Глава 2. Методологические основы
применения метода координат для решения задач школьного курса геометрии
.1 Этапы решения задач методом
координат
Чтобы решать задачи как и первого, так и второго типа методом координат, необходимо выполнение определенного алгоритма, состоящего из трех этапов.
Алгоритм решения задач 1 типа (задач на составление уравнения данной фигуры)
. Выявление характеристического свойства данной фигуры, т.е. такого ее геометрического свойства, которым обладают те и только те точки плоскости, которые фигуре принадлежат.
. Выбор на плоскости прямоугольной системы координат.
. Запись характеристического свойства фигуры на языке координат.
Алгоритм решения задач 2 типа (геометрические задачи, решаемые аналитическим методом)
. Перевод задачи на аналитический язык.
. Преобразование аналитического выражения.
. Определение по виду уравнения вид
фигуры.
.2 Два вида задач, решаемых методом
координат
В учебнике Атанасяна при изучении метода координат выделяется 2 основных типа задач:
1) Задачи на отыскание множества точек плоскости, удовлетворяющих заданному условию.
) Геометрические задачи, решаемые аналитическим методом.
Для разработки методики формирования умения применять координатный метод важно выявить требования, которые предъявляет логическая структура решения задач мышлению решающего. Координатный метод предусматривает наличие у обучающихся умений и навыков, способствующих применению данного метода на практике. Проанализируем решения некоторых задач. В процессе этого анализа выделим умения, являющиеся компонентами умения использовать координатный метод при решении задач. Знание компонентов этого умения позволит осуществить его поэлементное формирование.
Задачи, относящиеся к 1 типу.
Задача 1. Даны две точки A и B. Найдите
множество всех точек M, для каждой из которых ![]()
.
Решение:
) Введем прямоугольную систему
координат с началом в точке О(0;0) так, чтобы она была серединой отрезка ![]()
(умение оптимально выбирать систему
координат)
) Тогда точки A и B имеют
следующие координаты ![]()
, ![]()
(умение определять координаты
заданных точек)
) Для произвольной точки ![]()
имеем:
(умение находить расстояние между двумя точками)
) Если точка принадлежит искомому
множеству, то
![]()
.
Запишем это условие в координатах:
(умение переводить геометрическую задачу на аналитический язык)
) Раскрыв скобки, получаем ![]()
.
(умение выполнять алгебраические преобразования)
) Таким образом, искомое множество -
прямая, параллельная оси ![]()
. (эта прямая перпендикулярна к
прямой ![]()
и пересекает продолжение луча ![]()
в точке ![]()
, причем ![]()
(умение видеть за уравнением
конкретный геометрический образ).
Задача №2. Даны две точки ![]()
Найдите множество всех точек, для
каждой из которых расстояние от точки ![]()
в два раза больше расстояния от
точки B.
Решение: 1) Введем прямоугольную
систему координат с началом в точке A.
(умение оптимально выбирать систему координат)
) Тогда точки A и B имеют следующие
координаты:
(умение определять координаты заданных точек).
) Найдем расстояние от произвольной
точки ![]()
до точек ![]()
(умение находить расстояние между двумя точками, заданными координатами)
) Если точка M принадлежит
искомому множеству, то ![]()
или ![]()
Поэтому ее координаты удовлетворяют
уравнению:
![]()
(умение выполнять алгебраические преобразования)
Если точка M не
принадлежит искомому множеству, то ее координаты не удовлетворяют этому
уравнению => уравнение ![]()
и есть уравнение искомого множества
точек в выбранной системе координат.
Раскрываем скобки, группируем
слагаемые, получаем:
(умение выполнять алгебраические преобразования)
Это уравнение является уравнением
окружности радиуса ![]()
с центром в точке с центром в точке
![]()
(умение видеть за уравнением конкретный геометрический образ).
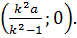
) Аналогично можно доказать, что
множеством всех точек M, удовлетворяющих условию ![]()
где k - данное
положительное число, не равное единице, является окружность радиуса ![]()
с центром в точке ![]()
Это окружности, соответствующие
различным значениям ![]()
называют окружностями Аполлония
(т.к. они рассматривались древнегреческим математиком Аполлонием в его трактате
«О кругах» во 2 веке до н.э.)
Если ![]()
то задача сводится к задаче о
нахождении множества всех точек, равноудаленных от точек ![]()
Таким множеством является
серединный перпендикуляр к отрезку AB.
Задача №3. Даны две точки A и B. Найдите
множество всех точек M, для каждой из которых: ![]()
где k - данное
число.
Решение:
) Пусть AB=2a, O - середина отрезка AB.
(умение оптимально выбирать систему координат)
) Тогда точки имеют следующие координаты: A(-a;0), B(a;0). (умение определять координаты заданных точек).
) Для произвольной точки M(x,y) имеем:
![]()
(умение находить расстояние между двумя точками, заданными координатами).
) Запишем заданное условие ![]()
в координатах.
(умение переводить геометрический язык на аналитический).
) Раскрывая скобки, получаем:
![]()
(умение выполнять алгебраические преобразования).
Так как k по условию любое, то следует рассмотреть 3 случая (в зависимости от числителя):
. ![]()
, следовательно, искомое множество -
окружность радиуса ![]()
с центром в точке О (середина
отрезка AB)
. ![]()
, следовательно, вся правая часть
уравнения равна 0, следовательно, уравнению удовлетворяют только координаты
точки О(0;0). Таким образом, искомое множество точек состоит из одной точки О -
середины отрезка AB)
. ![]()
, следовательно, правая часть
уравнения отрицательная, следовательно, координаты любой точки не удовлетворяют
уравнению.
(умение выполнять алгебраические преобразования; умение видеть за уравнением конкретный геометрический образ).
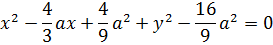
Задача №4. Даны две точки A и B. Найдите
множество всех точек M, для каждой из которых: а) ![]()
; б) ![]()
.
Решение:
а) 1. Введем прямоугольную систему координат с началом в точке A(0;0).
(умение оптимально выбирать систему
координат)
. В выбранной системе координат:
B(a,0), a=AB.
(умение определять координаты заданных
точек)
. Возьмем произвольную точку M(x,y).
(умение находить расстояние между точками, заданными координатами)
. Запишем в координатах условие ![]()
Это окружность радиуса 2a (2AB) с центром
в точке ![]()
(умение выполнять преобразование
алгебраических выражений; умение видеть за уравнением конкретный геометрический
образ)![]()
б) 1. Введем прямоугольную систему
координат с началом в точке A(0;0). (умение оптимально выбирать
систему координат)
. В выбранной системе координат:
B(a,0), a=AB.
(умение определять координаты заданных точек)
. Возьмем произвольную точку M(x,y).
(умение находить расстояние между точками, заданными координатами)
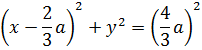
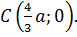
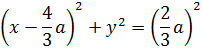
. Запишем в координатах условие ![]()
.
Это окружность радиуса ![]()
с центром в точке ![]()
(умение выполнять преобразование
алгебраических выражений; умение видеть за уравнением конкретный геометрический
образ)![]()
В данной задаче учащиеся должны уметь преобразовывать алгебраические выражения, выделяя полный квадрат, чтобы получить уравнение окружности. В учебнике Атанасяна для 7-9 классов автор предлагает специальную задачу, чтобы отработать это умение. Рассмотрим ее.
Задача №5. Выясните, какие из данных уравнений
являются уравнениями окружности. Найдите координаты центра и радиус каждой
окружности:
а) ![]()
б) ![]()
в) ![]()
г) ![]()
д) ![]()