г) риск, связанный с платежеспособностью покупателя;
д) риск форс-мажорных обстоятельств.
Под финансовым понимается риск, возникающий при осуществлении финансового предпринимательства или финансовых сделок, исходя из того, что в финансовом предпринимательстве в роли товара выступают либо валюта, либо ценные бумаги, либо денежные средства. К финансовому риску относятся: валютный риск, кредитный риск, инвестиционный риск. Валютный риск - это вероятность финансовых потерь в результате изменения курса валют, которое может произойти в период между заключением контракта и фактическим производством расчетов по нему. Валютный риск включает в себя три разновидности: экономический риск, риск перевода, риск сделок. Кредитный риск связан с возможностью невыполнения предпринимательской фирмой своих финансовых обязательств перед инвестором в результате использования для финансирования деятельности фирмы внешнего займа.
Инновационный риск - это вероятность потерь, возникающих при вложении предпринимательской фирмой средств в производство новых товаров и услуг, которые, возможно, не найдут ожидаемого спроса на рынке. Инновационный риск возникает в следующих ситуациях:
при внедрении более дешевого метода производства товара или услуги по сравнению с уже использующимися. В данной ситуации фирма сталкивается лишь с одним видом риска - возможной неправильной оценкой спроса на производимый товар;
при создании нового товара или услуги на старом оборудовании. В этом случае к риску неправильной оценки спроса на новый товар или услугу добавляется риск несоответствия качества товара или услуги в связи с использованием старого оборудования;
при производстве нового товара или услуги при помощи новой техники и технологии. В данной ситуации инновационный риск включает в себя: риск того, что новый товар или услуга может не найти покупателя; риск несоответствия нового оборудования и технологии необходимым требованиям для производства нового товара или услуги; риск невозможности продажи созданного оборудования, так как оно не подходит для производства иной продукции, в случае неудачи.
Отраслевой риск - это вероятность потерь в результате изменений в экономическом состоянии отрасли и степенью этих изменений как внутри отрасли, так и по сравнению с другими отраслями. При анализе отраслевого риска необходимо учитывать следующие факторы:
деятельность фирм данной отрасли, а также смежных отраслей за определенный (выбранный) период времени;
насколько деятельность фирм данной отрасли устойчива по сравнению с экономикой страны в целом;
каковы результаты деятельности различных предпринимательских фирм внутри одной и той же отрасли, имеется ли значительное расхождение в результатах.
Безрисковых операций в бизнесе практически не бывает. Поэтому становятся актуальными: (а) умение оценить риск и (б) выбор способов противодействия риску, т. е. выбор стратегии и тактики поведения в отношении потенциально рисковых операций. [11, с. 83]
Любая финансовая операция может быть охарактеризована с позиции дохода и (или) доходности, на которые может рассчитывать лицо, инициировавшее эту операцию. Риск, связанный с операцией, означает вероятность неполучения желаемых или ожидаемых значений целевых показателей. Хотя отклонение фактических значений от ожидаемых может быть любым по знаку. Возможны ситуации, когда фактическое значение дохода (доходности) окажется ниже желаемого значения.
Теоретически можно оценивать вероятность недостижения целевого значения, однако, факторы, влияющие на значение целевого показателя, действуют как в «положительном», т. е. благоприятном, так и в «отрицательном», т. е. неблагоприятном, направлениях. В этих условиях задача оценки легко формализуется следующим образом. Имеется целевое значение некоторого показателя; требуется дать характеристику отклонения возможных фактических значений от этой цели. Из курса статистики известно, что подобную характеристику можно получить с помощью показателей вариации, количественно описывающих вариабельность оцениваемого признака. Таким образом, в приложении к финансовым операциям речь идет об оценке вариабельности ожидаемого дохода (доходности), а в качестве критериев оценки можно использовать такие статистические коэффициенты, как размах вариации, дисперсия, среднее квадратическое отклонение, называемое иногда стандартным, и коэффициент вариации. Дадим краткую характеристику показателям. [11, с. 83]
Рассмотрим ряд статистических величин (это могут быть как абсолютные, так и относительные величины): X1, Х2, Х3, .., Хn.
Размахом вариации называется разность между максимальным и минимальным
значениями признака данного ряда:
R = Хmaх - Xmin (2.20)
Этот показатель имеет много недостатков. Во-первых, он дает грубую оценку степени вариации значений признака. Во-вторых, он является абсолютным показателем и потому его применение в сравнительном анализе весьма ограничено. В-третьих, его величина слишком зависит от крайних значений ранжированного ряда.
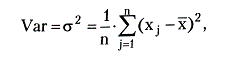
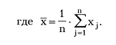
Дисперсия является средним квадратом отклонений значений признака от его
средней и рассчитывается по формуле:

(2.21)
Среднее квадратическое отклонение показывает среднее отклонение значений
варьирующего признака относительно центра распределения, в данном случае средней
арифметической. Этот показатель рассчитывается по формуле:
(2.22)
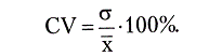
Все вышеприведенные показатели обладают одним общим недостатком - это
абсолютные показатели, значение которых существенно зависит от абсолютных
значений исходного признака ряда. Поэтому большее применение имеет коэффициент
вариации, рассчитываемый по формуле:
(2.23)
В отношении оценки риска финансовых активов необходимо сделать три замечания. Во-первых, как отмечалось выше, количественно риск может оцениваться вариабельностью либо дохода, либо доходности. Поскольку доход в абсолютной оценке может существенно варьировать при сравнительном анализе различных финансовых активов, то принято в качестве базисного показателя, характеризующего результативность операции с финансовым активом, использовать не доход, а доходность. Распространенность и пригодность в сравнительном анализе этих статистик в данном случае объясняется тем обстоятельством, что базисным показателем при расчетах является доходность, т. е. относительный показатель, сопоставимый как в динамике, так и по различным видам активов. Поэтому независимо от анализируемых активов соответствующие им показатели доходности и дисперсии однопорядковы и нет острой необходимости применять в оценке коэффициент вариации. Приведенные формулы рассчитаны на дискретные ряды. В приложении к финансовым активам они могут применяться в ретроспективном анализе. При оценке риска используют модификации формул (2.21) и (2.22), в которых весами значений ожидаемой (или требуемой) доходности являются вероятности их появления.
Оценивая риск, следует иметь в виду, что с течением времени риск, ассоциируемый с данным активом, возрастает. Отсюда можно сделать очень важный вывод: чем более долговременным является данный вид актива, тем он более рискован, тем большая вариация доходности с ним связана. [11, с.84]
Оценка рисков организации является наиболее сложным этапом при построении системы риск-менеджмента. Наиболее рациональным представляется осуществление оценки рисков в следующей последовательности:
. качественная оценка рисков;
. количественная оценка рисков;
. определение толерантности к рискам;
. составление карты рисков.
Как правило, качественная оценка направлена на выявление взаимосвязи основных видов, факторов и причин рисков. Она представляет собой оценку условий и источников возникновения рисков, в ходе которой проводится анализ факторов и выявляются наиболее рискоопасные области с целью определения количественной структуры основных рисков компании.
При анализе факторов следует обратить внимание на сферу их проявления, степень их влияния на достижение поставленных целей, вероятность проявления отдельных факторов риска, а также их взаимосвязь.
Качественная оценка - это более простой способ, но менее точный и надежный. Поэтому по возможности компания должна также использовать количественное измерение степени влияния рисков, которое проводится на основе их качественного анализа и состоит в определении численных величин отдельных видов риска и риска деятельности организации в целом.
Выбор того или иного метода зависит от различных факторов, в частности, от вида оцениваемого риска, от того, с какой позиции рассматриваются сущность риска, его влияние на результаты деятельности предприятия, от наличия возможности получения исходной информации и ее объема. В зависимости от полноты используемой информации методы оценки рисков можно объединить в три группы с учетом следующих условий:
определенности, когда в наличии имеется полная информация о рисковой ситуации (например, в виде бухгалтерской отчетности);
частичной неопределенности, когда информация существует в виде частот наступления рисковых событий;
полной неопределенности, когда информация о выявленных рисках полностью отсутствует.
В первом случае используют расчетно-аналитические методы оценки рисков (абсолютные, относительные и средние показатели); во втором - экономико-статистические и вероятностные (модель Марковица, точечная и интервальная оценка показателей, метод VaR, метод Risk Metrics, анализ сценариев развития событий: метод «дерево решений» и метод «Монте-Карло»), а также рейтинговые и аналоговые методы; в третьем - рейтинговые, аналоговые и экспертные (индивидуальная экспертная оценка, коллективная экспертная оценка: метод «мозговой атаки», метод Дельфи и т.д.). В завершении должно быть произведено разделение рисков на существенные риски, реализация которых может повлечь за собой серьезные последствия (как отрицательные, так и положительные) для компании, и несущественные, которые также принимаются во внимание и подлежат пересмотру в следующем цикле процесса риск-менеджмента, но на данном этапе не оказывают принципиального влияния на финансовое благосостояние организации.
После проведения качественной и количественной оценки рисков, следует определить допустимый размер рисков, к которому компания готова на данном этапе своего развития, то есть уровень толерантности. В практической деятельности уровень толерантности к рискам часто определяют как некую фиксированную сумму, в пределах которой компания готова рисковать (например, в фиксированном процентном отношении к плановому показателю операционной прибыли на текущий год, в размере отведенной под это величины резервов и т.п.).
Выявленные и оцененные риски компании следует наносить на карту рисков. На практике она обычно строится на основании таких параметров, как вероятность воздействия рисков и величина потерь (ущерба) в абсолютном или относительном выражении. Она делится на несколько областей таким образом, что риски, попадающие в одну область, являются одинаково опасными для компании. Основное значение карты рисков заключается в их расположении по отношению к границам толерантности. В результате этого разрабатывается стратегия и конкретный план действий по переводу рисков из зон умеренного и катастрофического рисков в допустимую зону, что является одним из основных условий повышения стабильности и эффективности деятельности организации. [7]
Для предпринимателя важно знать действительную стоимость риска, которому подвергается его деятельность. Под стоимостью риска следует понимать фактические убытки предпринимателя, затраты на снижение величины убытков или затраты по возмещению убытков и их последствий. Правильная оценка риск-менеджером действительной стоимости риска позволяет ему объективно представить объем убытков и наметить путь по их уменьшению. [10]
Затраты на покрытие ущерба делятся на прямые и косвенные. Прямые затраты легко оценить. К ним относятся затраты на ремонт поврежденного имущества, выплаты за ущерб третьим лицам. Косвенные затраты оценить труднее. Они включают в себя потерю имиджа, потери из-за брака, затраты, связанные с ухудшением здоровья персонала, потери из-за прерывания деловой активности. Потери, которые может понести компания при попадании в негативную ситуацию:
экономические;
потеря репутации;
потери времени.
Для проведения оценки рисков необходимо провести описание рисков. Для этого многими экспертами рекомендуется карта риска - графическое и текстовое описание рисков организации. Карта рисков делает их очевидными, позволяет оценить ситуацию и принять решение. С ее помощью легко можно найти путь достижения целей бизнеса с наименьшим риском. [10, с.23]
Одним из вариантов построения карты рисков является матрица
"вероятность - потери". Наиболее распространенной является матрица
размером 5x5 (то есть состоящая из 5 ячеек вероятности и 5 ячеек потери). По
одной оси указывают силу воздействия риска (ущерб от него), а по другой -
вероятность возникновения. Арабские цифры на карте обозначают риски, которые
были классифицированы по пяти категориям значимости и пяти категориям
вероятности. Выявленный риск размещается в специальную отдельную ячейку.
Каждому интервалу на шкале вероятностей и шкале потерь присваивается значение в
баллах от 1 до 5 на основании Таблицы 1.
Таблица 1 - Классификация рисков по вероятности возникновения
|
Виды рисков |
Вероятность возникновения (P) |
||
|
|
Количественный подход |
Качественный подход |
|
|
|
Pq (баллы) |
P (в долях единицы) |
|
|
Слабовероятные |
1 |
0,0 < P <= 0,1 |
Событие может произойти в исключительных случаях |
|
Маловероятные |
2 |
0,1 < P <= 0,4 |
Редкое событие, но, как известно, уже имело место |
|
Вероятные |
3 |
0,4 < P <= 0,6 |
Наличие свидетельств, достаточных для предположения возможности события |
|
Почти возможные |
4 |
0,6 < P <= 0,9 |
Событие может произойти |
|
Возможные |
5 |
0,9 < P < 1,0 |
Событие, как ожидается, произойдет |
Например, вероятность воздействия риска нарушения графиков поставок сырья
при строительстве была оценена экспертами в 0,9 балла. На основании таблицы 1
данному интервалу вероятности (0,9 < P < 1,0) соответствует 5 баллов.
Аналогично оцениваются и потери. Возможные потери более 90% от плановой прибыли
оцениваются в 5 баллов, а, например, потери от 40% до 60% плановой прибыли по
объекту оцениваются в 3 балла. В этом случае прибегают к Таблице 2. Допустим,
возможные потери были оценены экспертами в 80% от плановой прибыли (что
соответствует 4 баллам).
Таблица 2 - Классификация рисков по величине потерь
|
Виды рисков |
Величина потерь |
|
|
|
I (балл) |
в % от плановой прибыли |
|
Минимальные |
1 |
0% < I <= 10% |
|
Низкие |
2 |
10% < I <= 40% |
|
Средние |
3 |
40% < I <= 60% |
|
Высокие |
4 |
60% < I <= 90% |
|
Максимальные |
5 |
90% < I <= 100% |
Таким образом, для каждого риска определяется величина возможных потерь и вероятность возникновения в баллах, которые обозначают соответствующую строку и столбец в матрице.
На их пересечении получаем ячейку с индексом риска (Ir).
Другое его название - ранг риска. Он определяется по формуле:
Ir = P x I
Для предыдущего примера риск нарушения графиков поставок сырья классифицируется как возможный риск (P = 5 баллов), ожидаемая величина потерь (I = 4 балла). Следовательно, индекс риска будет равен: Ir = 20.