Материал: Методичка - Практикум по СУХТП_Шифр 2-10_Кирюшин

Внимание! Если размещение файла нарушает Ваши авторские права, то обязательно сообщите нам

Уфимский государственный нефтяной технический университет

Кафедра автоматизации химико-технологических процессов

Практикум

по курсу

«СИстемы управления химико-технологическими системами системами»

для студентов специальностей

240403 Тп -Химическая технология природных энергоносителей и углеродных материалов,

240401 ТС-Химическая технология органических веществ,

240100 ХБ -Химическая технология и биотехнология

Уфа 2003

Методическое пособие содержит варианты практических заданий по курсам«Системы управления химико-технологическими процессами» для студентов специальностей 240403 ТП -Химическая технология природных энергоносителей и углеродных материалов, 240401 ТС-Химическая технология органических веществ, 240100 ХБ -Химическая технология и биотехнология

В пособии приведены примеры решения задач, перечислены условные обозначения на схемах автоматизации, приведен список литературы.

Составитель Кирюшин О.В., доц., канд. техн. наук

Рецензент Новоженин А.Ю., ст. преподаватель

 Уфимский государственный нефтяной технический университет, 2003

Практическая работа № 1

1 Общее задание:

1. По заданным дифференциальным уравнениям определить операторные уравнения при нулевых начальных условиях, передаточные функции, структурные схемы звеньев, характеристические уравнения и их корни. Показать распределение корней на комплексной плоскости.

Оценить устойчивость каждого из звеньев.

2. По заданной передаточной функции записать дифференциальное уравнение.

Варианты раздаются по номеру в списке группы или по выбору.

Пример решения задания 1

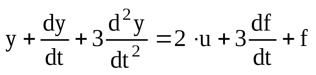
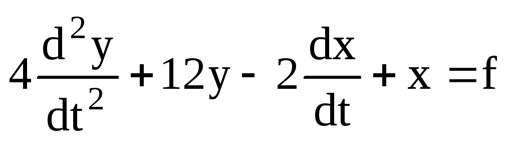
Дано дифференциальное уравнение, характеризующее динамику технологического объекта,

.

Если обозначить Y(s), X(s) и U(s) как изображения сигналов y, x и u соответственно, то операторное уравнение (при нулевых начальных условиях) в данном случае примет вид:

6,25s2Y(s) + 4sY(s) + Y(s) = 9X(s) – 1,2sX(s) - 5sU(s).

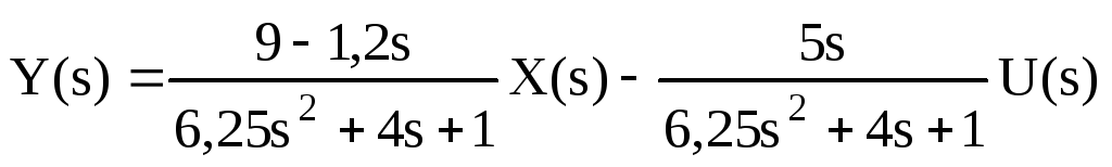
Данное уравнение можно преобразовать, вынеся Y(s) и X(s) за скобки:

Y(s). (6,25s2 + 4s + 1) = X(s). (9 – 1,2s) - 5sU(s).

Отсюда получено:

.

Если обозначить передаточные функции объекта как

,

то получается уравнение Y(s) = Wx(s).X(s) + Wu(s).U(s). Структурная схема объекта приведена на рис. 1.

Рис. 1

Рис. 2

Полученные передаточные функции имеют одинаковые знаменатели, называемые характеристическими выражениями:

A(s) = 6,25s2 + 4s + 1.

2

Если приравнять данное выражение к нулю, то образуется характеристическое уравнение 6,25s2 + 4s + 1 = 0, корни которого

и .

Распределение корней на комплексной плоскости показано на рис. 2. По рисунку видно, что корни лежат в левой полуплоскости, следовательно, объект устойчив. ♦

Пример решения задания 2

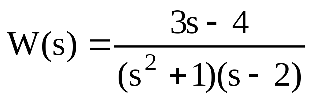
Дана передаточная функция вида

.

Для записи дифференциального уравнения необходимо учесть, что по определению , откуда получено:

,

Y(s) (s – 0,5)(3s2 + 2) = X(s) (7s3 + 5,5),

Y(s) (3s3 + 2s – 1,5s2 – 1) = X(s) (7s + 5,5),

3s3 Y(s) + 2s Y(s) – 1,5s2 Y(s) – Y(s) = 7s X(s) + 5,5 X(s).

Теперь, если применить обратное преобразование Лапласа, получается:

. ♦

Варианты заданий

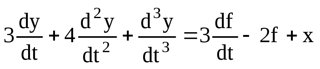
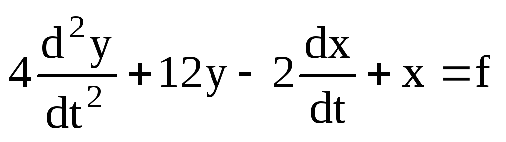
Вариант № 1

1. а) ; б) .

2. .

Вариант № 2

1. а) ; б) .

2..

Вариант № 3

1. а) ; б) .

2..

В

3

ариант № 4

1.а); б).

2..

Вариант № 5

1.а) ; б) .

2..

Вариант № 6

1.а) ; б) .

2..

Вариант № 7

1.а) ; б) .

2..

Вариант № 8

1.а) ; б) .

2..

Вариант № 9

1.а) ; б).

2..

Вариант № 10

1.а) ; б) .

2..

В

4

ариант № 11

1.а) ; б) .

2..

Вариант № 12

1.а) ; б) .

2..

Вариант № 13

1.а) ; б) .

2..

Вариант № 14

1.а) ; б) .

2..

Вариант № 15

1.а) ; б) .

2..

Вариант № 16

1.а) ; б) .

2..

Вариант № 17

1.а) ; б) .

2..

В

5

ариант № 18

1.а); б) .

2..

Вариант № 19

1.а) ; б) .

2..

Вариант № 20

1.а) ; б) .

2..

Вариант № 21

1.а) ; б) .

2..

Вариант № 22

1.а) ; б) .

2..

Вариант № 23

1.а) ; б) .

2..

Вариант № 24

1. а) ; б) .

2..