Игра 2х2 – самая простая конечная игра, её матрица имеет вид табл. 3.2.


Если для этой матрицы α=β, то игра имеет седловую точку и её решение – это пара чистых стратегий, пересекающихся в седловой точке.
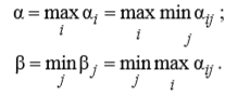
Если
в этой матрице седловой точки нет и α≠β,
то необходимо искать решение в смешанных
стратегиях. Пара оптимальных смешанных
стратегий:
и
цена игры в этом случае определяется
по формулам:

Решение игры 2х2 допускает наглядную геометрическую интерпретацию.
Пусть игра задана платежной матрицей Р = (аij), i, j = 1, 2. По оси абсцисс отложим единичный отрезок А1А2; точка A1 (x = 0) изображает стратегию А1, а все промежуточные точки этого отрезка —смешанные стратегии SA первого игрока, причем расстояние от SA до правого конца отрезка —это вероятностьр1стратегииА1, расстояние до левого конца —вероятность p2 стратегии А2. На перпендикулярных осях I—I и II—II откладываем выигрыши при стратегиях А1 и А2 соответственно. Если 2-й игрок примет стратегию В1, то она дает выигрыши а11 и а21 на осях I—I и II—II, соответствующие стратегиям А1 и А2. Обозначим эти точки на осях I—I и II—II буквой В1.Средний выигрыш v1, соответствующий смешанной стратегии SA, определяется по формуле математического ожидания v1 = а11р1 + а21р2 и равен ординате точки М1, которая лежит на отрезке В1В1 и имеет абсциссу SA (рис. 1).

Рис. 1 Рис. 2
Аналогично строим отрезок В2В2, соответствующий применению вторым игроком стратегии В2 (рис. 2). При этом средний выигрыш v2 = а12р1 + а22р2 — ордината точки М2.
В соответствии с принципом минимакса оптимальная стратегия S*A такова, что минимальный выигрыш игрока А (при наихудшем поведении игрока В) обращается в максимум. Ординаты точек, лежащих на ломаной (рис. 3), показывают минимальный выигрыш игрока А при использовании им любой смешанной стратегии (на участке B1N —против стратегии В1, на участке NB2 —против стратегии B2). Оптимальную стратегию S*A = (p*1, р*2) определяет точка N, в которой минимальный выигрыш достигает максимума; ее ордината равна цене игры v. На рис.3 обозначены также верхняя и нижняя цены игры и .
Применим геометрический метод для решения следующей задачи.

Рис. 3 Рис. 4
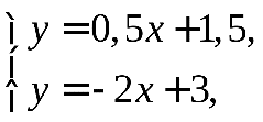
Пример. Решить графически игру, заданную платежной матрицей:


Решение. Откладываем по оси абсцисс (рис. 4) единичный отрезок А1А2. На вертикальной оси I—I откладываем отрезки: а11 = 1,5, соответствующий стратегии В1, и а12 = 3, соответствующий стратегии В2. На вертикальной оси II—II отрезок а21 = 2 соответствует стратегии В1, отрезок а22 = 1 соответствует стратегии В2 (см. рис. 4). Нижняя цена игры =а11 = 1,5. Верхняя цена игры =а21 = 2, седловая точка отсутствует. Из рис. 4 видно, что абсцисса точки N определяет оптимальную стратегию S*A, а ордината —цену игры v. Точка N является точкой пересечения прямых В1В1 и В2В2. Уравнение прямой В1В1, проходящей через точки (0; 1,5) и (1;2):
![]()
Уравнение прямой В2В2, проходящей через точки (0; 3) и (1;1):
![]()
Точка пересечения прямых является решением системы:
-
там знак системы, он
не исправляется
или х = 0,6; у = 1,8, т. е. N (0,6; 1,8).
Таким образом, р*1 = 0,6, р*2 = 1 — 0,6 = 0,4; оптимальная стратегия S*A = (0,6; 0,4), цена игры v = 1,8.
Геометрически можно также определить оптимальную стратегию игрока В, если поменять местами игроков А и В и вместо максимума нижней границы А2МА1 в соответствии с принципом минимакса (рис. 5) рассмотреть минимум верхней границы.

Рис. 5
Абсцисса точки М определяет q*2в оптимальной стратегии игрока В, ордината этой точки —цена игры. Прямая А1А1, проходящая через точки (0; 1,5) и (1; 3), удовлетворяет уравнению
![]()
Прямая А2А2, проходящая через точки (0; 2) и (1; 1), удовлетворяет уравнению у =—х +2.
Координаты их точки пересечения М —это решение системы уравнений:
![]()
откуда х = 0,2; у = 1,8, т. е. q*2 = 0,2, q*1 = 1— q*2 = 0,8, х =у = 1,8, S*B = (0,8; 0,2).
Оптимальное решение игры найдено.
Из решения задачи следует, что геометрически можно определять оптимальную стратегию как игрока А, так и игрока B, в обоих случаях используется принцип минимакса, но во втором случае строится не нижняя, а верхняя граница выигрыша и на ней определяется не максимум, а минимум. Если платежная матрица содержит отрицательные числа, то для графического решения задачи лучше перейти к новой матрице с неотрицательными элементами; для этого к элементам исходной матрицы достаточно добавить соответствующее положительное число. Решение игры при этом не изменится, а цена игры увеличится на это число. В примере выше платежная матрица не имела седловой точки ().
При наличии седловой точки графическое решение дают варианты, изображенные на рис. 6 и 7. На рис. 6 наибольшей ординатой на ломаной B1NB2 обладает точка B2, поэтому оптимальной является чистая стратегия А2 для игрока А (В2 —для игрока В), т.е. оптимальное решение: S*A = (0; 1), S*B = (0; 1). Игра имеет седловую точкуа22 = v.

Рис. 6 Рис. 7
Чистая стратегия В2 (рис. 7) не выгодна для игрока В, поскольку при любой стратегии игрока А она дает последнему больший выигрыш, чем чистая стратегия В1. На основании принципа минимакса выделим прямую В1В1 и на ней точку В1 с наибольшей ординатой на оси I—I. Чистая стратегияА2является оптимальной для игрока А, а чистая стратегия В1 —для игрока В.
Оптимальное решение: S*A = (0;1), S*B = (1;0), цена игры v=а21= =, т.е. имеется седловая точка.
Пусть мы располагаем двумя стратегиями А1, А2, а противник – n стратегиями: В1, В2 …Вn. Матрица || aij || состоит из двух строк и n столбцов. Аналогично случаю двух стратегий дадим задаче геометрическую интерпретацию: n стратегий противника изобразятся n прямыми.

Строим нижнюю границу выигрыша (ломаную В1MN В2) и находим на ней точку N с максимальной ординатой.
Эта точка дает решение игры (стратегию):

ордината
точки N
равна цене игры, а абсцисса равна частоте
стратегии

В данном случае (см. рисунок) оптимальная стратегия противника получается применением смеси двух «полезных» стратегий: В1 и В4, пересекающихся в точке N.
Стратегия
B3
является заведомо невыгодной, а стратегия
B1
– невыгодной при оптимальной стратегии
.
Если А будет придерживаться своей
оптимальной стратегии, то выигрыш не
изменится, какой бы из своих «полезных»
стратегий ни пользовался В, однако, он
изменится, если В перейдет к стратегиям
B1
или B3.
В теории игр доказывается, что у любой конечной игры mn имеется решение, в котором число «полезных» стратегий той и другой стороны не превосходит наименьшего из двух чисел m и n. В частности, из этого следует, что у игры 2n всегда имеется решение, в котором с той и другой стороны участвует не более двух «полезных» стратегий.
Пользуясь геометрической интерпретацией, можно дать простой способ решения любой игры 2n. Непосредственно по чертежу находим пару «полезных» стратегий противника Bj и Bk, пересекающиеся в точке N (если в точке N пересекается более двух стратегий, берем любые две из них). Мы знаем, что если игрок А придерживается своей оптимальной стратегии, то выигрыш не зависит от того, в какой пропорции применяет В свои «полезные» стратегии, следовательно,


Из
этих уравнений и условия
,
находим
и
и цену игры v
(В
методе цена игры обозначается, как
).
Зная стратегию игры, можно сразу определить оптимальную стратегию игрока В:

Для этого решается, например, уравнение:

ДРУГОЙ ПРИМЕР (БОЛЕЕ ПОНЯТНЫЙ)
Любая
конечная игра m
n
имеет решение, в котором число активных
стратегий каждого игрока не превосходит
L,
где L
= min
(m,
n)
У
игры 2
n
или m
2
всегда имеется решение, содержащее не
более двух активных стратегий у каждого
из игроков (min(2,
n)=min(m,2)=2).
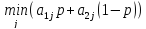
Пусть платежная матрица игры имеет вид:

Согласно теореме об активных стратегиях, решение находится из уравнения:

Найти максимум (по р) функции:

Для этого необходимо построить n прямых вида:

На
плоскости (p,
,
p
[0,1]
и путем визуального сравнения выбрать
ломанную, огибающую их снизу

Пример:
Матричная
игра 2
n
задана следующей матрицей:

Найти: решение игры графическим и аналитическим методом.
Решение:
Сначала необходимо определит, решается ли данная игра в чистых стратегиях, то есть существует ли седловая точка или нет.


Вычисляя, получим:


Цена
игры

Так
как
,
то игра имеет седловой точки, и поэтому
имеет решение в смешанных стратегиях.
Строим графическое изображение игры:
