Материал: Методика вивчення основ перетворення постійного електричного струму на уроках фізики та факультативних заняттях

Внимание! Если размещение файла нарушает Ваши авторские права, то обязательно сообщите нам

Методика вивчення основ перетворення постійного електричного струму на уроках фізики та факультативних заняттях

Міністерство освіти і науки України

Житомирський державний університет імені Івана Франка

Кафедра методики навчання математики інформатики та фізики

Напрям підготовки - фізика

Спеціальність фізика-математика




КУРСОВА РОБОТА

З методики навчання фізики

на тему:

Методика вивчення основ перетворення постійного електричного струму на уроках фізики та факультативних заняттях



Студентки Дідківської К.І.

V курсу 53 групи

Керівник: старший викладач

Федьович М.В.




м. Житомир-2014

Зміст

Вступ

Розділ 1. Перетворення постійного електричного стуму

Розділ 2. Перетворювачі постійної напруги

2.1 Класифікація перетворювачів постійної напруги

2.2 Безпосередні ППН

2.2.1  Понижуючі ППН

.2.2    Підсилюючі ППН

2.2.3 Інвертуючий ППН

2.3 Класифікація перетворювачів постійної напруги

2.3.1 Регулюючі, зовнішні та енергетичні характеристики нереверсивних понижуючих ППН

.3.2 Рекуперуючі неперервні ППН

.4 Реверсивні ППН

.4.1 Схема та способи управління реверсивними ППН

.4.2 Робота реверсивного ППН на активно-індуктивне навантаження при симетричному управлінні

.4.3 Робота регресивного ППН на активно-індуктивне навантаження при несиметричному управлінні

.4.4 Робота регресивного ППН та ПЕДС при симетричному управлінні

Розділ 3. Технологія виготовлення і застосування ППН

.1 Технологія виготовлення друкованих плат

Висновок

Список використаних джерел

Вступ

Предметом даної роботи є перевірка основних законів перетворення постійного електричного струму, та виготовлення DC-DC перетворювача, та методика їх вивчення на уроках фізики.

Під час виконання даної роботи, будуть досліджуватись та перевірятись основні закони перетворення струмів, на прикладі окремої установки яка виготовлена на основі мікросхеми МАХ1621.

Актуальність роботи: дана робота є актуальною в тому плані, що для виготовлення пристрою не потребується особливих матеріальних та фізичних затрат, а лише елементарні знання законів перетворення електричних струмів. Даний матеріал можна застосувати на уроках та факультативних заняттях з фізики для учнів 9-11 класів.

Мета роботи: розробити установку, яка б працювала як зарядний пристрій для мобільних телефонів та пристроїв які не потребують великих струмів для заряду акумуляторів, перевірка основних законів перетворення постійного електричного струму.

Завдання роботи:

-   опрацювати літературу та систематизувати знання з вибраних питань курсу;

-        знайти розв'язок конкретних початкових задач;

         провести їх перевірку.

Предмет роботи: DC-DC перетворювач на базі мікросхеми МАХ 1674.

Об'єкт роботи: перетворення постійного електричного струму за допомогою DC-DC перетворювача, який виготовлений на базі мікросхеми МАХ 1674.

Розділ 1. Перетворення постійного електричного струму

Електричний струм - фізичне явище спрямованого руху електричних зарядів. Електричний струм виробляється джерелом електричної енергії (генератором, акумулятором, термопарою).

За своєю природою електричний струм буває:

струмом провідності (спрямований рух вільних носіїв електричного заряду в речовині або вакуумі, наприклад рух електронів у металах);

струмом поляризації (спрямований рух пов’язаних заряджених часток (диполів) у діелектрику за зміни його поляризації);

струмом переносу (спрямований рух заряджених тіл, наприклад рух іонів в електролітах і газах).

Постійний електричний струм - електричний струм, що не змінюється в часі за напрямком. Напрямком постійного електричного струму вважається напрямок руху позитивних зарядів (напрямок, що є зворотним напрямку руху електронів).

Необхідно відзначити деяку некоректність терміну постійний струм: насправді для постійного струму незмінним є перш за все значення напруги (вимірюється у вольтах), а не значення струму (вимірюється в Амперах), хоча значення струму також може бути незмінним. Тому термін постійний струм слід розуміти як постійну напругу. Далі використовуватимемо термін саме в цьому значенні.

Використання терміну постійний струм (так само, як і змінний струм) підкреслює «силовий» характер даного сигналу, тобто це електричний сигнал, що передає потужність, призначений для живлення електричних пристроїв. У інших значеннях використовують точніші терміни: напруга, сигнал тощо.

Нерідко цим терміном називають також електричний струм, який з часом може і змінюється за величиною, але не змінюється за напрямом (наприклад, пульсуючий електричний струм). Останнє обумовлюється можливістю розкладу одержуваного сигналу в ряд Фур'є, у якого постійна складова буде не нульова.

Постійний струм широко використовується в техніці: живлення переважної більшості електронних схем виконується постійним струмом. Змінний струм використовується переважно для зручнішої передачі від генератора до споживача. Перетворення постійного струму в змінний забезпечують інвертори.

Простим джерелом постійного струму є хімічне джерело (гальванічний елемент або акумулятор), оскільки полярність такого джерела не може мимовільно змінитися. Для отримання постійного струму використовують також електричні машини - генератори постійного струму. У електронній апаратурі, що живиться від мережі змінного струму, для отримання пульсуючого струму використовують випрямляч. Далі для зменшення пульсацій може бути використаний згладжуючий фільтр і, при необхідності, стабілізатор напруги.

Для появи й існування електричного струму треба, щоб виконувалися дві умови:

Перша - наявність у даному середовищі вільних електричних зарядів - носіїв струму. Такими зарядами в металах є електрони провідності; у рідинах (електролітах) - позитивні та негативні іони; у газах - позитивні іони й електрони; в напівпровідниках - електрони і дірки;

Друга - на електричні заряди необхідно, щоб діяла сила. Отже, в даному середовищі повинно існувати електричне поле, енергія якого витрачалась би на переміщення електричних зарядів.

Щоб струм був тривалим, енергія електричного поля повинна весь час поповнюватись, тобто потрібен такий пристрій, в якому би певний вид енергії безперервно перетворювався в енергію електричного поля. Такий пристрій називається джерелом електрорушійної сили, або джерелом струму.

За напрямок електричного струму умовно приймають напрямок руху позитивних електричних зарядів.

Кількісною мірою електричного струму служить сила (величина) струму - скалярна фізична величина, яка чисельно дорівнює електричному заряду, що проходить через поперечний переріз провідника за одиницю часу:

Якщо сила струму і його напрямок з часом не змінюються, то струм називається постійним. Тоді

,


Звідси

Щоб струм був постійний, треба, щоб в кожній частині провідника заряди не нагромаджувались і не зникали. Тому коло постійного струму повинно бути замкненим.

Для характеристики розподілу електричного струму по перерізу провідника вводять вектор густини струму.



Розділ 2. Перетворювачі постійної напруги

.1 Класифікація перетворювачів постійної напруги

Перетворювачі постійної напруги (ППН) призначені для перетворення постійної напруги одного рівня в постійну напругу другого рівня з високим ККД. Іноді їх називають конверторами. Вони слугують для живлення навантаження постійною напругою Uн, відмінною за величиною від напруги джерела живленняUd.

За будовою ППН діляться на:

)   на двофазні ППН, які складаються з автономного інвентора (АІ), перетворюючого постійну напругу в змінну, та випрямляча. Трансформатор, який стоїть між випрямлячем та АІ, дозволяє отримати на виході напругу як меншу, так і більшу ніж вхідна.

2)      на безпосередні ППН, вироблені на основі перебивачів [6, 21, 35, 47, 58, 62].

Двофазні ППН найчастіше застосовуються в джерелах живлення систем управління та автоматики та будуть розглянуті пізніше.

2.2    Безпосередні ППН

.2.1 Понижуючі ППН

На мал.1.1а показано схему понижуючого ППН, який понижує напругу, а на мал.1.1б - діаграми напруг при навантаженні uн та на колекторі u к і струмів: споживаного від джерела живлення id, колектора iк, діода ід та навантаження iн. Побудови виконані при припущенні, що транзистор та діод ідеальні, ємність конденсатора Cф = ∞а струм в ланцюзі навантаження неперервний. Діод VD слугує для пропускання струму, що проходить при виключенні транзистора VT за рахунок енергії, запасеної в індуктивності навантаження. Конденсатор Сф зменшує втрати в джерелі струму, роблячи поглинання енергії від нього більш постійним. Якщо транзистор VT вмикається в момент t1, напруга джерела живлення прикладається до навантаження (до навантаження прикладається імпульс напруги), а коли він виключається в момент t2, струм навантаження протікає за рахунок енергії, запасеної в індуктивності Lн, та замикається через діод VD. В момент t3 процеси повторюються.

Для регулювання напруги на виході ППН змінюють тривалість включеного стану транзистора. Регулювання напруги, при якій частота подачі імпульсів на загрузку постійна, але змінюється їх тривалість, називається широтно-імпульсною модуляцією (ШІМ). ППН, в яких застосовується такий спосіб регулювання, називають широтно-імпульсними перетворювачами (ШІП).

Мал. 1.1а Схема понижуючого ППН

Мал. 1.1б Схема діаграми напруг і струмів, що описують роботу ППН

Таким чином, при ШІМ частота і період руху імпульсів постійні. Можливі і інші способи регулювання, при яких регулювання середнього значення напруги на виході відбувається зміною частоти руху імпульсів постійної тривалості (частотно-імпульсна модуляція) або одночасною зміною частоти та тривалості імпульсів (частотно-імпульсна модуляція). Найбільш частіше застосовується ШІМ. Тому далі ми розглядаємо тільки ШІМ.

Всі співвідношення нижче розглядаються для неперервного струму в навантаженні, коли за час проходження струму через діод він не спадає до нуля (див. мал. 1.1б). Ширина баласті змінних струмів зазвичай дуже мала, і навіть струм холостого ходу двигуна зазвичай не попадають в цю область, тому при проектуванні електроприводу вона, як правило, не враховується. [43]

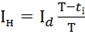
Чим більше транзистор знаходиться ввімкнутому стані, тим більше середнє значення напруги на навантаженні Uн

Uн = Ud, (1.1)

де відносна тривалість ввімкнутого стану транзистора.

Так як не може бути більшою ніж 1, то цей ППН називається понижуючим.

В понижуючому ППН відповідає відносній тривалості імпульсів напруги, що прикладаються до навантаження,тобто

 (1.2)

де tі - тривалість імпульсів напруги, що прикладаються до навантаження або тривалість включеного стану транзистора;

Т - період руху імпульсів.

Регулююча характеристика ППН - це залежність напруги на навантаженні від відносної тривалості ввімкненого стану транзисторів або в понижуючому ППН від відносної тривалості імпульсів напруги, що прикладаються до навантаження. Відповідно, рівняння (1.1) є рівнянням регулюючої характеристики понижуючого ППН. Тоді рівняння регулюючої характеристики понижуючого ППН в відносних одиницях (при умові що базова напруга Ud)

 (1.3)

Якщо вентилі ідеальні то ККД ППН рівний одиниці. При цьому потужність поглинена від джерела живлення, рівна потужності, виділеній в навантаженні

 (1.4)

де  - струм, що поглинається від джерела живлення,

 - струм навантаження.

З рівнянь (1.3) та (1.4) можна виразити струм навантаження

 (1.5)

У відповідності з формулою (1.3) діапазон регулювання вихідної напруги понижуючого ППН теоретично починається з нуля (при tі=0, =0) і досягає  (при tі=Т, =1), тобто ця схема понижує напругу і, у відповідності з формулою (1.5), збільшує струм. Схема працює як «трансформатор постійного струму». Введемо поняття коефіцієнту перетворення напруги Кі

 (1.6)

Тоді рівняння регулюючої характеристики

Кі=  (1.7)

На мал. 1.2 показані регулюючі характеристики різних ППН в залежності від відносної тривалості включеного стану транзисторів.

Мал. 1.2 регулюючі характеристики понижуючого, підсилюючого та інвертуючого ППН

Зовнішня характеристика ППН - це залежність середнього значення напруги при навантаженні від струму навантаження при постійній відносній тривалості включеного стану транзисторів. Зовнішня характеристика понижуючих ППН доволі жорстка. Вони мають достатньо великий ККД. Детальніше ці питання будуть розглянуті нижче.

2.2.2 Підсилюючий ППН

На мал. 1.3а показано схему безпосереднього ППН, який підвищує напругу, а на мал. 1.3б - діаграми напруг при навантаженні uн і на колекторі uк та струмів: поглинаючого від джерела id, колектора iк, діода iд і навантаження iн.

Розглянемо роботу схеми. В момент часу t1 вмикається транзистор VT, струм наростає через дросель L. В момент t2 вимикається транзистор і за рахунок енергії, збереженої в індуктивності, під дією суми напруги джерела живлення Ud та ЕДС самоіндукції через вентиль VD заряджається конденсатор Cн, а струм, використовуваний від джерела живлення, спадає.

В момент t3 процеси повторюються. В цій схемі, на відміну від попередньої, можна підняти тільки напругу.

Таким чином, на протязі часу tі струм іd проходить через транзистор, і запасається енергія в індуктивності. Потім, на протязі інтервалу часу T - tі струм іd проходить через діод на зарядку конденсатора та на навантаження. Постійна складова струму іd не проходить через конденсатор, тому середнє значення струму, що проходить через навантаження,

 (1.8)

Або Інd(1-) (1.9)

Тут  - відносний час ввімкнутого стану транзистора