Таблица 13.2. Исходный вариант
|
Вторая цифра варианта |
2 вариант |
|||||||||||
|
|
Расход металла, кг |
Цена металла, руб. |
Зарплата на 1 шт., руб. |
Расход энергии на 1 шт., руб. |
Годовые затраты на оснастку, тыс. руб. |
|||||||
|
|
|
|
по литейному цеху |
по механическому цеху |
|
|
||||||
|
0 |
5 |
0,89 |
- |
0,2 |
0,26 |
80 |
||||||
|
1 |
5,5 |
0,98 |
0,18 |
0,22 |
0,29 |
88,00 |
||||||
|
2 |
6,05 |
1,08 |
0,2 |
0,24 |
0,31 |
96,80 |
6,66 |
1,18 |
- |
0,27 |
0,35 |
106,48 |
|
4 |
7,32 |
1,30 |
0,21 |
0,29 |
0,38 |
117,13 |
||||||
|
5 |
8,05 |
1,43 |
- |
0,32 |
0,42 |
128,84 |
||||||
|
6 |
8,86 |
1,58 |
0,22 |
0,35 |
0,46 |
141,72 |
||||||
|
7 |
9,74 |
1,73 |
- |
0,39 |
0,51 |
155,90 |
||||||
|
8 |
10,72 |
1,91 |
0,23 |
0,43 |
0,56 |
171,49 |
||||||
|
9 |
11,79 |
2,10 |
- |
0,47 |
0,61 |
188,64 |
||||||
По заданию имеется два варианта технологического
процесса. зависимость технологической себестоимости от объема производства
записана уравнением:
С1=а1N+b1
С2=а2N+b2 Причем b2<b1 и a2<a1.
где а - постоянные затраты на единицу продукции;
Для ковкого чугуна (1 вар):
а лит цех =5,06*2,34 + 0,16 + 0,45 + 66,55 = 79
а мех цех =5,06*2,34 + 0,04 + 0,45 + 66,55 = 73,99
а1= 79 + 73,99 = 153
N - объем производства продукции; N =1000 шт.
Косвенные расходы К1лит = 0,16*140%= 0,224
К1мех = 0,04*200%= 0,08
b - постоянные затраты на весь выпуск продукции.
b1 = 1000*(74,11+73,99+0,224+0,08)= 148404 руб.
Для прутка углеродистой стали (2 вар):
а мех цех =6,65*1,18 + 0,27 + 0,35 + 106,48 = 114,94
N - объем производства продукции; N =1000 шт.
Косвенные расходы К2мех = 0,27*200%= 0,54
b - постоянные затраты на весь выпуск продукции.
b1 = 1000*(114,94+0,54)= 115487 руб.
Определим зависимость технологической себестоимости от объема производства:
С1=а1N+b1 = 153*1000 + 148404 = 301404
С2=а2N+b2 = 114,94*1000 + 115487 = 230427
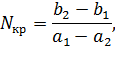
Существует такой объем производства, при котором
себестоимость продукции по вариантам одинаковая, т.е. С1=С2.
а1×N+b1= а2×N+b2,×(a1-a2)=b2-b1,
где Nкр - критическая программа производства, при которой варианты экономически однозначны.
*N + 148404 = 114,94*N + 115487N = 864.87 шт.
Можно представить и графическое решение:
Оптимальное количество выпуска N = 864.87 шт.