = 0,261 м = 26,1 см;
Условие выполняется. В этом случае данное внецентренно-сжатое сечение можно рассчитывать без учёта сопротивления бетона растянутой зоны. Тогда условие прочности имеет вид: N ≤ Nп. Находим предельную продольную силу для сечения:
![]()
Производим проверку: N = 19,2 тс < Nп = 53,1 тс.
Проверка выполняется, прочность обделки обеспечена.
В дальнейшем увеличении толщины обделки нет необходимости, так как при принятых толщинах свода и стен прочность обделки обеспечена.
Участок тоннеля №1: грунт – порфирит слаботрещиноватый, f = 9.
Так как грунт относится к крепким, то при постройке тоннеля отпадает необходимость в немедленной после разработки грунта установки временной крепи. А её назначение сводится к предотвращению образования отдельных мелких вывалов и обрушения одиночных кусков грунта с кровли. При проходке данного участка тоннеля будем использовать способ сплошного забоя, для которого характерно наличие одной плоскости забоя, что упрощает использование для бурения шпуров буровых рам с тяжёлыми высокопроизводительными перфораторами, снабжёнными автоматическим управлением.
Основные работы при этом способе включают только два процесса (см. рис.4): 1) разработка грунта с последующей его уборкой; 2) бетонирование свода и нанесение набрызг-бетона.

Рис. 4. Проходка тоннеля в крепком грунте способом сплошного забоя
Участок тоннеля №2: грунт – суглинок тяжёлый, f = 0,8.
Так как грунт относится к слабым (I группа), то выработку раскрывают по частям (см. рис.5) с немедленным закреплением обнажённого массива временной крепью.

Рис.5. Схема очерёдности раскрытия элементов подземной выработки в слабых грунтах
Работы по проходке тоннеля в данном грунте будем проводить, используя способ опёртого свода. Данный способ предусматривает сооружение в первую очередь верхней части обделки – свода. Вначале проходят нижнюю штольню 1. Из неё при помощи вертикальных или наклонных ходков 2 открывают забой верхней штольни 3, на базе которой раскрывают верхнюю часть выработки – калотту 4. Затем разрабатывают грунт а средней штроссе 5 и в последнюю очередь – в боковых штроссах 6.
Участок тоннеля №3: грунт – пемза, f = 2.
Для проходки выработок в скальных грунтах с коэффициентом крепости от 2 до 4 при сооружении однопутного железнодорожного тоннеля применяется уступный способ (см.рис. 6).

Рис.6. Схема сооружения тоннеля уступным способом
Одновременно с проходкой калотты (1) на определённом расстоянии от её забоя производим разработку уступа на ширину пролёта выработки (3). Бетонирование обделки производится в два приёма: сначала свод (2) (вслед за проходкой калотты), затем стены (4) (вслед за проходкой уступа). Длину уступа принимаем равной 150 м.
Разработка полускальных и скальных грунтов с коэффициентом крепости ≥ 2 осуществляется буровзрывным способом. В курсовом проекте необходима детальная проработка проекта организации работ на участке с крепостью грунта f = 2. Как видно, грунт разрабатываем буровзрывным способом.
В соответствии с геологическими условиями в качестве ВВ выбираем аммонит ПЖВ-20 со следующими характеристиками:
плотность ∆ = 1,1 г/см3 = 1100 кг/м3;
коэффициент работоспособности е = 1,2;
диаметр патрона dп = 36 мм.
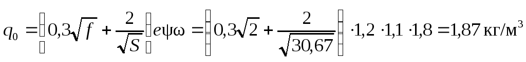
Определим удельный расход ВВ с учётом его работоспособности по формуле:
,
где е - коэффициент работоспособности ВВ;
ψ - коэффициент влияния плотности заряжения;
ω - коэффициент структуры и трещиноватости грунтового массива;