Материал: Методические указания для организации самостоятельной работы студентов по изучению раздела «Ряды» курса «Математический анализ». Глушко Е.Г., Дубровская А.П

Внимание! Если размещение файла нарушает Ваши авторские права, то обязательно сообщите нам

не превышала 0,00001. Воспользуемся оценкой погрешности, данной в предыдущем примере. Полагаем , тогда:

т.е. .

Путем подбора определим, при каком значении будет

выполняться неравенство . Пусть , тогда , т.е. . Пусть , тогда , т.е. . Принимаем .

.

Вычисляем каждое слагаемое с точностью до 0,000001, для того чтобы при суммировании не получить погрешность, превышающую 0,00001. Окончательно получаем .

5.3. Вычислить с точностью до 0,00001.

Решение. Имеем

.

Получен знакочередующийся ряд, удовлетворяющий условиям сходимости признака Лейбница, поэтому допускаемая погрешность по абсолютной величине должна быть меньше первого из отброшенных членов ряда. Нетрудно видеть, что , поэтому первый из отброшенных членов равен и . Вычисляем сумму и получаем .

5.4. Пользуясь разложением в ряд, вычислить с точностью до 0,0001 .

Решение. .

Достаточно взять три члена ряда, так как Тогда

5.5. Вычислить с точностью до 0,0001.

Решение. Воспользуемся разложением в ряд, полагая . Имеем

.

Четвертый и следующие за ним члены отбрасываем, так как четвертый член меньше 0,0001. Итак

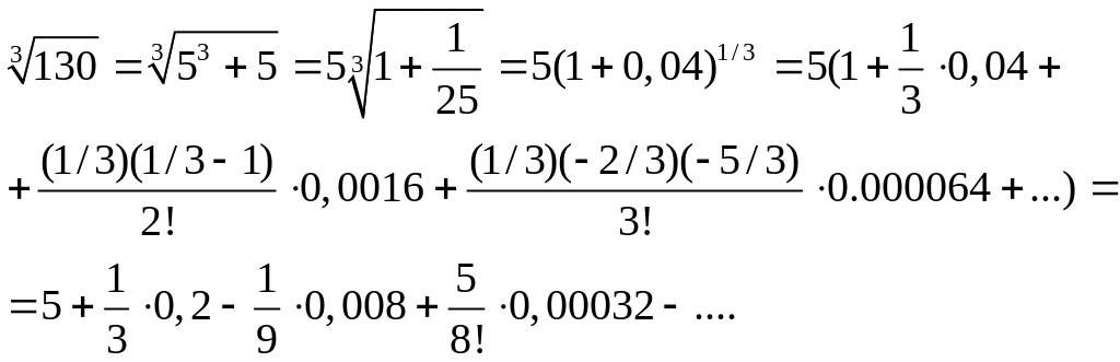
5.6. Вычислить с точностью до 0,001.

Решение. Так как является ближайшим к числу 130 кубом целого числа, то целесообразно число 130 представить в виде суммы двух слагаемых: . Тогда

Четвертый член меньше , поэтому его и следующие за ним члены можно отбросить. Итак,

, т.е. .

5.7. Вычислить с точностью до 0,0001.

Решение. Воспользуемся разложением в ряд:

,

или , откуда

Вычислить указанную величину приближенно с заданной степенью точности , воспользовавшись разложением в степенной ряд соответствующим образом подобранной функции.

5.8. . 5.9.

5.10. . 5.11. .

5.12. , . 5.13.

5.14. 5.15.

5.16. , 5.17.

Ответы: 5.8. 3,017. 5.9. 0,340. 5.10. 0,84147. 5.11. 1,3956.

5.12. 1,140. 5.13. 0,302. 5.14. 0,464. 5.15. 1,0986. 5.16. 0,999. 5.17. 0,3679.

Вычисление интегралов. Так как степенные ряды сходятся равномерно на любом отрезке, лежащем внутри их интервала сходимости, то с помощью разложений функций в степенные ряды можно находить неопределенные интегралы в виде степенных рядов и приближенно вычислять соответствующие определенные интегралы.

5.18. Вычислить с точностью

Решение. Воспользуемся разложением

.

Заменив в нем на , получим ряд

.

Данный ряд сходится на всей числовой прямой, поэтому его можно всюду почленно интегрировать. Следовательно,

, поскольку уже третий член полученного знакочередующегося ряда меньше

5.19. Найти интеграл в виде степенного ряда и указать область его сходимости.

Решение. Воспользуемся разложением

,

получим ряд для подынтегральной функции

.

Он сходится на всей числовой прямой, и, следовательно, его можно почленно интегрировать:

.

Поскольку при интегрировании степенного ряда его интервал сходимости не изменяется, то полученный ряд сходится также на всей числовой прямой.

Используя разложение подынтегральной функции в степенной ряд, вычислить указанный определенный интеграл с точностью до .

5.20. . 5.21. .

5.22. . 5.23. .

5.24. . 5.25. .

5.26. . 5.27. .

5.28. . 5.29.

Ответы: 5.20. 0,070. 5.21. 0,223. 5.22. 0,162 5.23. 0,480.

5.24. 0,054. 5.25. 0,484. 5.26. 0,487. 5.27. 0,156. 5.28. 0,059.

5.29. 0,103.

Приближенное решение дифференциальных уравнений. В случае, когда точно проинтегрировать дифференциальное уравнение с помощью элементарных функций не удается, его решение удобно искать в виде степенного ряда, например ряда Тейлора или Маклорена.

При решении задачи Коши

,

используется ряд Тейлора , где , а остальные производные находятся путем последовательного дифференцирования уравнения и подстановки начальных данных в выражения для этих производных.

Решение задачи Коши для дифференциального уравнения можно также искать в виде разложения в степенной ряд

с неопределенными коэффициентами .