смысле, т.е. они образуют ансамбль иерархических цепочек, которые реализуются с определенными вероятностями.
Перечисленные особенности являются тем теоретическим фундаментом функционально-пространственной модели городской системы.
Для формализованного описания этих качеств рассмотрим городскую систему, понимая под термином «система» соединение каких-либо блоков с указанием их входов и выходов. В такой интерпретации понятия системы каждый из блоков осуществляет преобразование того, что действует на его входе, в то, что оказывается на выходе. Существенна в этом преобразовании его связь со временем и пространством.
Временные и пространственные факторы выступают в качестве основных аргументов для процессов, возникающих в городской системе, и определяют ее пространственную динамику. Под пространственными факторами обычно понимается набор параметров, характеризующих элемент городской территории. Для этого используют экономические, экологические, технические, геологические и другие показатели. Поэтому в общем случае городское пространство имеет несколько измерений, что свидетельствует о его неоднородности.
Определение и описание входных и выходных процессов основано на выявлении причинно-следственных связей. Процедура анализа факторов, характеризующих городскую систему, в значительной степени феноменологична и зависит от того, каковы цели исследования, каков набор исследуемых факторов, какой группе факторов отдается предпочтение и т. д. Однако существуют некоторые общие рекомендации, которых следует придерживаться при формировании множеств входных и выходных переменных.
В качестве входных переменных обычно выступают всевозможные планы и программы развития городов: генеральный план, план капитального строительства, программа социального и экономического развития и т. д. Перечисленное и есть то, с помощью чего можно целенаправленно управлять городскими процессами, влиять на развитие города. Однако, к входным переменным относятся также те, которые влияют на состояние городской системы, но являются недоступными для целенаправленного изменения.
К ним относятся воздействия со стороны внешней среды, окружающей городскую систему. Это могут быть природно-экологические, материально-технические, демографические и другие факторы, связанные с
56
городом, потому что город представляет собой часть системы более высокого уровня: региональной, национальной, глобальной.
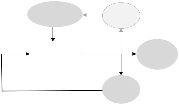
Все остальные факторы, характеризующие город, относятся к классу выходных переменных. Таким образом, городская система (рис. 2.3) осуществляет преобразование двух типов входных процессов: программ развития Vc (t, x) и воздействий внешней среды Vd (t, x) в выходной процесс E (t, x). Эти процессы являются функциями времени t 

и пространственной переменной x
X, где Т — интервал времени на котором рассматривается динамика городской системы и X — городское пространство (территория).
|
Воздействия |
|
внешней среды |
Vd (t, x) |
|
Программы |
|
Городская |
|
развития |
система |
|
|
|
|
Vc (t, x)
Размытая
граница
Показатели
состояния
E (t, x)
Генерация
программ
развития
Рис. 2.3 – Структурная схема взаимодействия внешних и внутренних факторов с городской системой
Следует отметить, что между параметрами Vc , Vd и E существуют определенные обратные связи, то есть нельзя считать входные процессы независимыми от выходного процесса.
Необходимо отметить, что эти зависимости имеют различную природу. Входной процесс Vc (t, x) связан с E (t, x) в том смысле, что при разработке планов и программ развития городской системы учитывается выходной процесс, так как цели и критерии развития формулируются обычно относительно выходного процесса. Можно сказать, что связь между E (t, x) и Vc (t, x) вычислительная: она создается исследователем и реализуется городскими властями для достижения определенных целей
57
развития городской системы. Структура этой связи показана на рис. 2.3 пунктирными линиями.
Другой входной процесс Vd (t, x), имитирующий воздействие внешней среды, связан с E (t, x) через так называемую «размытую границу». Воздействие внешней среды состоит в том, что внешняя среда, воздействуя на городскую систему, сама испытывает на себе влияние градостроительной системы. Пространственная среда этого взаимодействия не имеет четких границ.
Входной и выходной процессы представляют собой совокупность переменных, с помощью которых описывается изменение во времени и пространстве программ развития города, воздействий внешней среды и показателей состояния городской системы. Эти переменные могут относиться к экономическим, градостроительным, экологическим и другим аспектам функционально-пространственной структуры городской системы.
Количество факторов и соответствующих им переменных, которые так или иначе следовало бы учитывать при описании городской системы, огромно. Поэтому для получения конструктивных результатов необходимо попытаться сократить их количество. Но здесь необходимо иметь в виду, что какой бы способ сокращения объема списка переменных не был применен, в результате всегда присутствует неопределенность
[10, 13].
Поскольку речь пойдет о моделировании градостроительной системы, то необходимо чтобы в модели отображались особенности города как системы.
2.4 Формальное описание класса городских систем
Городские системы образуют особый класс динамических систем, в которых детерминированный характер наблюдаемых процессов сочетается с их стохастической природой. Для формализованного описания этих качественных особенностей рассмотрим гипотетическую городскую систему, понимая под системой соединение каких-либо блоков с указанием их входов и выходов.
В такой интерпретации понятия системы каждый из выделенных тем или иным способом блоков осуществляет преобразование того, то действует на его входе, в то, что оказывается на выходе. Существенным в этом преобразовании является связь его со временем и пространством.
58
Пространственно-временные факторы выступают в качестве основных аргументов процессов, возникающих в городской системе, и определяют ее пространственную динамику.
Изучение системы можно производить на различных интервалах времени. Чаще всего этот интервал конечный:
Т = 








,
где t – некоторая константа.
Однако для изучения специальных свойств городской системы могут
потребоваться полубесконечные интервалы |
|
|
|
|
|
|
||||||||||||||
Т = |
|
|
|
|
|
|
|
|
|
|
|
|
|
|
|
|
|
, |
||
|
|
|
|
|
||||||||||||||||
|
|
|
|
|
|
|
|
|
|
|
|
|
|
|
|
|||||
|
|
|
|
|
|
|
|
|
|
|
|
|
|
|
|
|
||||
или |
|
|
|
|
|
|
||||||||||||||
Т = |
|
|
|
|
|
|
|
|
|
|
|
|
|
|||||||
|
|
|
|
|
|
|
|
|
||||||||||||
|
|
|
|
|
|
|
|
|
|
|
|
|
|
|
|
|
|
|
||
При определении этих интервалов времени
могут образовывать непрерывное множество или дискретное множество. В первом случае время в модели рассматривается как непрерывная величина, во втором случае время рассматривается дискретно.
Дискретное время часто оказывается более удобным. Это связано с тем, что экспериментальная информация о системе формируется в дискретные моменты времени. Кроме того, городская система досаточно инерционна, в связи с чем меняет свои свойства в дискретные моменты времени.
Обычно шаг дискретизации выбирается постоянным, и тогда
|
Т = |
|
|
|
|
|
|
|
|
|
|
|
|
|
|
|
|
|
|
|
|
|
|
|
|
|
|
|
|
|
|
|
|
|
|
|
|
где m = 1, 2, ……, |
шаг дискретизации, n фиксированное целое |
|||||||||||||||||
число. |
|
|
|
|
|
|
|
|
|
|
|
|
|
|
|
|
|
|
В отличие от временной, пространственная переменная может иметь различный содержательный смысл. Если под городским пространством понимать некоторую плоскость, то пространственной переменной является точка в этой плоскости. Если ввести в ней некоторую систему координат, то каждой точке городской плоскости можно сопоставить совокупность чисел. Так, для Декартовой системы координат каждая точка будет характеризоваться парой вещественных чисел.
Иногда удобно сделать дискретную шкалу для измерения координат точек на городской территории в силу ограниченной точности измерений. Тогда точка трансформируется некоторый участок плоскости (область), размеры которого определяются погрешностью измерений, а координаты задаются парой целых чисел. Поскольку такие пары различные, то их
59
можно преобразовать в одномерный массив, введя определенное правило нумерации. Городское пространство можно интерпретировать и несколько шире. Наиболее естественным обобщением является трехмерное городское пространство. В этом случае каждый элемент пространства будет характеризоваться тройкой чисел, которые будут определять его геометрические положения в городском объеме.
Однако городское пространство не всегда строится на геометрической аналогии. В частности, для описания городского пространства используются дополнительно экономические, экологические, технические, геологические и другие показатели.
Выводы
Эффективное управление территориями, в том числе и урбанизированными, становится необходимым условием ее развития и требует учета большого количества неопределенностей, обусловленных проведением исследований, экспериментов, разработок, испытаний и т.д., необходимостью неоднократных возвратов к предыдущим этапам и стадиям. Кроме того, принятие решений всегда характеризуется неясностью относительно будущего состояния процесса развития градостроительной системы и неясностью перспектив и возможностей сценариев ее развития.
На современном этапе город является целостным системным образованием, состоящим из сложной совокупности взаимосвязанных элементов, и одновременно неотъемлемым компонентом территориальных систем более высокого ранга. Поэтому при прогнозировании как регионального социально-экономического развития, так и муниципального необходимо учитывать соподчиненность стратегических направлений и ориентиров развития на региональном и муниципальном уровнях. Общая цель прогнозных разработок – формирование целостных вариантов социально-экономического развития территории, обоснование концепции регионального развития, которая является ключевым документом, обеспечивающим проведение активной региональной политики.
Для этого необходимо, чтобы достигалась непрерывность прогнозирования, то есть существовали взаимоувязанные прогнозы всех временных горизонтов, которые периодически пересматриваются и уточняются в связи с возможными изменениями в реальной обстановке под воздействием факторов неопределенности.
60