Материал: организация приготовления блюд из птицы

Внимание! Если размещение файла нарушает Ваши авторские права, то обязательно сообщите нам

         В связи с возрастающей занятостью населения и отсутствием времени на приготовление пищи с каждым годом растет спрос на полуфабрикаты из мяса птицы, максимально подготовленные к тепловой обработке. Увеличивающийся спрос населения на такие полуфабрикаты производители должны обеспечивать ростом объемов их производства и расширением ассортимента. Птицеперерабатывающая отрасль нашей страны освоила и производит широкий ассортимент полуфабрикатов, но конъюнктура российского рынка требует более широкого и разнообразного ассортимента мясной продукции. В условиях глобализации рынка сбыта производство мясных продуктов постоянно совершенствуется. Обеспечение комплексного и рационального использования сырья достигается при выработке широкого ассортимента полуфабрикатов. Одним из путей увеличения производства данного вида продуктов является комплексная переработка мяса птицы: расчленение тушек на части в соответствии с их пищевыми достоинствами и гастрономическим назначением. Особенности такой технологии заключаются в том, что сырьем в основном являются тушки кур и цыплят-бройлеров, имеющие относительно небольшую массу [1, 3, 8].

         Из множества возможных схем разделки тушек птицы (Рисунок 1) наиболее целесообразной является анатомическая разделка, когда от тушки отделяются ее части по строго контролируемым точкам и линиям, что обусловливает более стабильный состав частей. Как известно, большую долю массы тушек всех видов птицы составляют грудки (от 25,4 до 32,6 %) и окорочка (от 25,0 до 33,7 %), доля спинно-лопаточных и пояснично крестцовых частей составляет от 23,4 до 33,6 % [2].

Рисунок 1– Технологическая схема разделки и обвалки тушек птицы

         Убрать мышечную ткань возможно только при больших затратах ручного труда, что экономически невыгодно. Особенности строения состава учтены при разработке технологий, ассортимента и схем расчленения тушек птицы. По составу окорочка (голень, бедро), задние четвертины, крылья (части крыльев), филе, бескостные окорочка являются полуфабрикатами для приготовления вторых блюд, а спинно-лопаточная и пояснично-крестцовая части тушек – для первых блюд.

         В зависимости от технологии изготовления полуфабрикаты из мяса (пищевых субпродуктов) птицы подразделяют:

– на натуральные;

– рубленые.

         Натуральные:

– тушки, части тушек и пищевых субпродуктов птицы;

– кусковые (бескостные и мясокостные);

– фаршированные;

– в оболочке.

         Рубленые:

– формованные;

– в оболочке.

         Полуфабрикаты натуральные и формованные могут быть в панировке / или без нее, обсыпке / или без нее, маринаде / или без него [5, 6].

         Натуральные полуфабрикаты. К ним относятся следующие продукты, получаемые при разделке тушек по анатомическому строению: грудка, филе, окорок, бедрышко, ножка и крылышки. Подобную разделку, при которой используется полностью вся тушка, можно осуществлять вручную или при помощи дисковой пилы. Также всю тушку можно использовать и при более глубокой разделке взрослой птицы, у которой бедренная часть имеет жесткое мясо. При такой разделке предусматривается не только выделение анатомически разделанных частей тушки, но и получение фарша и мяса механической обвалки. В последнее время заслуженную популярность среди потребителей приобрели анатомически разделанные полуфабрикаты, выработанные в различных видах панировки и кляра, подвергнутые предварительномуинъецированию сложными многокомпонентными рассолами. Этот способ производства полуфабрикатов безусловно выгоден и для производите лей, поскольку заметно снижается себестоимость конечного продукта, но вместе с тем нужно иметь соответствующее оборудование[7, 9].


Таблица 1 – Показатели хранения и термического состояния сырья

Вид сырья

Температура в толще продукта, °С

Срок хранения

охлажденное

0-2

не более суток

подмороженное

минус (2,5±0,5)

не более 5 суток

замороженное

не выше минус 8

не более одного месяца


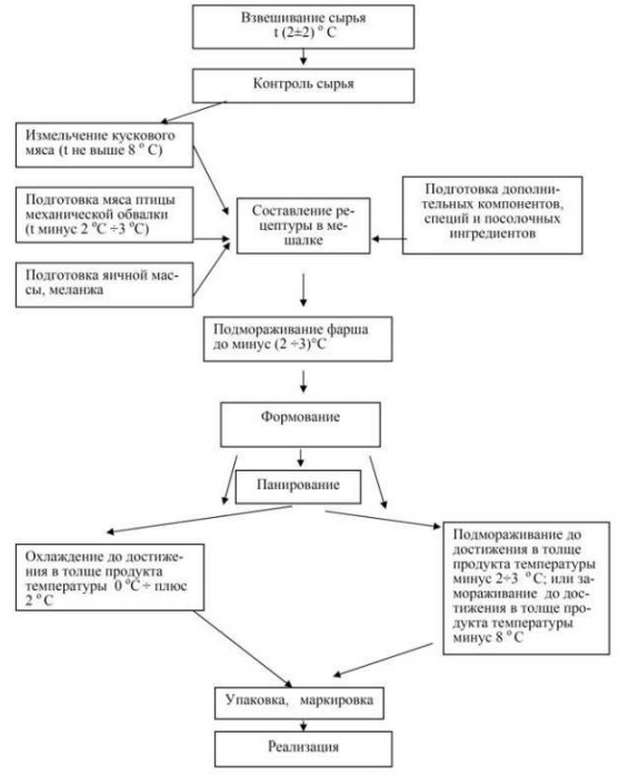
         Полуфабрикаты должны соответствовать требованиям настоящего стандарта, документу на полуфабрикаты конкретного наименования, в соответствии с которым они изготовлены, вырабатываться по технологической инструкции, регламентирующей технологический процесс производства, с соблюдением определенных требований, которые действуют на территории государства, принявшего стандарт. На рисунках 2, 3 приведены технологии производства полуфабрикатов из мяса цыплят-бройлеров.

Рисунок 2 –Технологическая схема производства натуральных бескостных (непанированныхи панированных) полуфабрикатов

Рисунок 3 – Технологическая схема производства рубленых полуфабрикатов

         Подведя итог, можно добавить, что в современной пищевой индустрии огромный сегмент рынка расположилось на производство быстрозамороженных полуфабрикатов. Это направление курсирует вопросы рационального использования сырья, организаций питания людей, сокращения затрат труда и времени. В последнее десятилетие рынок полуфабрикатов характеризуется активным развитием, а потому является наиболее перспективным. Таким образом, преимуществом является и то что, облегчение и уменьшение работы заготовочных цехов, сокращение времени, необходимое для приготовления горячего блюда или закуски и увеличение пропускной способности предприятия.

         Мясокомбинаты вырабатывают полуфабрикаты в условиях, гарантирующих свежесть, доброкачественность, стерильность и гигиеничность продуктов. Использование только необходимых частей мяса, которые соответствуют вырабатываемому полуфабрикату по структуре ткани, упитанности, позволяет выстраивать технологии изготовления и рецептуры. Разработка данного вида продуктов является востребованной, поскольку разрабатываемые продукты являются функциональными, обогащенными пищевыми волокнами [7, 9, 10].

1.3. Классификация, ассортимент сложных горячих блюд из сельскохозяйственной (домашней) птицы

         Для вторых блюд чаще отваривают кур и цыплят, гуся.

         Тушки кур, цыплят и индеек, заправленные «в кармашек», «в одну» или «в две нитки», закладывают в горячую воду (2,5 л на 1 кг), быстро доводят до кипения, удаляют пену, добавляют коренья, лук, соль и варят при слабом кипении.

         Готовность тушки определяют проколом поварской иглы в толстую часть ножки (игла должна свободно проходить).

         Дичь для вторых блюд варят редко. Обычно отварная дичь используется при изготовлении салатов и других холодных закусок.

         Готовую птицу вынимают из бульона и охлаждают. По мере спроса их нарубают на порции и прогревают в бульоне.

         Припускают в основном изделия из котлетной и кнельной массы, филе кур и дичи, а также цыплят.

         Изделия из котлетной массы укладывают в один ряд в сотейник, дно которого смазано маслом, и наливают горячий бульон так; чтобы он покрывал изделия на 1/3-1/4 высоты. Посуду накрывают крышкой.

         Филе кур или дичи припускают в сотейнике, солят, сбрызгивают поверхность лимонным соком, чтобы цвет мяса был белым, наливают бульон так, чтобы он прикрыл филе на 1/3-1/4 высоты, и припускают на слабом огне.

         Цыплят и молодых кур укладывают в посуду под углом 45 °С к плоскости дна, на дно посуды кладут нарезанные ароматические овощи и лук, заливают бульоном и сухим вином на 1/3 - 1/4 высоты птицы. После этого птицу солят, посуду накрывают крышкой и припускают до готовности.

         Полученный при припускании бульон используют для приготовления соусов.

         Курица отварная под белым соусом с рисом. Отварить курицу с добавлением шампиньонов. На курином бульоне, оставшемся после варки птицы, готовят белый соус или белый соус с яичными желтками. При подаче на блюдо кладут порцию горячей курицы или цыпленка, рядом гарнир — кашу рисовую рассыпчатую, сваренную на бульоне (рис припущенный), вареные стручки фасоли или лапшу кулинарного приготовления, нарезанную в форме ромбиков, заправленные маслом. Полить курицу белым соусом или белым соусом с яичными желтками. При подаче украсить листиком салата или веточкой зелени петрушки. Так же можно приготовить цыпленка и индейку.

         Цыплята или дичь под паровым соусом с грибами.

         Цыплят, молодых кур припускают вместе с шампиньонами. Сухие грибы замачивают и варят отдельно. Порционные куски птицы укладывают на блюдо, гарнируют припущенным рисом, поливают растопленным маслом, кладут сверху нее шампиньоны или отварные белые грибы и поливают соусом паровым, украшают зеленью. Блюдо можно подавать с соусом эстрагон.

         Котлеты натуральные из птицы или дичи под соусом паровым с грибами. Подготовленное филе с крыльевой косточкой или без нее (котлета натуральная) припускают с добавлением сливочного масла или лимонного сока, шампиньонов или белых грибов. При отпуске котлету кладут на крутон, сверху укладывают ломтики грибов и поливают соусом паровым или белым с яйцом. Рядом располагают гарнир.

         Курица, припущенная с белым вином. На дно посуды положить нарезанные петрушку, сельдерей, пастернак и лук, на них поместить сырых кур, добавить бульон, сваренный из костей кур, отвар шампиньонов, белое вино и соль. Жидкость должна покрывать птицу на 1/3 или 1/4 высоты, в зависимости от возраста птицы.

         Припускать птицу в закрытой посуде. На бульоне, в котором припускалась птица, приготовить соус паровой. При подаче курицу нарезать на порции, положить на блюдо и полить соусом. На гарнир можно подать припущенный рис или стручки фасоли. Так же можно приготовить цыпленка.

         Курица фаршированная. На кожу, снятую с кур (молодых) и разложенную на влажной салфетке или марле, положить приготовленный фарш, разровнять его, завернуть в форме рулета или сформовать в виде тушки; изделие перевязать вместе с салфеткой или марлей и положить в посуду. Припускать курицу в небольшом количестве бульона в закрытой посуде. Порцию курицы (2-3 куска) положить на блюдо, загарнировать припущенным рисом, стручками фасоли, горошком или одним из сложных гарниров, полить курицу белым соусом с яичными желтками.

         Фаршированную курицу можно после припусканияобжарить, полить соком или красным соусом с мадерой. Для фарша: мякоть курицы нарезать на куски, пропустить через мясорубку, добавить мякиш белого хлеба, размоченный в молоке или сливках, и пропустить еще раз через мясорубку с частой решеткой или протирочную машину. В измельченную массу добавить размягченное масло, сырое яйцо, молоко, соль, перец, мускатный орех и перемешать. В фарш можно также положить фисташки и шампиньоны, нарезанные кубиками, или трюфели 10-12 г.

         Фарш: на 850 г мяса куриного — хлеб — 100 г, молоко или сливки — 250 г, масло сливочное — 100 г, яйцо — 1 шт., грибы — 100—120 г, мускатный орех.

         Блюда из жареной птицы

         Для вторых блюд жарят домашнюю птицу тушками и порционными кусками. Заправленные тушки крупной домашней птицы (индейки, гуси и утки) солят и укладывают на противень спинкой вниз. Поверхность тушек индеек в процессе обжаривания в жарочном шкафу поливают растопленным жиром, а жирных гусей и уток — горячей водой и доводят до готовности в жарочном шкафу.

         Старых кур, гусей и уток перед жареньем отваривают до полуготовности.

         Заправленные тушки цыплят солят, смазывают сметаной, кладут на сковороду с разогретым жиром и обжаривают до образования поджаристой корочки. После обжаривания тушки переворачивают на спинку, ставят в жарочный шкаф и доводят до готовности. Во время жаренья тушки периодически переворачивают и поливают жиром и соком, в котором они жарятся. Готовые тушки нарубают непосредственно перед отпуском. Для этого тушку нарубают вдоль, каждую половинку делят на филе и ножки и рубят на равное число кусков. Из тушки крупной птицы вырубают позвоночную кость.

         При отпуске жареную птицу гарнируют жареным картофелем, поливают растопленным сливочным маслом с мясным соком. Дополнительно на гарнир подают в салатниках или пирожковых тарелках зеленые салаты, салаты из красной и белокочанной капусты, соленые и маринованные фрукты и ягоды, брусничное и черносмородиновое варенье. К гусю и утке подают тушеную капусту и печеные яблоки.

         Изделия из птицы порционными кусками натуральные или панированные обжаривают на сковороде с разогретым жиром с обеих сторон до образования золотистой корочки и доводят до готовности в жарочном шкафу.

         Мясо домашней птицы можно запекать. Все продукты, входящие в состав запекаемых блюд, предварительно подвергаются тепловой обработке (жаренью, тушению, варке, припусканию) до готовности. Запекать блюда можно в порционных сковородах, металлических формочках, корзиночках и валованах, выпеченных из слоеного или сдобного теста. Готовые запеченные блюда не следует хранить, так как их внешний вид и вкусовые качества ухудшаются.

         Рубленые изделия из птицы жарят на сковороде с разогретым жиром и доводят до готовности в жарочном шкафу. Котлетную массу готовят из мяса кур, индеек, гуся, утки. При изготовлении котлетной массы из тушек дичи используют только филе. Котлетную массу готовят так же, как мясную, но добавляют в фарш сливочное масло. Из котлетной массы формуют котлеты и биточки, которые жарят, припускают и запекают под молочным соусом.

         Птица жареная. Жарят птицу как описано выше. При отпуске порционные куски птицы укладывают на блюдо, поливают растопленным маслом; на гарнир - жареный картофель или припущенный рис. Дополнительно укладывают на блюдо салат из белокочанной и краснокочанной капусты, маринованные фрукты, свежие огурцы, помидоры. К гусю и утке лучше подавать капусту тушеную и печеные яблоки.

         Дичь жареная. Готовят и отпускают так же, как птицу жареную. Исключение составляет мелкая дичь (вальдшнеп, дупель, бекас, перепел, чирок). Филейную часть мелкой дичи перед жареньем закрывают тонким ломтиком шпига и перевязывают ниткой. Подготовленную тушку дичи солят, кладут в сотейник с разогретым маслом спинкой вниз и обжаривают со всех сторон, а затем доводят до готовности в жарочном шкафу. С готовой дичи удаляют нитки и снимают шпик, а филейную часть обжаривают до румяной корочки. При отпуске кладут на блюдо поджаренный ломтик пшеничного хлеба, смазанный паштетом, а на него — жареную дичь и поливают сливочным маслом, на котором дичь жарилась. На гарнир к дичи отдельно подают свежие или маринованные фрукты и ягоды.

         Куриное филе и филе дичи, жаренные в сухарях.

         Филе, зачищенное от пленок и сухожилий, смачивают в яйце, панируют в белой панировке. Обжаривают с обеих сторон на сковородке с разогретым жиром до образования.золотистой корочки и доводят до готовности в жарочном шкафу. При подаче на блюдо кладут гренок из хлеба, поджаренный на масле или выпеченный из слоеного теста, а на него готовое филе. Рядом укладывают гарнир — картофель жареный фри, соломкой, припущенную морковь и корзиночки из сдобного теста с зеленым горошком и белыми грибами или шампиньонами в сметане. Филе поливают сливочным маслом. Украшают блюдо листиками зеленого салата или веточками петрушки, на косточку надевают папильотку.

         Котлеты из филе птицы и дичи фаршированные.

         Подготовленные полуфабрикаты котлет из филе птицы и дичи, фаршированные грибами с молочным соусом или печенью, жарят во фритюре и доводят до готовности в жарочном шкафу в течение 3-4 мин.