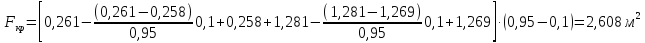
- площадь поверхности
кристаллизатора, воспринимающая тепловой
поток, м2;
- плотность воды,
кг/м3;
- удельная
теплоемкость воды, кДж/(кг·град);
- перепад температуры
воды в кристаллизаторе, °С.
В формуле (18) средняя плотность теплового потока от заготовки к кристаллизатору вычисляется по формуле:

где:
- коэффициент теплопроводности
затвердевшего металла, Вт/(м·град);
-
средний перепад температуры между
температурой жидкого металла и
температурой поверхности заготовки,
°С;
- средняя толщина
слоя затвердевшего металла в
кристаллизаторе, м.

Рекомендуются следующие значения коэффициента теплопроводности:
- для углеродистой
стали;
- для легированной
стали;
Средний перепад температуры между температурой жидкого металла и температурой поверхности заготовки изменяется в диапазоне 350…400 °С.
Средняя толщина слоя затвердевшего металла в кристаллизаторе определяется по формуле:

где:
- высота кристаллизатора, м;
-
величина недолива жидкого металла до
верхнего края медной плиты кристаллизатора,
м.

В формуле (18) площадь поверхности кристаллизатора, воспринимающая тепловой поток, рассчитывается по уравнению:

Удельная теплоемкость воды может быть принята равной 4,187 кДж/(кг·град).
В формуле (18) перепад температуры воды в кристаллизаторе вычисляется как разность между температурой воды на выходе из кристаллизатора (40…45 °С) и ее температурой на входе (15…25 °С).


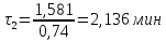
Расход воды, обеспечивающий выполнение второго условия – заданную скорость ее движения в каналах кристаллизатора, определяется по формуле:

где:
- площадь поперечного сечения канала,
м2;
-
скорость движения воды в канале, м/с.

Скорость движения воды в канале кристаллизатора изменяется в интервале 6…10 м/с.
После вычисления расхода воды по формулам (18) и (22) принимается наибольшее значение расхода воды.
Режим вторичного охлаждения слябовой заготовки рассчитывается для заданной скорости вытягивания сляба из кристаллизатора. Расчет режима вторичного охлаждения заготовки осуществляется по участкам зоны вторичного охлаждения (ЗВО) МНЛЗ. Так как по длине любого участка зоны вторичного охлаждения все показатели, характеризующие тепловое состояние кристаллизующейся заготовки, непрерывно меняются, то расчет ведется для середины участка.
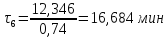
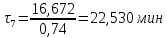
Расчет каждого участка производится в следующей последовательности. 1. Вычисляется продолжительность времени от начала кристаллизации заготовки по формуле:

где:
- продолжительность времени от начала
кристаллизации заготовки, мин;
-
расстояние от поверхности жидкого
металла в кристаллизаторе до середины
I – го участка зоны вторичного охлаждения,
м;
-заданное
значение скорости вытягивания заготовки
из кристаллизатора для расчета режима
вторичного охлаждения, м/мин.







2. Определяется толщина слоя затвердевшего металла с использованием формулы:

где:
- толщина слоя затвердевшего участка в
середине I – го участка зоны вторичного
охлаждения, м.







3. Рассчитывается температура поверхности по оси широкой грани слябовой заготовки по формуле:

где:
-температура поверхности заготовки I –
го участка зоны вторичного охлаждения,
°С;
-
температура поверхности по оси широкой
грани заготовки в начале зоны вторичного
охлаждения, °С;
-температура
поверхности по оси широкой грани
заготовки в конце зоны вторичного
охлаждения, °С;
-
расстояние от начала зоны вторичного
охлаждения до середины I – го участка,
м;
-общая
протяженность зоны вторичного охлаждения
машины, м.







В формуле (25) температура поверхности по оси широкой грани заготовки в начале зоны вторичного охлаждения вычисляется с использованием формулы:

где:
- температурный коэффициент, °С/мин.

Значение температурного коэффициента в формуле (26) зависит от химического состава разливаемой стали:
= 220 °С/мин – для
углеродистой стали;
= 200 °С/мин – для
легированной стали.
Температура поверхности по оси широкой грани заготовки в конце зоны вторичного охлаждения может иметь следующие значения:
=
920 °С – для углеродистой стали с [C] ≤
0,07 % и [C] > 0,16 %;
= 950 °С – для
перитектической стали с [C]=0,08…0,16 %;
= 980 °С – для
легированной стали.
4. Подсчитывается плотность теплового потока:
– от жидкой сердцевины к поверхности заготовки через слой затвердевшего металла

где:
- плотность теплового потока от жидкой
сердцевины к поверхности заготовки,
Вт/м2;







-
перепад температуры по толщине
затвердевшего слоя металла (°С)
определяется по формуле:








– с поверхности заготовки в окружающую среду излучением:

где:
- плотность теплового потока, передаваемого
излучением, Вт/м2;
- степень черноты
поверхности заготовки;
=0,7…0,8.
- коэффициент
излучения абсолютно черного тела,
Вт/(м2·K4);