Материал: Мультимедиа представление поэтапного возведения плавучего здания

Внимание! Если размещение файла нарушает Ваши авторские права, то обязательно сообщите нам

Рентабельность активов показывает эффективность использования всего имущества предприятия. Снижение показателя свидетельствует о падении спроса на продукцию. Рентабельность активов рассчитывается как:


Значение этого показателя в данном проекте менялось от min = - 126,6 % в 1-м до max = 237,9 % в 3-м месяце.

Коэффициент общей ликвидности говорит о том, способно ли предприятие погасить долг перед бюджетом, работниками за счет продажи не нужных запасов комплектующих, погашение дебиторской задолжности за счет денежных средств на счету.

Нормальное значение коэффициента - 2. В данном проекте среднее значение достигает 108,8. При этом минимальное значение установлено min = 2,71 в 2-м месяце, а максимальное max = 1138,08 в 3-м месяце.

Следующий показатель характеризует финансовую независимость предприятия от инвесторов - коэффициент автономии. Он определяется по формуле:


Нормальное значение составляет 0,6. Это означает, что собственные средства должны составлять 60% в структуре источников финансирования. Значение общего показателя платежеспособности в нашем проекте в среднем достигает 350%. Значение коэффициента склонно к изменению, т.е. наблюдается его рост и падение. На конец реализации проекта значение коэффициента 31,24%. Это означает, что собственные средства составляют 31,24% от общей суммы источников.

3.5 Коммерческая эффективность проекта


В основе принятия управленческих решений инвестиционного характера оценка и сравнение объема предполагаемых инвестиций и будущих денежных поступлений. Поскольку сравниваемые показатели относятся к разным моментам времени, ключевой проблемой является проблема их сопоставимости. Существующий подход к решению данной проблемы основывается на дисконтировании (приведении на текущий момент времени) будущих денежных расходов. Первоначальные инвестиции формируются на начальном этапе проекта, поэтому они не дисконтируются.

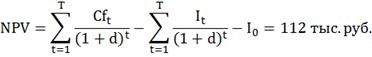
а) метод чистого дисконтируемого расчета (NPV).

Этот метод основан на сопоставлении величины исходных инвестиций (J0) с общей суммой дисконтируемых чистых денежных поступлений. NPV рассчитывается по следующей формуле:


Очевидно, что если NPV<0, то проект неэффективен. Если NPV=0, то проект ни прибылен, ни убыточен. Проект однозначно стоит принять только, если NPV>0. В данном случае показатель NPV положителен, следовательно, проект эффективен.

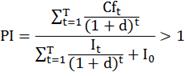
б) индекс доходности (PI).

Показывает относительную доходность инвестиций и равен отношению дисконтированного потока доходов к дисконтированному потоку затрат:

> 1,2 для получения кредитной поддержки.

в) внутренняя норма доходности (IRR).

Это та ставка дисконта при которой NPV=0. Чем больше IRR, тем проект выгоднее. Разница между IRR и ставкой дисконтирования d отражает внутреннюю эффективность проекта (рис. 12).

Рис. 12. График зависимости NPV от ставки дисконтирования d

Поскольку IRR много больше ставки дисконтирования d, то и по этому показателю проект можно считать коммерчески эффективным.

г) дисконтированный срок окупаемости (PP).

Это минимальный период, необходимый для достижения нулевого NPV. Для обеспечения государственной поддержки необходимо чтобы срок окупаемости был меньше 2-х лет.


3.5.1 Бюджетная эффективность

Бюджетная эффективность проекта заключается в выплате налогов и взносов в размере 235 тыс. руб. за год.

.6 План по рискам

.6.1 Расчет ставки дисконтирования

Ставка дисконтирования - это процентная ставка, которую используют при приведении будущих финансовых потоков к их стоимости в настоящее время. Ее расчет является одним из самых актуальных и сложных вопросов, который возникает при финансовой оценке любого инвестиционного проекта. От его корректности зависит, какую конечную величину будет иметь текущая денежная стоимость.

Если применить низкую ставку, то дисконтированная стоимость ожидаемых в будущем денежных поступлений может оказаться завышенной. Это повлечет за собой выбор инвестором неэффективного проекта, в результате чего он понесет серьезные потери. Чрезмерно высокая ставка, в свою очередь, может привести к потерям, которые есть - упущенная возможность получения дохода

Ставка дисконтирования, таким образом, представляет собой ту норму доходности в процентах, которую должен получить инвестор на вложенный капитал.

Предлагается рассчитать ставку дисконтирования по общей формуле:

,


где di - безрисковая ставка дисконтирования;- ставка рефинансирования ЦБ РФ, составляет 12,5%;темп инфляции, составляет 10,8%4/100% - поправка на риск.= +,

где -стартовой риск (10%);

- риск ненадежности участников проекта (5%);

- риск недополучения предусмотренных проектом доходов (25%).

=0,02+0,35=0,37

Вывод: Рассчитав ставку дисконтирования d, получили значение 37%.

3.6.2 Анализ чувствительности

Анализ чувствительности позволяет определить, как изменятся результирующие показатели эффективности проекта (NPV, IRR, PP) при изменении исходных показателей. В качестве исходных показателей удобнее всего принять цену реализации продукции, объем реализации, совокупные затраты. Анализ чувствительности позволяет ответить на вопрос: "А что будет, если...?" Таким образом, анализ чувствительности позволяет в рамках одного бизнес плана рассчитать несколько возможных вариантов развития ситуации. В программе "Альт-Инвест" можно провести однопараметрический анализ чувствительности, где рассматриваются изменения NPV и PP при изменении одного исходного показателя. Рассмотрим влияние изменения уровня цен на эффективность проекта (табл. 8).

Таблица 8

Однопараметрический анализ чувствительности (АЛЬТ-Инвесттм 3.0)

Однопараметрический анализ чувствительности

Начальное значение

Шаг изменения








Уровень цен на реализуемую продукцию (работы, услуги)

100%

-10%

100%

90%

80%

70%

60%

50%

40%

Результирующие показатели










NPV для полных инвестиционных затрат

тыс. руб.


112

80

48

15

-17

-49

-84

Дисконтированный срок окупаемости

лет


0,68








При падении цены на 40% проект становится не эффективным.

4. ОБЕСПЕЧЕНИЕ БЕЗОПАСНОСТИ ЭКСПЛУАТАЦИИ ПЛАВУЧЕГО ЗДАНИЯ НА ВОДЕ


Плавучие дома - это хорошее предложение для любителей активного отдыха. Он позволяет не привязываться к выбранному месту отдыха и сменить его как только пожелаете или совершить экскурсию по озеру. Или, например, сплавиться по реке. Что может быть лучше отдыха на природе в сочетании с домашним комфортом в кругу друзей и родственников?

Однако, несмотря на все меры безопасности, и в наши дни ежегодно гибнет до нескольких десятков судов. Основными причинами гибели судов являются столкновения судов в море, возникновение пожара на судне, шторм.

Каждые сутки в нашей стране речные и морские суда перевозят более миллиона человек. Современные корабли оборудованы средствами спутниковой навигации и радиосвязи. За всеми кораблями, находящимися в плавании, осуществляется контроль, и с ними поддерживается радиосвязь.

В настоящее время все пассажирские суда на случай аварии имеют спасательные средства: надувные плоты, шлюпки, спасательные жилеты и костюмы. Всем пассажирам и членам экипажа обеспечены места на спасательных средствах (в шлюпках и на плотах).

Кроме того, существуют международные сигналы бедствия на море, которые подаются терпящими бедствие судами, чтобы привлечь к себе внимание и помощь. Получив такой сигнал, капитан любого судна, оказавшегося поблизости, обязан принять все меры, чтобы помочь тем, кто оказался в опасности.

Зачастую беды можно избежать, если соблюдать определённые правила безопасности. Специалисты рекомендуют каждому человеку, поднявшемуся на палубу корабля, суда, плавучего средства знать и соблюдать ряд общепринятых правил.

Однако независимо от того, сколько опыта Вы имеете в водных прогулках, всегда хорошо вспомнить и рассмотреть вместе с другими участниками поездки основные правила безопасности перед отъездом, ведь большая часть аварий на морских и речных судах происходит в результате столкновений. Под воздействием ураганов, штормов, туманов, льдов, а также по вине людей, когда суда садятся на мель или сталкиваются друг с другом, случается большое число аварий и катастроф.

4.1    Мероприятия по безопасной эксплуатации зданий на воде


• Повышенные противопожарные требования (оснащение первичными индивидуальными и общими противопожарными средствами) в связи с наличием в плавучем доме горючего для приводящих в движение плавучие дома двигателей; забор воды для противопожарных целей производится непосредственно из водоема.

• Привлечение специально подготовленного экипажа для управления и обслуживания самоходных плавучих домов со знанием правил судоходства, морского и речного ориентирования и навигации.

• Освещение с учетом наличия специальной сигнальной системы в темное время суток для обозначения своего присутствия на воде и предупреждения других судов.

• Наличие на доме-судне спасательных средств, в том числе в виде плотов, ялов и шлюпок, спасательных жилетов и кругов.

Строительство, размещение и эксплуатация вторых жилищ разрешается при следующих условиях:

. Обеспечение прочности, жесткости, пространственной устойчивости плавучего (водного) жилища.

. Наличие технической проектной документации, разработанной с соблюдением существующих градостроительных, экологических, санитарно-гигиенических, противопожарных норм и правил пребывания на воде.

. Соблюдение требований охраны окружающей среды, предъявляемых к водным объектам и объектам в прибрежной и водоохранной зонах.

4.2    Основные правила безопасности на воде для семейного отдыха


1.      Учитывать погодные условия. Необходимо проверять местные погодные условия перед отъездом - ТВ и радио-прогнозы могут быть хорошим источником информации. Если вдруг замечено внезапное ухудшение погоды, сильная облачность, изменение ветра или температуры воздуха - желательно не рисковать и переждать в спокойном месте.

2.      Взять правильную одежду и обувь. Обычно на воде температура воздуха прохладнее, поэтому необходимо взять с собой комфортную одежду, которая сможет защитить от дождя и ветра.

.        Пользоваться здравым смыслом. Одна из самых важных основ безопасности - здравый смысл. Это означает плыть на безопасной скорости в любом случае. Быть внимательными, избегать столкновений с другими судами или препятствиями. Также необходимо пользоваться навигационной системой и всеми имеющимися средствами безопасности на борту.

.        Назначить помощника капитана. Необходимо удостоверится что больше, чем только один человек на борту знаком со всеми аспектами управления плавучего средства и мер предосторожности. Если капитан по какой-то причине не сможет управлять судном, важно удостовериться, что кто-то еще может взять управление на себя.

.        Соблюдать правила пожарной безопасности. Курить на борту разрешается только в разрешенном месте. Будьте внимательны и ознакомьтесь с правилами безопасности использования и заправки топлива и другого оборудования на борту.

.        Составить план плавания. Также необходимо спланировать плавание, места стоянок, причалов и сообщить о маршруте всем участникам поездки. План должен включать точку куда направляется судно, а также сколько по времени планируется плыть.

.        Проверить спасательные жилеты. Удостовериться, что каждому члену команды подходит по спасательному жилету - до отъезда.

.        Избегать алкоголя. На борту разрешено употреблять алкоголь, но для соблюдения безопасности во время прогулки, призывается к умеренному его употреблению. Исследования показывают, что влияние алкоголя усиливается внешними эффектами, такими как солнце и ветер.Капитану рекомендуется прервать поездку, если кто-то из пассажиров находится в состоянии алкогольного опьянения, которое может угрожать безопасности других пассажиров.

.        Ну и наконец, необходимо научиться плавать. Если Вы собираетесь плавать, выбирайте для этого наиболее комфортное место, удостоверьтесь, что все челны команды умеют плавать, а дети снабжены надувными плавучими средствами.

4.3 Действия при крушении плавучего средства


Пока судно остается на плаву, не стоит спешить его покидать. При подаче капитаном команды «Покинуть судно», немедленно направляйтесь к местам аварийной высадки.

Прежде чем покинуть судно:

.  помогайте тем, кто находится в затруднении;

2.      наденьте теплую одежду, перчатки и головной убор;

.        правильно наденьте спасательный жилет.

Места в спасательных шлюпках в первую очередь предоставляются женщинам, детям, раненым и старикам. Брать с собой разрешается только документы, спички или зажигалку, одеяло, личные лекарства, деньги;

.  Высаживайтесь на плот (шлюпку), по возможности, не входя в воду (сухая одежда лучше защищает от холода).

5.      В крайнем случае - прыгайте прямо в воду, убедившись, что спасательный жилет надежно закреплен. Для прыжка следует использовать следующие правила:

· соедините колени и держите ноги слегка согнутыми;

·        одной рукой закройте нос и приоткройте рот;

·        другой рукой крепко держитесь за жилет, положив руку под мышку, блокируя ее локтем - таким образом, жилет не поднимется вверх и не накроет голову;

·        при отсутствии коллективных спасательных средств ночью приведите в действие лампочку, встроенную в жилет, выдернув две пробки из батарейки.

После высадки: