Материал: Механика (статика). учебное пособие. Рябцев В.А

Внимание! Если размещение файла нарушает Ваши авторские права, то обязательно сообщите нам

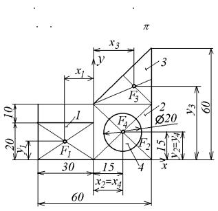
Пример 10.1. Определить координаты центра тяжести пластины, изображенной на рис. 10.3; размеры даны в см.

Решение. Разбиваем пластину на четыре фигуры: два прямоугольника 1 и 2, треугольник 3 и круг 4, причем площадь круга, как площадь отверстия, считаем отрицательной, а площадь прямоугольника 2 вычисляем, считая, что отверстие отсутствует:

F1 = 20 30 = 600 см2, F2 = 30 30 = 900 см2, F3 = 0,5 30 30 = 450 см2, F4 = - r2 = -314 см2.

Рис. 10.3

Выбираем систему координат с таким расположением осей координат, чтобы было удобно определять координаты центров тяжести составных элементов фигуры. Определяем координаты центров тяжести всех элементов фигуры. Центр тяжести треугольника находится в точке пересечения его медиан, т. е. на расстоянии одной трети длины каждой медианы от соответствующей стороны треугольника. Тогда

х1 = -15 см; y1 = 10 см; х3 = 20 см; у3 = 40 см; х2 = 15 см; у2 = 15 см; х1 = 15 см; y1 = 15 см.

201

По формулам (10.5) и (10.6) находим координаты центра тяжести пластины

 

xC

 

F1 x1

F2 x2

F3 x3

F4 x4

 

 

 

 

 

 

F1

F2

F3

F4

 

 

 

 

 

 

 

600 15

900 15

450 20

314 15

5,4см ,

 

 

 

 

 

 

 

 

 

 

 

600

900

450

314

 

 

 

 

 

 

 

 

yC

F1 y1

F2 y2

F3 y3

F4 y4

 

 

 

 

 

F1

F2

F3

F4

 

 

 

 

 

 

 

600 10

900 15

450 40

314 15

 

20см .

 

 

 

 

 

 

 

 

 

 

 

600

900

450

314

 

 

 

 

 

 

 

Пример 10.2. Определить положение центра тяжести симметричного сечения, показанного на рис. 10.4, состоящего из полосы размером 120 х 10 мм, двутавра № 12 (ГОСТ 823972) и швеллера № 14 (ГОСТ 8240-72).

Решение. Разбиваем сечение на три фигуры: 1 - полоса, 2 - двутавр и 3 - швеллер. Находим площади каждой части, выражая их в см2. При этом площади двутавра и швеллера берем из таблиц ГОСТа: F1 = 12 1 = 12 см2; F2 = 14,7 см2; F3 = 15,6 см2.

Выбираем оси координат так, чтобы ось y совпала с осью симметрии, а ось х прошла через центр тя-

жести двутавра. Определяем рас- Рис. 10.4 стояния от центров фигур до оси х2,

проходящей через центр тяжести двутавра: у1 = - (h/2 + 0,5) = - (12/2 + 0,5) = - 6.5 см (где h - высота двутавра); у2 = 0; у3 = h/2

202

+ х0 = 12/2 + 1.67 = 7.67 см (где х0 - координата центра C3 масс швеллера, определяемая по таблице ГОСТа).

По (10.4) находим координаты центра масс всего сечения

xc

0 ,

12

6 ,5

14,7

0

15,6

7,67

1см .

yC

 

 

 

 

 

 

 

12

14,7

 

15,6

 

 

 

 

 

 

 

 

§ 10.2. Геометрические характеристики поперечных сечений стержня

При решении различных задач по со-

 

противлению материалов возникает необ-

 

ходимость оперировать некоторыми гео-

 

метрическими характеристиками попереч-

 

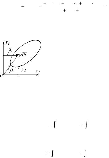
ных сечений стержней. Возьмем некоторое

 

поперечное сечение стержня и систему ко-

 

ординат z1y1 (рис. 10.5). Выделим элемен-

Рис. 10.5

тарную площадь dF с координатами z1 и y1

Площадь этого сечения

 

F dF .

F

Статические моменты сечения, как было указано в предыдущем параграфе, определяются выражениями

S x1

y1dF; S y1

x1dF .

F

 

F

Осевые моменты инерции сечения относительно осей х1

и y1

J

x1

y 2 dF; J

y1

x2 dF .

(10.7)

 

1

1

 

 

 

F

 

F

 

Здесь dF – элемент площади сечения, а F – площадь сечения.

203

Осевые моменты инерции всегда положительны и не могут быть равны нулю.

Они измеряются в единицах длины в четвертой степени, например, в см4.

10.2.1. Зависимость между моментами инерции относительно параллельных осей

Пусть точка С является цен-

 

 

тром тяжести сечения (рис. 10.6) и

 

 

оси х и у проходят через нее, а оси

 

 

х1 и y1 параллельны осям х и у и

 

 

проходят через точку О. Тогда мо-

Рис. 10.6

мент инерции сечения относитель-

но оси х1

 

 

 

 

 

 

J x1

( y b )2 dF

y 2 dF

2b ydF

b2 dF .

 

F

F

F

F

Первый интеграл равен моменту инерции J, относительно оси х, второй интеграл обращается в нуль, поскольку ось х проходит через центр тяжести (см. (10.6)), а третий интеграл есть площадь сечения. Следовательно,

J x1 J x b2 F , J y1 J y a2 F ,

(10.8)

т. е. момент инерции сечения относительно произвольной оси, лежащей в его плоскости, равен моменту инерции относительно центральной оси, параллельной этой оси, плюс произведение площади сечения на квадрат расстояния между осями.

Соотношения (10.8) выражают теорему Штейнера. Радиусы инерции сечения относительно осей х и у

 

 

 

 

 

 

iy

J y F , iz

J z F .

(10.9)

Радиусы инерции измеряются в единицах длины, например в см.

204

10.2.2. Полярный момент инерции Полярный момент инерции есть момент инерции сечения

относительно оси, перпендикулярной плоскости сечения. Его определяют выражением

J

2 dF ,

(10.10)

 

P

 

F

где каждый элемент площадью dF умножается на квадрат расстояния до точки О пересечения оси с плоскостью сечения.

Из рис. 10.5, следует, что

12 = х12 + y12. Тогда

 

J

P1

2 dF

( x

2

y 2

)dF

 

 

1

1

1

 

 

 

 

 

F

 

 

 

 

 

 

 

 

 

x2 dF

y 2 dF

J

x1

J

y1

.

(10.11)

 

1

1

 

 

 

 

 

 

F

F

 

 

 

 

 

 

 

Следовательно, полярный момент инерции относительно произвольной точки О равен сумме моментов инерции относительно взаимно перпендикулярных осей, проходящих через ту же точку.

При повороте осей вокруг точки, являющейся началом системы координат, сумма осевых моментов инерции остается неизменной, т. е.

JP1 = Jх1 + Jу1 = const.

(10.12)

Это выражение удобно использовать для вычисления неизвестного осевого момента инерции по известным полярному и осевому моментам инерции.

10.2.3. Центробежный момент инерции Центробежный момент инерции сечения относительно

осей х1 и y1 (см. рис. 10.5) определяется как интеграл:

J x1 y1 x1 y1dF , (10.13)

F

205