Материал: ОТС КУРСАЧ

Внимание! Если размещение файла нарушает Ваши авторские права, то обязательно сообщите нам

Федеральное государственное образовательное бюджетное

учреждение высшего профессионального образования

«Санкт-Петербургский государственный университет телекоммуникаций

им. проф. М. А. Бонч-Бруевича»

_____________________________________________________________________________

Кафедра

теоретических основ связи и радиотехники

КУРСОВАЯ РАБОТА

учебная дисциплина «Общая теория связи»

Тема: «Расчёт основных характеристик цифровой системы связи

с использованием квадратурной модуляции»

Выполнила: студентка 2 курса,

группы ИКТ-707

Черкасова А.Н.

Номер зачетной книжки: 1705233

Номер выполненного варианта: m=33

Проверила:

Ст.преп. Москалец М.Н.

_____________________

Санкт-Петербург

2019

  1. Структурная схема системы цифровой связи

Входящие в систему цифровой связи функциональные узлы имеют следующие назначения:

1. Источник сообщений (ИС) создаёт реализации a(t) случайного процесса

А(t);

2. Аналого-цифровой преобразователь (АЦП) преобразует аналоговый сигнал от источника сообщения в последовательность его двоичных цифровых отсчётов;

3. Кодер (К) включает в цифровой поток от АЦП дополнительные символы, предназначенные для повышения помехоустойчивости системы связи;

4. Формирователь модулирующих сигналов (ФМС) служит для получения модулирующих сигналов I(t) и Q(t), соответствующих заданному виду модуляции;

5. Перемножители (ПМ1, ПМ2) модулятора - для получения БМ сигналов: синфазного I(t)cos(ωct) и квадратурного Q(t)sin(ωct);

6. Фазовращатель на угол φ=-π/2 модулятора - для получения второго несущего колебания, ортогонального по отношению к первому;

7. Генератор гармонических cos(ωct) колебаний — для получения несущего колебания;

8. Сумматор модулятора - для объединения синфазного и квадратурного сигналов в единый сигнал с квадратурной модуляцией SKAM(t) = I(t)cos(ωct)+Q(t)sinct);

9. Непрерывный канал - среда распространения сигнала SKAM(t);

10. Демодулятор - для анализа приходящего сигнала, искажённого помехами, и принятия решения о переданном сообщении;

11. Преобразователь параллельного кода в последовательный код - для преобразования сигнала с выхода демодулятора в последовательный формат кодовых комбинаций;

12. Декодер (ДК) - для исправления части ошибок, возникших при приёме сообщений вследствие влияния помех;

13. Цифро-аналоговый преобразователь (ЦАП) - для восстановления аналоговой формы сигнала по принятым его цифровым отсчетам;

14. Получатель сообщений (ПС).

  1. Исходные данные для расчета системы цифровой связи

Предельные уровни

аналогового сигнала

, (В)

амин, (В)=0; амакс, (В)=25,6

Верхняя частота спектра

аналогового сигнала

fB=(1+33*10-2)104(Гц)=13300(Гц)

Заданный уровень

квантования

j=500-3*33=401

Спектральная плотность

мощности

флуктуационной

помехи

3*10-7 Гц

– номер тактового

интервала ошибки

k=1

№ вида модуляции

КAМ-16

  1. Расчет системы цифровой связи

3.1 Источник сообщений

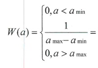
Источник сообщения (ИС) вырабатывает реализации стационарного случайного процесса типа квазибелого шума с параметрами , и . Мгновенные значения сообщения равновероятны в интервале от значения до значения .

Требуется:

  1. Написать аналитические выражения для плотности вероятности мгновенных значений сообщения, функции распределения и построить их графики.

Аналитическое выражение для плотности распределения вероятности случайного процесса a(t) имеет вид:

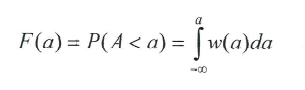
Ф ункция распределения F(a) связана с плотностью распределения интегральным соотношением:

П ри значение функции распределения будет находиться следующим образом:

При значение функции распределения будет находиться как:

Построим графики плотности вероятности и функции распределения

Рис.2. График одномерного закона распределения плотности вероятности мгновенных значений случайного процесса a(t)

Рис.3. График функции распределения F(a)

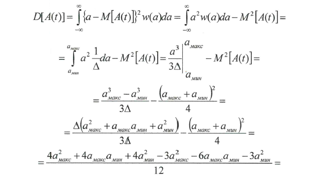
  1. Рассчитать математическое ожидание и дисперсию сообщения .

Найдем математическое ожидание М случайного процесса a(t):

Так как W(a) вне интервала от amin до amax равна 0, то получим:

Найдем дисперсию случайного процесса a(t):

  1. Написать аналитическое выражение для спектральной плотности мощности сообщения и построить график.

Аналитическое выражение для спектральной плотности мощности GA(f) сообщения A(t):

Рис. 4. График спектральной плотности мощности

  1. Найти аналитическое выражение для корреляционной функции сообщения и построить график. По форме графика определить, является ли сообщение эргодическим случайным процессом или не является таковым.

В соответствии с формулой Винера-Хинчина корреляционная функция стационарного случайного процесса определяется по формуле:

Рис.5 График корреляционной функции

По форме графика BA(t) видно, что сообщение A(t) является эргодическим случайным процессом.

3.2 Аналого-цифровой преобразователь (ацп)

Аналого-цифровой преобразователь (АЦП) преобразует реализации аналогового (непрерывного) сообщения в цифровую форму, в поток двоичных символов: нулей и единиц, т. е. в последовательность прямоугольных импульсов, где «0» имеет нулевое напряжение, а «1» – прямоугольный импульс положительной полярности. Амплитуда импульсов равна .

Передача информации от источника осуществляется по дискретной системе связи. Для этого сообщение a(t) в дискретизаторе квантуется по времени и по уровню равномерным шагом. Шаг квантования по уровню Δa=0.05B.

Требуется:

  1. Рассчитать интервал дискретизации для получения непрерывных отсчетов реализации , ,

  1. Рассчитать частоту дискретизации .

  1. Определить число уровней квантования .

  1. Рассчитать мощность шума квантования и сравнить ее с мощностью непрерывного сообщения .

  1. Найти минимальное число двоичных разрядов, требуемое для записи в двоичной форме любого номера из номеров уровней квантования.

  1. Записать k-разрядное двоичное число, соответствующее заданному уровню квантования

3.3 Кодер

Требуется:

  1. Задать следующие параметры сверточного кодера:

степень кодирования ;

длину кодового ограничения ;

векторы связи и ;

  1. Определить и изобразить структурную схему кодера, соответствующую заданным параметрам.

Номер итерации

Входной информационный бит

Состояние регистра сдвига

Сумматор 1

Сумматор 2

Выходные кодовые комбинации

0

-

000

1

1

100

1+0+0=1

1+0=1

11

2

1

110

1+1+0=0

1+0=1

01

3

0

011

0+1+1=0

0+1=1

01

4

0

001

0+0+1=1

0+1=1

11

5

1

100

1+0+0=1

1+0=1

11

6

0

010

0+1+0=1

0+0=0

10

7

0

001

0+0+1=1

0+1=1

11

8

0

000

0+0+0=0

0+0=0

00

9

1

100

1+0+0=1

1+0=1

11