Материал: Методики комплексной оценки физического развития и здоровья человека

Внимание! Если размещение файла нарушает Ваши авторские права, то обязательно сообщите нам

Методики комплексной оценки физического развития и здоровья человека

Министерство образования и науки РФ

Федеральное государственное автономное образовательное учреждение высшего профессионального образования

«Северо-Кавказский федеральный университет»

Институт образования и социальных наук








Реферат на тему:

«Методики комплексной оценки физического развития и здоровья человека»

по дисциплине

«Физическая культура»

Выполнила:

студентка группы ППО-б-з-15-1

Абрамец Анастасия Ярославна

Проверил:

Егорова Светлана Александровна

кандидат медицинских наук,

доцент кафедры

теории и методики физической культуры и спорта

Ставрополь, 2016

Содержание

Введение

. Наружный осмотр (Соматоскопия)

. Метод индексов

. Метод сигмальной оценки

. Метод корреляции

. Метод регрессии

. Центильный метод

Заключение

Литература

Приложение 1 (Интерпретация показателей ИМТ)

Приложение 2 (Вычисление коэффициента корреляции)

Введение

Социально-гигиенические исследования выявили, что показатели физического развития отражают состояние здоровья населения. В период детства физическое развитие носит наиболее поступательный характер. Детский организм обладает наибольшей пластичностью, поэтому ему присуща высокая способность изменяться под влиянием различных факторов.

Состояние здоровья и физическое развитие человека находятся в прямой зависимости. Систематически занимаясь физической культурой, повышая свои функциональные возможности, человек напрямую повышает потенциал своего здоровья. И, напротив, - низкая двигательная активность резко снижает функциональные возможности сердечно-сосудистой, дыхательной и других систем организма, что не может не отражаться на здоровье человека.

Физическое развитие - это состояние морфологических и функциональных свойств и качеств организма, характеризующих процесс его роста и созревания, а также уровень биологического развития - биологический возраст.

Таким образом, выработана система критериев и методик оценки физического развития, как инструмент контроля здоровья человека. Такие методики чаще применяются для контроля здоровья и физического развития подрастающего поколения. Это позволяет вовремя выявить отклонения и определить меры их устранения.

С развитием науки и медицины в частности, разумеется, мнения о методиках, как и они сами, подвергались сомнениям и изменениям. Однако на сегодняшний день выработаны основные методики, способствующие определению точных комплексных показателей.

Цель данной работы ознакомится с методиками комплексной оценки физического развития и здоровья человека.

.        Наружный осмотр (Соматоскопия)

Все разнообразие методов оценки физического развития подразумевают использование физических показателей в вычислениях, благодаря которым и определяется уровень физического развития. Для этого необходимо правильно снять показатели, что делается с помощью наружного осмотра.

Соматометрия включает определение длины тела, окружностей и массы тела.

а) Длина тела является признаком, характеризующим состояние пластических процессов в организме.

При измерении роста обследуемый становится на платформу спиной к вертикальной стойке. Он стоит, выпрямившись, подобрав живот и расправив плечи, опустив руки вдоль тела, поставив пятки вместе, носки врозь. При этом обследуемый должен касаться вертикальной стойки пятками, ягодицами и межлопаточной областью. Голова находится в таком положении, при котором нижний край глазницы и верхний край козелка уха расположены на одной горизонтальной линии. Необходимо следить за тем, чтобы он не прислонялся затылком к стойке ростомера. Скользящая планка ростомера опускается до соприкосновения с верхушечной точкой головы.

б) Измерение окружностей

Окружность головы измеряют наложением ленты спереди по глабелле, сзади по затылочной точке. Становятся перед обследуемым, накладывают нулевое деление ленты на глабеллу и удерживают ее левой рукой. Правой рукой расправляют ленту, накладывают ее сначала на правую височную область, затем на затылок, а затем через левую височную область на глабеллу.

Окружность грудной клетки характеризует объем тела, развитие грудных и спинных мышц, а также функциональное состояние органов грудной полости. Определяют окружность грудной клетки в состоянии покоя.

Для более детальной характеристики функций внешнего дыхания окружность грудной клетки измеряется также в фазе максимального вдоха и выдоха. Ленту накладывают сзади под нижними углами лопаток при отведенных в сторону руках. Затем руки опускают, лента соскальзывает, ложится по углам лопаток. Спереди лента проходит через среднегрудинную точку. Сначала измеряют окружность груди в паузе; при этом рекомендуется отвлечь внимание ребенка разговором. Затем определяют окружность груди при максимальном вдохе и максимальном выдохе. Разница между значениями окружности при максимальном вдохе и вдохе является показателем экскурсии грудной клетки. Окружность грудной клетки в паузе на 1-2 см больше, чем при выдохе, и значительно меньше, чем при максимальном вдохе. Все три измерения производят последовательно при одномоментном наложении ленты. Точность измерения 0,5 см.

Окружность плеча измеряют при расслаблении мышц и при максимальном их напряжении. Ленту накладывают в наиболее утолщенной части двуглавой мышцы правой руки. Сначала измерение производят при свободно опущенной руке и расслабленной мускулатуре, затем при согнутой в локтевом суставе руке и максимальном напряжении мускулатуры. Разница между этими показателями свидетельствует о степени развития мускулатуры.

Окружность бедра измеряют положением ленты сзади под ягодичной складкой, а спереди - так, чтобы сантиметровая лента находилась в одной горизонтальной плоскости. Обследуемый при этом стоит, несколько расставив ноги. Тяжесть тела должна быть равномерно распределена между правой и левой ногой.

Окружность голени измеряют в наиболее утолщенной части. Положение исследуемого при измерении голени то же, что и при определении окружности бедра.

в) Становая сила измеряется становым динамометром. Обследуемый стоит ногами на платформе, наклоняется, берется двумя руками за рукоятку динамометра и с усилием выпрямляется. В исходном положении рукоятка динамометра должна быть на уровне колен. Становой динамометр регулируют по росту обследуемого с помощью металлической цепи. Учитывают максимальный результат (в килограммах).

г) Частота сердечных сокращений по пульсу подсчитывается в течение 1 мин.

д) показатели максимального и минимального артериального давления измеряют аппаратом Рива-Роччи или тонометром (по методу Н. С. Короткова) на правой руке в положении сидя, после минутного отдыха. Манжету накладывают на середину обнаженного плеча на 1 - 2 см выше локтевого сгиба. Рука обследуемого должна быть удобно расположена на столе и повернута ладонью вверх. Момент появления тонов соответствует систолическому давлению, их исчезновение - диастолическому. Измеряют давление не менее 3 раз, фиксируя повторяющиеся параметры.

Измерять артериальное давление у школьников следует ежегодно, начиная с 7 лет. В медицинских кабинетах школ могут отсутствовать «возрастные» манжеты, что затрудняет выполнение данного исследования. Однако существуют специальные возрастные коррективы с учетом физического развития, позволяющие оценить уровень артериального давления у младших школьников при использовании стандартной манжеты. У детей 13 лет и старше (независимо от уровня физического развития) истинные цифры артериального давления можно получить при использовании стандартной манжеты.

.        Метод индексов

Метод индексов является одним из наиболее ранних методов индивидуальной оценки физического развития. При этом сопоставляются две или более антропометрические величины.

Наиболее распространенными в настоящее время индексами являются:

Индекс Пинье: пропорциональность соотношения всех трех тотальных размеров тела, то есть разница между ростом и суммой веса и окружности груди I=L-(P+T) 10 - крепкое телосложение 10-20 - хорошее 20-25 - среднее 25 - слабое;

Индекс Эрисмана: окружность груди минус ½ роста 0 - среднее развитие грудной клетки больше 0 - хорошее меньше 0 - слабое, плохое Процентное отношение окружности груди к росту, пропорциональность развития грудной клетки 50-55% - норма более55% - широкая грудь менее 50% - узкая грудь;

Индекс Брока: вес тела= рост - 100, при росте 155-165; без 105 при росте 165-175 см; без 110 при росте 175-185 см. Сила кисти в кг равна 65-75% веса тела. Становая сила равна 150-200% веса тела. ЖЕЛ - отношение ЖЕЛ в мл к весу тела в кг равна 60 мл на кг веса. Менее 60 - слабое развитие Белее 60 - хорошее развитие, выше среднего.

Отдельные показатели физического развития отражают различные стороны здоровья. Для работы же необходима интегральная оценка, которую можно получить при сопоставлении двух и более показателей. Наиболее научно обоснованным, оправдавшим себя на практике и простым в измерении является индекс массы тела-соотношение массы тела в кг и длины тела в метрах, где последний показатель исчисляется в квадратной функции:

Х = М : Р2 в квадрате. Где Х - индекс массы тела, М -масса тела в Кг, Р-длина тела в метрах.

Этот индекс в сравнении с другими (Брока, Шелдона т.п. ) в наибольшей мере коррелирует с показателями здоровья и принят в большинстве зарубежных стран. На его основании разработаны оценочные таблицы, позволяющие определять оптимальную, избыточную и недостаточную массы тела. (Приложение 1)

Несмотря на давнее применение, этот метод обладает существенным недостатком. При сопоставлении индексов исходят из предположения, что размеры человеческого тела изменяются пропорционально. Современные антропологические исследования показывают, что при изменении одного из размеров человеческого тела не существует строго пропорционального изменения всех остальных размеров. Более того, в некоторых случаях существуют разнонаправленные изменения: один из признаков увеличивается, а другой остается без изменения или уменьшается.

.        Метод сигмальной оценки

Этот метод основан на принципе сопоставления индивидуальных антропометрических размеров с соответствующими нормативами, которые разрабатываются для отдельных возрастно-половых и этнических групп и даются в виде интервалов статистических показателей. Этот метод известен под названием метода Мартина. Впервые он был применен в 1925 году.

Для индивидуальной оценки физического развития каждого отдельного ребенка пользуются формулой (U - M)/d где U - величина признака обследуемого ребенка, М - средняя величина этого признака для детей данного возраста и пола (по стандарту), d - среднее квадратическое отклонение (по стандарту).

Таким путем устанавливают, на какую долю сигмы или на сколько сигм показатель индивидуума отличается от взвешенной средней арифметической этого признака данной возрастной группы. Последовательно определяют сигмальное отклонение для роста, массы тела, окружности груди. По величине сигмальных отклонений судят о степени физического развития. В зависимости от размеров сигмальных отклонений выделяют 5 групп физического развития

. Среднее от М-1 d до М+1 d

. Выше среднего от М+1,1 d до М+2 d

. Высокое от М+2,1 d и выше

. Ниже среднего от М-1,1 d до М -2 d

В современных условиях, когда параметры физического развития детей подвержены значительным изменениям в связи с процессами акселерации, необходимо учитывать большое число конституциональных и функциональных признаков.

.        Метод корреляции

Этот метод является следующим этапом анализа данных физического развития. Он позволяет проводить оценку не на основе изолированных друг от друга средних размеров признаков, а на основе их взаимосвязи, и таким образом судить о гармоничности физического развития.

Корреляционная связь может быть прямой (положительной), когда с нарастанием размеров одного признака нарастают размеры другого признака, или обратной (отрицательной), когда с увеличением одного признака уменьшаются размеры другого признака.

Пример прямой связи: увеличение веса с увеличением роста. Пример обратной связи: развитие мускулатуры и уменьшение жироотложения

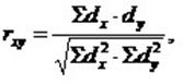
Характер и сила связи между признаками определяются коэффициентом корреляции (r). Формула его вычисления такова:

где x и y - коррелируемые признаки (например x - длина тела, y - масса тела),- отклонение от средней одного признака (длина тела),- отклонение от средней другого признака (масса тела).

Коэффициент корреляции может иметь любое числовое значение в пределах от 0 до 1.

Коэффициент корреляции, равный 1, характеризует сильную, тесную связь, когда с изменением одного признака строго пропорционально изменяется другой признак.

Схема оценки коэффициента корреляции:

= 0 ± 0,29 - связь слабая, незначительная= ± (0,3 - 0,69) - связь средняя, удовлетворительная= ± (0,7 - 1,0) - связь сильная, тесная

Ход вычисления коэффициента корреляции чрезвычайно прост. Например: имеется группа студентов в 10 человек со следующими величинами длины и массы тела (Приложение 2)

.        Метод регрессии

На основании коэффициента корреляции рассчитывается коэффициент регрессии (R), смысл которого состоит в том, что он показывает, насколько в среднем изменяется величина одного признака на единицу изменения другого признака. С помощью коэффициента регрессии можно, например, установить, насколько изменяется масса тела (признак Y) при увеличении длины тела на 1 см (признак Х).

В этом случае Ry/x = r(sy/sx).

Если мы хотим знать, насколько изменяется величина признака Х на единицу изменения признака Y, то Rx/y = r(sx/sy).

Коэффициенты регрессии используеются для получения оценочных таблиц, шкал регрессии, в которых размеры массы тела и окружности грудной клетки приведены в соответствие с величинами длины тела. Преимущество шкал регрессии в том, что они позволяют дать комплексную оценку физического развития индивидуума сразу по 3 признакам в их взаимной связи.

В шкалах регрессии оценка показателей длины тела приводится по общей сигме (d), а масса тела и окружность грудной клетки - по частной сигме или сигме регрессии (dR).

Сигма регрессии рассчитывается по формуле:


где dy - среднеквадратическое отклонение признака Y, где ry - коэффициент корреляции этого признака с длиной тела.

.        Центильный метод

Сущность центильного метода: все результаты измерений одного признака у большой группы детей одного пола и возраста располагают в восходящем порядке в виде упорядоченного ряда. Этот ряд делят на сто интервалов. Для характеристики распределения приводят обычно не все 100, а лишь семь фиксированных центилей: 3-й, 10-й, 25-й, 50-й, 75-й, 90-й, 97-й. Третий центиль отсекает 3 % наблюдений данного ряда, 10-й центиль - 10 % наблюдений и т.д. Каждый из фиксированных центилей называют центильной вероятностью и обозначают в процентах. Между фиксированными центильными вероятностями образуется восемь промежутков, которые получили названия центильных интервалов (коридоров):