С учетом пересчитанного сечения получены
усредненные сечения по ячейке:
Уточняется fгр:
Для данной точки величина χгр будет
примерно равна 6,8. Так как χгр изменилась меньше, чем на 1, то
можно продолжить расчет. Определяются Егр и Ет:
.7 Коэффициент размножения нейтронов
в бесконечной среде «горячего» реактора
Для расчета коэффициента размножения
нейтронов в бесконечной среде «горячего» реактора также используется формула
четырех сомножителей:
.
Расчёт проводится аналогично
«холодному» реактору, но с учётом пересчитанных сечений для
К.
Расчёт ηгор.
.
Расчёт εгор.
Величина ε в гетерогенном реакторе зависит от формы, размеров и расположения топливного блока, а также от диффузионных свойств топлива.
Так как радиус ТВЭЛа изменился
незначительно, то примем значение предыдущее значение:
Расчет θгор.
Расчет φгор
В энергетических реакторах, как
правило, применяются сборки ТВЭЛов, которые состоят из нескольких блоков
ядерного горячего. Для ячейки со стержневыми блоками:
![]()
Окончательно имеем:
2.8 Расчет эффективного коэффициента размножения
для «горячего» реактора
Формула эффективного коэффициента размножения
для «горячего» реактора имеет такой же вид, как и для «холодного»:
Возраст нейтронов в решетке для
«горячего» реактора вычисляется по формуле:
Расчет длины диффузии для
замедлителя:
Геометрический параметр:
Тогда эффективный коэффициент
размножения равен:
С учетом найденных значений эффективного
коэффициента размножения для холодного и горячего реакторов, можно определить
температурный коэффициент реактивности ТКР по следующей формуле:
.9 Предварительный расчёт системы
органов регулирования
Регулирование тепловых реакторов осуществляется чаще всего с помощью стержней, сильно поглощающих нейтроны, которые вводятся в реактор для компенсации избыточной реактивности. В процессе работы запас реактивности падает (отравление, шлакование, выгорание топлива) и поэтому необходимо освобождать скомпенсированный запас реактивности, выводя стержни из реактора.
Компенсирующая способность стержня
характеризуется разностью:
где
- коэффициент размножения со
стержнем.
Эффективность стержня зависит от размеров и формы стержня, поглощающей способности материалов стержня, места введения стержня в реакторе и от размеров и физических характеристик самого реактора.
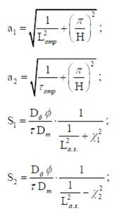
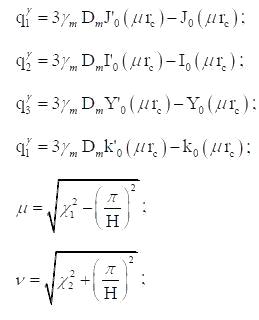
Определяем значение
, при
котором определитель следующей матрицы равен нулю:
экв = Rаз + δ.
Данные расчёты производились в пакете WolframMathematica. При расчёте были приняты радиус стержней 2 см, чернота поглощающих стержней 0.8. Были получены следующие результаты:
Из графика нашли
.
Таким образом, с учётом того, что
компенсирующая способность стержней зависит от расстояния их месторасположения
от центра активной зоны, общее число регулирующих стержней:
Данная величина была также рассчитана при помощи пакета WolframMathematica.
рег = 89 стержней.
. ПАРАМЕТРЫ НЕСТАЦИОНАРНЫХ И
ПЕРЕХОДНЫХ ПРОЦЕССОВ
.1 Эффекты реактивности при
отравлении реактора
Отравлением называется поглощение
нейтронов короткоживущими радиоактивными ядрами. Важнейшим из отравляющих
продуктов является Xe135, имеющий очень большое сечение поглощения (σXe = 2.75
106барн).
После Xe135 наиболее сильным из вредных поглотителей нейтронов является изотоп
Sm149. Самарий обладает большим сечением поглощения, достигающим значения σSm = 59200
барн.
Изотоп Sm149 является стабильным, поэтому поглощение нейтронов самарием следует
называть шлаками. Однако вследствие значительной концентрации и высокого
сечения поглощения Sm149 по степени и характеру воздействия на реактивность
занимает особое положение среди шлаков и скорее приближается к отравляющим
продуктам. Поэтому поглощение нейтронов самарием часто называют отравлением.
[2]
Определение средней плотности потока
нейтронов по реактору
где N - тепловая мощность реактора (2200 МВт);- масса U235 в граммах.
Определим массу U235:
Соответственно:
Определение равновесных ядерных концентраций ксенона и самария
Стационарная концентрация йода-135:
Стационарная концентрация Xe
определяется равновесием между скоростью прибыли Xe и убыли его вследствие
радиоактивного распада и поглощения нейтронов:
Стационарная концентрация прометия:
Стационарная концентрация самария:
Определение накопления I, Xe, Pm, Sm при работе ядерного реактора на стационарной мощности
Процесс накопления ядер I, Xe, Pmи
Sm после пуска реактора происходит по экспоненциальному закону:

Определим запас реактивности на
начало кампании для «горячего» реактора. По определению, запас реактивности -
это максимально возможная реактивность при полностью извлечённых поглотителях:
Определим величину стационарного
отравления ксеноном по формуле:
Определение изменения плотности ядер I, Xe, Pm, Sm после остановки реактора
После остановки реактора Ф = 0,
соответственно концентрация веществ изменяется следующим образом:
Определение изменения реактивности после остановки реактора
Уменьшение
при
накоплении
после
остановки носит название “прометиевый провал”.
После остановки или снижения
мощности происходят временное увеличение концентрации
вследствие
распада
и
уменьшение выгорания
.
Соответствующее уменьшение
называется“йодной ямой”.
В отличие от кинетики отравления ксеноном, отравление самарием после выключения реактора непрерывно возрастает, стремясь к предельному значению.
Непрерывный рост отравления после остановки реактора объясняется тем, что самарий стабилен, а образование его происходит за счет распада накопившегося прометия.
Определение времени достижения
полной глубины йодной ямы и 90% полного прометиевого провала
ч
см-3
суток
Определение реактивности при переходе с одного уровня мощности на другой
При изменении мощности реактора
баланс ядер
и
нарушается,
что вызывает переходные процессы с изменением реактивности реактора. Так, при
уменьшении мощности снижается реактивность, т. к. в результате снижения
плотности нейтронного потока уменьшается выжигание ксенона нейтронами, а его
поступление из
, количество
которого на момент снижения мощности определяется прежним уровнем мощности, не
меняется, что приводит к росту концентрации ядер
.
В общем случае при изменении
от значения
до
изменение
реактивности происходит по следующему закону:
Ф1=Ф; Ф2=0,5Ф.
.2 Расчёт нуклидного состава и
характеристик, связанных с выгоранием топлива
При изменении содержания делящихся
изотопов основную роль играют U235и Pu239. Чтобы определить концентрации U235и
Pu239 необходимо значение глубины выгорания. Среднюю глубину выгорания
приближенно оценим по формуле:
,
где
удельная мощность (МВт/с),
время работы
ядерного реактора (суток).
Рассчитаем объём топлива в активной
зоне:
Масса топлива равна:
г
следовательно,
МВт/т.
Для определения величины выгорания
зададим время работы реактора: 1 год (365 дней).
,
Определим концентрацию U235при выгорании:
см-3.