-Происходит нормализация закона распределения -приближается к нормальному
5 Как изменяется распределение нормального СП при его прохождении через линейную цепь?
-Форма графика сохраняется,возможно сжатие по одной оси при растяжении по другой -Форма(аналитическое выражение) сохраняется,изменяются только параметры распределения - Форма(аналитическое выражение) сохраняется,изменяются только математическое ожидание,дисперсия и корреляционная функция
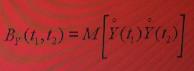
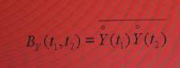
4 Как можно вычислить функцию корреляции BY(t1,t2) реакции безынерционной цепи с функциональной характеристикой y = f(x) на случайное воздействие X(t)?
1
2
3 Как можно вычислить дисперсию D[Y(t)] реакции безынерционной цепи с функциональной характеристикой
y = f(x) на случайное воздействие X(t)?
2 Как можно вычислить математическое ожидание реакции Y(t) безынерционной цепи с функциональной характеристикой
y = f(x) на случайное воздействие X(t)?
1 Как можно вычислить плотность вероятности w(y) реакции безынерционной цепи по известным w(x) и y = f(x)?
Вопросы к работе №22.
«Согласованная фильтрация сигналов известной формы»
1.Выберите подходящие осциллограммы для реакции фильтра, согласованного с прямоугольным видеоимпульсом, на «свой» сигнал.
1)
2)
2.Выберите подходящие осциллограммы для реакции фильтра, согласованного с прямоугольным радиоимпульсом, на «свой» сигнал.
3.Выберите подходящие осциллограммы для реакции фильтра, согласованного с кодом Баркера, на
«свой» сигнал.
1)
2
3
4.Выберите подходящие импульсные характеристики фильтров, согласованных с прямоугольным
видеоимпульсом.
1)
2)
3)
5.Выберите подходящие АЧХ фильтра, согласованного с прямоугольным видеоимпульсом.
1)
2)
3)
6.Выберите подходящие АЧХ фильтра, согласованного с прямоугольным радиоимпульсом.
1)
2)
3) 
Определите длительность (в мс) прямоугольного радиоимпульса по АЧХ
согласованного с ним фильтра.
7.
Ответ: 0.4
Определите число периодов
ВЧ заполнения прямоугольного радиоимпульса по АЧХ
согласованного с ним фильтра.
8.
Ответ: 4
Определите длительность (в мс) прямоугольного видеоимпульса по АЧХ согласованного с ним фильтра.
9.Ответ:0.3
10.Выберите подходящие импульсные характеристики фильтров, согласованных с прямоугольным
радиоимпульсом.
1)
2)
3)
11. Выберите подходящие импульсные характеристики фильтров, согласованных с кодом Баркера.
1)
3)
Определите момент максимума реакции СФ tО (в мс) на «свой» сигнал по импульсной характеристике фильтра.
12.Ответ:1
13.Какие фильтры называют согласованными с сигналами?
1)с зеркальной по отношению к сигналу импульсной характеристикой 2)с реакцией на сигнал, совпад. по форме с его корреляционной функцией
3)с передат. функцией, совпадающей с точностью до коэффициента с сопряженной спектральной плотностью амплитуд сигнала
4)обеспечивающий максимум отношения с/м для отсчета реакции в момент t0>=Т для заданного сигнала по отнош. к другим сигналам с равными энергиями
14.Выберите подходящие выражения для передаточной функции - H(jω), АЧХ - H(ω) и ФЧХ - φ(ω) согласованного фильтра.
15.Выберите подходящее выражение для формы отклика согласованного фильтра на «свой» сигнал.
1)
2)
3)совпадает с формой кор. ф с
Определите длительность реакции СФ (в мс) на «свой» сигнал
по импульсной
характеристике фильтра.
16. Ответ 1.4 17. Выберите подходящее выражение для отношения с/ш на выходе согласованного фильтра?
18.Выберите подходящие выражения для передаточной функции, АЧХ и ФЧХ согласованного фильтра
при небелом шуме на его входе?
ЛАБА 23 1 Выберите подходящее назначение фильтра на входе АЦП
1)Борьба с эдайсингом 2)ограничение спектра аналогового сигнала частотой,равной половине частоты дискретизации в АЦП
3)борьба с наложением спектральных «лепестков» дискретизированного сигнала 2 Выберите подходящее назначение АЦП.
1)Преобразование аналогово сигнала в цифровой поток
2)Преобразование аналогово сигнала в последовательность 0 и 1
3)Согласование источника аналогового сигнала с цифровым каналом
4)Дискретизация и квантование аналогового сигнала
3 Выберите подходящее назначение ЦАП
1)согласование цифрового канала с получателем сообщения
2)преобразование сигнала в квантовый сигнал
3)преобразование двоичного сигнала в 2n-ичный квантовый сигнал 4)преобразование кодовых комбинаций(двоичных чисел)в уровни напряжения.
4 Выберите способы уравновешивания аналоговых и образцовых отсчетов в АЦП в порядке возрастания их быстродействия.
1)Последоательное, поразрядное параллельное 2)Последовательное ,параллельное 3)Поразрядное, параллельное
5 Выберите верные соотношения времени преобразования Т и тактового интервала t в n-разрядном АЦП разных типов. 1)с параллельным уравновешиванием T=Дt
2)С поразрядным уравновешивание Т=nДt
6Определите длительность преобразования (мкс) в 8-разрядном АЦП с параллельным уравновешиванием при тактовой частоте 5 МГц.
7Определите длительность преобразования (мкс) в 4-разрядном АЦП с параллельным уравновешиванием при тактовой частоте 200 кГц
8Определите длительность преобразования (мкс) в 6-разрядном АЦП с поразрядным уравновешиванием при тактовой частоте 5 МГц.
9 Определите длительность преобразования (мс) в 14-разрядном АЦП с поразрядным уравновешиванием при тактовой частоте 1 кГц. Ответ 14
10Определите длительность преобразования (мс) в 20-разрядном АЦП с последовательным уравновешиванием при тактовой частоте 100 кГц.
11Определите длительность преобразования (мкс) в 10-разрядном АЦП с последовательным уравновешиванием при тактовой частоте 8 Мгц.
12Определите минимальную тактовую частоту (в кГц) 10-разрядного АЦП с поразрядным уравновешиванием для передачи аналогового сигнала со спектром до 20 кГц по цифровому каналу без помехоустойчивого кодирования.
13Определите минимальную тактовую частоту (в кГц) 8-разрядного АЦП с последовательным уравновешиванием для передачи аналогового сигнала со спектром до 10 кГц по цифровому каналу без помехоустойчивого кодирования.
14Определите минимальную тактовую частоту (в кГц) 8-разрядного АЦП с поразрядным уравновешиванием для передачи аналогового сигнала со спектром до 4 кГц по цифровому каналу с помехоустойчивым кодом (13, 8). Ответ : 13
15 Определите минимальную тактовую частоту (в кГц) 12-разрядного АЦП с поразрядным уравновешиванием для передачи аналогового сигнала со спектром до 10 кГц по цифровому каналу с помехоустойчивым кодом (9, 8).
16 Укажите преимущества цифровой перед аналоговых сигналов.
1)Лучшее противодействие канальным помехам
2)Возможность уменьшения избыточности в сообщениях
3)Возможность использования помехоусточивого кодирования
17Определите дисперсию шума квантования (в мВ2) 8-разрядного АЦП с диапазоном преобразования от -1 до +1 В.
18Определите мощность шума квантования (в мВ2) 10-разрядного АЦП с диапазоном преобразования от -2 до +2 В.
19Укажите верное назначение фильтра на выходе ЦАП.
1)для ограничения ширины спектра сверху
2)Для интерполяции значений сигнала между его отсчетами
3)Для восстановления непрервывного сигнала
20 Определите граничную частоту (в кГц) антиэлайсингового фильтра для 10-разрядного АЦП с длительностью цикла преобразования 10 мкс.
21 Определите граничную частоту (в кГц) антиэлайсингового фильтра для 10-разрядного АЦП с поразрядным уравновешиванием и тактовой частотой 1 Мгц
ответ: 50
22Определите граничную частоту (в кГц) антиэлайсингового фильтра для 8-разрядного АЦП с последовательным уравновешиванием и тактовой частотой 51 Мгц.
23Определите граничную частоту (в кГц) сглаживающего фильтра на выходе 8-разрядного ЦАП при поступлении на его вход цифровых отсчетов с периодом 10 мкс.
24Определите граничную частоту (в кГц) фильтра-восстановителя на выходе ЦАП при использовании 6-разрядного АЦП с поразрядным уравновешиванием и тактовой частотой 12 Мгц.
25Выберите подходящие осциллограммы, относящиеся к АЦП с последовательным уравновешиванием.
26Определите граничную частоту (в кГц) фильтра-восстановителя на выходе ЦАП при использовании 10-разрядного АЦП с последовательным уравновешиванием и тактовой частотой 8 Мгц.
27Выберите подходящие осциллограммы, относящиеся к АЦП с поразрядным уравновешиванием.
28 Выберите подходящие цели включения схемы выборки-хранения на входе АЦП. 1)для обеспечения одинаковых интервалов между отсчетами аналогового сигнала 2)для запоминания значений отсчетов на время их преобразования в цифру 3)для обеспечения постоянства шага дискретизации в АЦП
29 Выберите подходящие осциллограммы сигналов на входе и выходе АЦП.
30 Выберите подходящие осциллограммы сигналов на входе и выходе фильтра-восстановителя.
31Выберите операции над сигналами, необходимые для их передачи по цифровому каналу связи и приема
1)Цифро-аналоговое преобразование |
3)фильтрация |
2)Аналого-цифровое преобразование |
4)квантование |
Лаба 29 1 Укажите триаду битов, соответствующую отсутствующей сигнальной точке