Материал: Организация исполнения управленческих решений на предприятии

Внимание! Если размещение файла нарушает Ваши авторские права, то обязательно сообщите нам

Основные правила обеспечения сопоставимости альтернативных вариантов управленческого решения:

количество альтернативных вариантов должно быть не менее
трех;

в качестве базового варианта решения должен приниматься
наиболее новый по времени вариант решения. Остальные альтернативные варианты приводятся к базовому при помощи корректирующих коэффициентов;

формирование альтернативных вариантов должно осуществляться на основе условий обеспечения высокого качества и эффективности управленческого решения;

для сокращения времени, повышения качества решения и снижения затрат рекомендуется шире применять методы кодировании и современные технические средства информационного обеспечения процесса принятия решения.

1.2 Организация и контроль выполнения решений

Организовать выполнение решения - задача не из легких, требующая знания людей, их возможностей, сил, средств и методов исполнения.

Организация выполнения решений - это специфическая деятельность руководителя, завершающая управленческий цикл. И если на этапе подготовки и принятия решения руководитель оперирует идеальными отображениями предметов и явлений, то в процессе организации исполнения решения он сталкивается с реальной ситуацией, которая чаще всего отличается от идеальной.

Недостаточно опытный руководитель, мысленно оперирующий вещами и событиями, привыкает к легкости манипулирования идеальными представлениями и неосознанно допускает свободную манеру обращения с реальными ситуациями. В результате такого менеджмента принимаемые решения оказываются непосильными и на практике не выполняются. Здесь следует учитывать, что руководитель организует не свою собственную деятельность, а труд других людей.

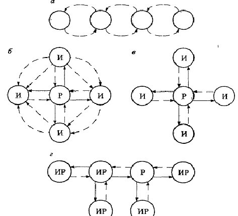
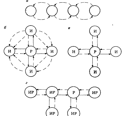
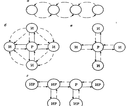
Рис. 1.1 - Цепочная структура коммуникаций, отношения координации ярко выраженное командное действие

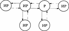
Рис. 1.2 - Многосвязная структура коммуникаций И - исполнитель, Р - руководитель

Это суть две разные вещи, ибо организацию выполнения решений также нужно организовывать. Исполнители должны получить четкую информацию о том, кто, где, когда и какими средствами должен осуществлять действия, соответствующие принятому решению. Необходимо разработать план его реализации, которым предусматривается система мер, обеспечивающих достижение целей решения с минимальными издержками. Одним из механизмов, обеспечивающих успешное выполнение решений, является установление и структуризация коммуникаций в фирме. Задача состоит в оптимальном построении структуры коммуникаций управленческих работников и исполнителей.

Структуры таких коммуникационных сетей могут быть различными, а связи между передающей стороной (коммутатором-руководителем) и воспроизводящей стороной (исполнителем) могут существенно различаться. В связи с этим можно выделить наиболее часто встречающиеся в организации коммуникации: цепочную, многосвязную, звездную и иерархическую. При цепочной структуре коммуникаций (рис. 1.1.) решение, передаваемое с одного конца на другой, становится известно всем исполнителям и всеми обсуждается. Все связи в такой коммуникации одинаковы, а командный стиль руководства отсутствует. Такая структура взаимоотношений распадается, если нарушается связь между двумя участниками коммуникации.

В многосвязной структуре коммуникаций (рис. 1.2.) все ее участники связаны между собой. Ее отличает достаточная устойчивость и скорость передачи информации. Отношения командования ярко выражены. В практике управления наиболее часто встречается на уровне первичного коллектива.

Рис. 1.3 - Звездная структура коммуникации

В звездной структуре коммуникаций (рис. 1.3.) ярко выражен "коммутатор-руководитель", через которого передаются все задачи. Все связи замыкаются на нем (Р). Устойчивость и скорость передачи информации невысокие.

Рис 1.4 - Иерархическая структура коммуникации

Для иерархической структуры коммуникаций (рис. 1.4.) характерны ярко выраженные командные отношения. Промежуточные ступени одновременно являются и подчиненными и командными.

Организационно-управленческие решения оформляют в виде приказа или распоряжения, после чего они приобретают силу закона. Однако великое множество решений мигрируют в организации в виде устных указаний, заданий, пожеланий и т.п. управляющих директив. Главная задача менеджера и состоит в том, чтобы организовать исполнение такого решения, обеспечить координацию и контроль выполнения.

Эффективность управленческих решений - это 1) совокупность показателей, свидетельствующая о достижении целей организации, получении определенных результатов в ее деятельности; 2) основной результат деятельности управляющих по преобразованию системы управления и процессов, происходящих в организации.

Эффективность управленческих решений определяется тремя основными группами показателей деятельности организации:

) Показатели экономической эффективности:

прибыль;

выручка от реализации;

доходность;

себестоимость;

рентабельность;

ликвидность;

управленческие затраты.

) Показатели качества и результативности труда:

качество продукции или услуги;

производительность труда;

соотношение темпов роста производительности труда и заработной платы;

фонд оплаты труда (ФОТ);

средняя заработная плата;

потери рабочего времени на 1 работника (чел.-дни);

качество труда персонала (баллы или %).

) Показатели социальной эффективности:

текучесть персонала (отношение числа уволенных работников к общей численности персонала),

уровень трудовой дисциплины (отношение числа случаев нарушения трудовой и исполнительской дисциплины к общей численности персонала),

соотношение управленческого персонала, рабочих и служащих,

равномерность загрузки персонала,

коэффициент трудового участия (КТУ) или вклада (КТВ)

социально-психологический климат в коллективе.

Таким образом, организация исполнения решений немыслима без контроля.

Контроль исполнения решений является заключительной (завершающей) стадией управленческого цикла. Он принимает форму обратной связи, посредством которой можно получить информацию об исполнении решения, достижении организацией поставленных целей.

Главное назначение контроля состоит в своевременном обнаружении возможных отклонений от заданной программы реализации решения, а также своевременное принятие мер по их ликвидации. В процессе контроля первоначальные цели организации могут модифицироваться, уточняться и изменяться с учетом полученной дополнительной информации о выполнении принятых решений. Т.е. основная задача контроля состоит в том, чтобы своевременно выявить и спрогнозировать ожидаемые отклонения от заданной программы реализации управленческих решений.

С помощью контроля не только выявляются отклонения от заданий, сформулированных в решениях, но и определяются причины этих отклонений. Выделяются и другие функции контроля за исполнением принятых решений.

Диагностическая. Главная, ведущая функция контроля - кто бы что ни проверял, какие бы задачи ни ставились, в любом случае сначала нужно четко представить себе подлинное состояние дел, т.е. поставить диагноз.

Обратная связь при контроле за выполнением поставленных задач позволяет руководителю не выпускать из рук бразды правления, дает ему возможность оказывать влияние на ход работы.

Ориентирующая функция контроля проявляется в том, что те вопросы, которые чаще всего контролируются начальником, приобретают особое значение в сознании исполнителей, направляют их усилия в первую очередь на объект повышенного внимания руководителя. Вопросы, выпадающие из поля зрения руководителя, зачастую не решаются подчиненными.[15,с.109]

Если ориентирующая функция контроля при умелом руководстве позволяет менеджеру держать работы в поле зрения, то стимулирующая функция нацелена на выполнение и вовлечение в процесс труда всех неиспользованных резервов.

Корректирующая функция связана с теми уточнениями, которые вносятся в решения на основе материалов контроля. Здесь складывается сложная психологическая ситуация: руководитель полагает, что он проверяет работу подчиненного, на самом же деле последний уже проверил на практике эффективность решения руководителя. Иными словами, контроль уже, можно сказать, состоялся, причем по самому надежному критерию - по соответствию принятого решения практике.

Педагогическая функция. Контроль, если он построен умело, побуждает исполнителей к добросовестному труду.

В практике управления организацией применяются три основные разновидности контроля:

предварительный - предшествует принятию окончательного решения. Его цель - дать более глубокое обоснование принимаемому решению;

текущий - с его помощью вносятся коррективы в процесс исполнения принятых решений;

последующий - служит для проверки эффективности принятия решений.

Таким образом, контроль является объективной необходимостью, так как даже самые оптимальные планы не могут быть реализованы, если их не довести до исполнителей и за их исполнением не наладить объективный и постоянный контроль.

В заключение данной главы хотелось бы отметить:

Решение - это выбор альтернативы.

Принятие решений - это интегрированная часть управления организации любого рода.

Сущность управленческого решения может быть рассмотрена в экономическом, организационном, социальном, правовом и технологическом аспектах.

Как свидетельствуют опросы руководителей в деловых организациях, лишь 20-25% затрат их рабочего времени уходит на непосредственное принятие решений в явном виде. Хронометраж рабочего времени руководителей, сделанный специалистами по организационному поведению, показывает, что эти действия занимают даже меньшую долю: в среднем 10-15% их общего рабочего времени.

На самом деле собственно выбор решений может занимать доли секунды, однако все процессы, взаимосвязи, действия, связанные с ним, заставляют расширять границы процесса принятия решений.

2. АНАЛИЗ ОРГАНИЗАЦИИ ИСПОЛНЕНИЯ УПРАВЛЕНЧЕСКИХ РЕШЕНИЙ НА ПРЕДПРИЯТИИ ООО «Шапчицы-Агро»

.1 Организационно-экономическая характеристика предприятия ООО «Шапчицы-Агро»

Колхоз «Советская Белоруссия» организован в 1930 году. В 1946 году произошло объединение колхозов «Пролетарска перамога», «Советская Белоруссия», «им.Калинина», «Новая Слободка» в колхоз «Слободской». На основании решения Минского областного решения Минского областного исполнительного комитета от 16 июля 2003 года № 537 колхоз «Слободской» преобразован в сельскохозяйственный кооператив «Шапчицы». На основании Указа Президента Республики Беларусь от 14 июня 2004 года № 280 и решения областного комитета от 28 августа 2004 года № 832 СПК «Шапчицы» преоборазован в Общество с Ограниченной Ответственностью «ШАПЧИЦЫ-АГРО», решением Минского областного исполнительного комитета № 710 от 30 июля 2004 года.

Общество с Ограниченной Ответственностью «ШАПЧИЦЫ-АГРО» является коммерческой организацией.

Форма собственности - частная.

Краткое наименование на русском языке - ООО «ШАПЧИЦЫ-АГРО».

Юридический адрес: 222932 Республика Беларусь, Минская область, Стародорожский район, деревня Шапчицы, ул. Коммунистическая 1.

Общество является юридическим лицом, имеет расчетный и другие счета в учреждениях банков, самостоятельный баланс, печать со своим наименованием. В своей деятельности Общество руководствуется Уставом и действующим законодательством.

Право распоряжаться имуществом, произведенной продукцией и денежными средствами общества принадлежит только Обществу - его органам управления.

Общество несет самостоятельную ответственность по обязательствам всем принадлежащим ему имуществом, включая основные средства.

Управление обществом осуществляется общим собранием (собранием уполномоченных) участников Общества, директором Общества.

С августа месяца 2009 года хозяйство возглавляет - Казецкий Сергей Иванович. Образование высшее.

Центральная усадьба хозяйства - д. Шапчицы, расположена в 5 километрах от районного центра - г. Старые Дороги.

На 01.01.2014 г. в землепользовании хозяйства насчитывается 2354 га сельскохозяйственных угодий, из них пашни - 1225 га, сенокосы и пастбища - 1129 га. Распаханность сельскохозяйственных угодий составляет 52 %.

Машино-тракторный парк насчитывает 16 единиц тракторов, в том числе 10 единиц тракторов МТЗ-80/82/100/892/920/850/1021,1523, 4 единицы - Беларус-1220/1221, 1 - К-700, 1 - Джон-Дир. Парк зерноуборочной техники предствален 1 единицей КЗС-10К, 1 - КЗС-12 одним комплексом КЗС-7. Имеется 5 грузовых автомобилей. Хозяйство обеспечено всем комплексом прицепных агрегатов для выполнения различных видов сельскохозяйственных работ.

Квалификационная структура управленческого персонала представлена в следующей таблице:

Таблица 1 - Квалификационная структура управленческого персонала

Квалификация управленческого персонала

Количество человек

Руководители

16

Специалисты

10

Служащие

77

Всего управленческого персонала:

103


В настоящее время в ООО «Шапчицы-Агро» среднесписочная численность работников составляет 105 человека. Из них рабочих - 78 человек, а служащих - 27. В свою очередь служащие делятся на руководителей численностью - 16 человек и специалистов - 11.

Численность работников в возрасте до 30 лет составляет 25 человек, 31-40 лет - 24 человека, 41-50 лет - 25 человек, старше 50 лет - 31 человек и работающих пенсионеров - 13 человек.

Основной контингент работников 87,6% находится в трудоспособном возрасте. Из численности работников к категории молодых специалистов относится 0,95% (1 человек).

Доля работающих со стажем выше 10 лет = 26,7 %

Коэффициент приёма кадров = 0,048

Коэффициент выбытия кадров = 0,171

Коэффициент текучести кадров =0,152

Коэффициент стабильности кадров = -0,136

Среднемесячная заработная плата составляет 1 022 000 руб.

На предприятии используется повременная форма оплаты труда, а система - повременно-премиальная.

Среднемесячная заработная плата работников составляла в 2011 году - 1 022 тыс. руб., в 2011г. - 1 025 тыс. руб. Производительность труда в 2011г. - 34,26 млн. руб., а в 2012г. - 35,94 млн. руб.

2.2 Оценка организации системы исполнения управленческих решений на предприятии

Структура управления предприятием линейно - функциональная и представляет собой трехуровневую систему.

На верхнем уровне находится директор, который осуществляет общее руководство предприятием.

Второй уровень составляют заместители директора и главные специалисты, в том числе главный бухгалтер, который осуществляет и общее руководство финансами предприятия.

Третий уровень - это руководители подразделений на местах, которые осуществляют непосредственное управление рабочими.

Связь между директором и основными подразделениями линейная, а затем подчинение происходит по функциональному признаку.

Юридический отдел и отдел снабжения подчиняются непосредственно директору, но их деятельность не требует вертикальной связки с другими отделами и подразделениями.