Материал: Построение профиля трассы

Внимание! Если размещение файла нарушает Ваши авторские права, то обязательно сообщите нам

Поправка в длину линии за температуру.

 

 

Значение откладываемых на местности линий будет складываться из суммы проектного значение и поправок.

 

 

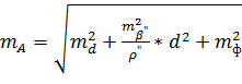
Допустимая погрешность построения длины линии.

 

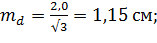
Допустимая погрешность построения угла.

 

Точность разбивки.

 

 

Построение верхней бровки котлована.

Точки пересечение основных осей. Определяют графически по генплану.

 

 

 

 

Абсолютная отметка чистого пола первого этажа.

 

 

Абсолютная отметка дна котлована.

 

 

Вычисляем превышение между черной (фактической) отметкой каждой из точек пересечения основных осей и абсолютной отметкой дна котлована (глубина котлована в данной точке):

 

 

 

 

 

Величина заложения S.

n=2.0=1.0см.