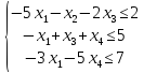
n=5 (кол-во переменных)
m=3 (кол-во уравнений)
n-m=2=k
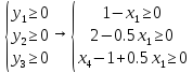
Пусть
и
свободные переменные

Осуществили обратный переход

и
свободные


Штриховка
так, чтобы





Получили открытую ОДР, следовательно, решение на [AB]
(если
бы по условию
,
то решения не было бы)
Решение
в опорной точке (.)А:

Алгоритм выполнения симплекс-метода решения задачи ЛП:
Запишем
исходные данные в виде системы уравнения,
где
,
,
,
–свободные переменные

стремится
к минимуму
Введем базовые переменные
n = 7 (указано в дано к задаче), m = 3 (кол-во уравнений), k = n – m = 4 (базовых переменных)
Базисными
обозначим:



Приравняем все свободные переменные (т.е. все оставшиеся) к нулю.


Мы
получили первую опорную
точку
,
однако же обратим внимание на то, что
при
стоит минус. Это значит, что, сделав
переменную положительной, мы получим
меньшее значение
.
В таких случаях говорят, что функция
убывает быстрее при положительных
значениях
.
Базисные переменные априори ≥ 0,
следовательно сделаем
базисной.
Очень
просто:
у тебя стоит -
,
значит если
,
например, 4 →
,
что меньше, чем, например, если бы
стал
→

Если
бы мы получили такую функцию L,
где все значения
были бы с
,
то такое значение называлось бы
оптимальным
(то, к чему мы стремимся по ходу решения).
Процедура замены свободной переменной на базисную
В
контексте нашей задачи в первом и во
втором неравенстве есть отрицательный
.
Необходимо выбрать какую базисную
переменную будем заменять
или
.
Смотрим на коэф-ты при иксе, в первом
случае функция убывает быстрее, т.к.
меньше, чем
,
следовательно выбираем
.


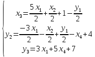
Выразили
через
и подставили получившееся выражение
во второе неравенство вместо
(в третьем нечего было заменять).
Очень
доходчиво:
первым делом мы поделили все в первом
неравенстве на коэф-т, стоящий при
(2) и перенесли в правую часть новые
свободные переменные,
а в левой остался
как базисный.



Обратите внимание
тоже меняется

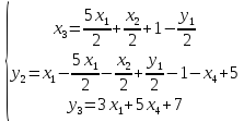
Таким образом получаем промежуточную систему уравнений:


Пусть
, тогда
,
хороший результат, но все же мы видим,
что перед
стоит минус, значит можно сделать L
ещё меньше, необходима вторая замена
по тому же алгоритму. Выбираем
,
т.к. других вариантов просто нет.



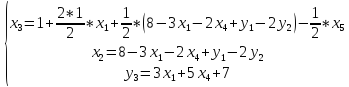
Сделаем последние преобразования

Рассмотрим применение данного алгоритма на конкретном примере.
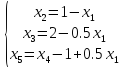
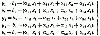
Рассмотрим систему пяти уравнений-ограничений:

с четырьмя свободными переменными: x1, x2, x3, x4. Пусть нам требуется вывести из числа свободных какую-нибудь переменную, например x2 и перевести ее в базисные, а взамен ее ввести в число свободных какую-то базисную переменную, скажем y3 короче, мы хотим обменять местами переменные x2 и y3. Эту замену мы будем символически обозначать
![]()
Посмотрим, какие действия надо для этого осуществить.
Вообще,
можно было бы для каждой новой системы
уравнений проводить переразрешение
заново, т.е. для замены
.
Мы взяли бы в третьем уравнении (6.1) член а32х2, содержащий х2 (назовем его «разрешающим членом»; разумеется, предполагаем а32≠0 ) , перенесли бы его в левую часть, а у2 – в правую; решили бы уравнение относительно х2 и подставили бы выражение для х2 во все остальные уравнения. Процедура достаточно громоздкая, требующая напряженного внимания; при ее выполнении легко ошибиться (особенно при большом числе уравнений). Но так как здесь каждый раз нужно проделывать одни и те же операции, то их достаточно выполнить один раз в общем виде и вывести правила преобразования, которые затем можно применять автоматически.
Целесообразно предварительно несколько преобразить систему уравнений (6.1), представив их правые части как разности между свободными членами и суммой остальных:

(6.1)
Обозначая
![]()
получим:

(6.2)
Форму записи уравнений (6.2) мы будем называть стандартной.
Очевидно, вместо того чтобы полностью записывать уравнения (6.2), можно ограничиться заполнением стандартной таблицы, где указаны только свободные члены и коэффициенты при переменных. Первый столбец таблицы мы отведем под свободные члены, второй, третий, четвертый и пятый – под коэффициенты при переменных х1, х2, х3, х4 в стандартной форме (6.2). Стандартная таблица для системы (6.2) имеет следующий вид (Табл.6.1).
Таблица 6.1.

Мы
хотим произвести замену
Т.е. перевести переменную х2
в число базисных, а переменную у3
- в число свободных. Выделим в стандартной
таблице разрешающий элемент α32
(обведем его кружком); выделим так же
жирными линиями строку и столбец, в
которых стоит разрешающий элемент. Эту
строку и этот столбец мы будем называть
разрешающей
строкой и разрешающим столбцом
(см.табл. 6.2).

Пусть
,
тогда

Отметим,
что в выражении L
все знаки при коэф-тах положительны,
больше преобразовывать ничего не нужно,
мы получили минимальное значение

Ответ:
