Материал: Математическое моделирование

Внимание! Если размещение файла нарушает Ваши авторские права, то обязательно сообщите нам

) (1.8)

где у - вектор начальных условий размерности n. Здесь n - порядок дифференциального уравнения или число уравнений в системе (если решается система дифференциальных уравнений); x1 и x2 - начало и конец интервала интегрирования, на котором ищется решение дифференциального уравнения.

Начальные условия, заданные в векторе у, - это значения решения в точке х1; m - число точек, в которых ищется приближенное решение. При помощи этого аргумента определяется число строк (1+m) в матрице, возвращаемой указанной функцией.[2]

2. Алгоритмический анализ задачи

.1 Полная постановка задачи

С использованием системы MathCAD

.1 Рассчитать значения функций напряжения на конденсаторе и тока в цепи без учета гармонического воздействия U(t). Построить графики этих функций.

.2 Рассчитать значения функций напряжения на конденсаторе и тока в цепи с учетом гармонического воздействия U(t). Построить графики этих функций.

.3 Для функции напряжения, полученной в п.1.1, исследовать влияние индуктивности L1 на минимальное значение напряжения на конденсаторе, проведя 6-8 опытов. Полученные результаты записать в файлы данных.

С использованием системы Scilab

.4 Считать файлы данных, полученные в п.1.3. Построить сводный график функций напряжения. Построить график зависимости минимумов напряжений от индуктивности.

.5 Выполнить аппроксимацию полученной зависимости, построить график исходной и аппроксимирующей функций.

.6 Для функции тока i2, полученной в п.1.1, вычислить время, при котором ток достигает порогового значения, равного -0.005. Дать графическую интерпретацию результата.

.2 Анализ исходных и результирующих данных

Исходными данными для работы являются:

С - значение емкости конденсатора;

С =1.05∙10-3 Ф

R- исходное сопротивление;

R =56 Ом

L1,L2- значения индуктивностей;

L1=0.025 Гн

L2=0.05 Гн

U(t) - исходная функция гармонического воздействия;

Um - амплитуда гармонического воздействия;

Um=4 В

ω - частота;

ω=460 Гц

Т - время исследования.

Т=0,55 с

Таблица 1.1 - Значения варьируемого параметра L

0.026

0.028

0.03

0.035

0.04

0.045


Начальные значения для расчета п.1.1: UC(0)=0.1,i2(0)=1В, i1(0)=0

Результатами расчетов являются:

значения функций напряжения на конденсаторебез учета гармонического воздействия U(t).

значения функций напряжения на конденсаторес учетом гармонического воздействия U(t).

зависимость минимального значения напряжения на конденсаторе от значения индуктивности L1.

-график зависимости минимумов напряжений от индуктивности

-аппроксимация зависимости минимумов напряжений от индуктивности

-время, при котором ток i2 достигает порогового значения, равного -0.005.

2.3 Описание математической модели

Рисунок 2.1 - Линейная электрическая цепь системы

Работу цепи, приведенной на рисунке, описывает система дифференциальных уравнений вида:

(2.1)

Для их решения преобразуем систему в следующий вид:


После замены переменных система примет вид:


Для случая, где значение ЭДС не учитывается:


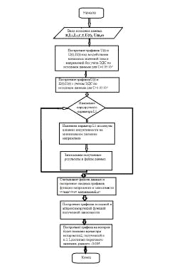
.4 Графическая схема алгоритма

Рисунок 2.2 - Схема алгоритма решения задачи

3. Описание реализации задачи в Mathcad и Scilab

.1 Описание реализации базовой модели

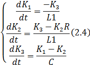
Задача состоит в том, чтобы решить данные дифференциальные уравнения без учёта ЭДС . Для решения поставленной задачи введем исходные данные . С использованием системы MathCAD рассчитываем значения функций тока и напряжения в заданной электрической схеме. Для этого с помощью функции rkfixed (метод Рунге - Кутта) решаем систему дифференциальных уравнений (2.2), которая является математической моделью поставленной задачи. Где k1 - значение тока i1, k2 - значение тока i2, k3 - значение напряжения Uc, (уравнение 2.4). , которая решает уравнения методом Рунге-Кутта 4-го порядка. Выводим таблицу значений времени, напряжений на обоих конденсаторах и тока. В которой первый столбец - значение времени Т, второй столбец - значение силы тока I1, третий столбец - значение силы тока I2, четвертый столбец-значение напряжения Uс.

Рисунок 3.1 - Результирующая матрица F

Строим графики зависимости i1(t), Uc(t) и i2(t).

Рисунок 3.2 Зависимость тока i1 от времени.

Рисунок 3.3 Зависимость тока i2 от времени.

Рисунок 3.4 Зависимость напряжения Ucна конденсаторе от времени.

Аналогично решаем систему дифференциальных уравнений(2.2) с учетом ЭДС. В самом решении меняем лишь вектор исходных данныхк и вектор, содержащий первые производные функций. В вектор к вписываем нулевые значения. В результате получаю значения функции тока на катушке индуктивности и напряжений на конденсаторах в заданной электрической схеме с ЭДС.

Выводим таблицу значений времени, напряжений на обоих конденсаторах и тока.В которой первый столбец - значение времени Т, второй столбец - значение силы тока I1, третий столбец - значение силы тока I2, четвертый столбец-значение напряжения Uс.(Приложение А)

Строим графики зависимости i1(t), Uc(t) и i2(t).

Рисунок 3.5 Зависимость тока i1 от времени.

Рисунок 3.6 Зависимость тока i2 от времени.

Рисунок 3.7 Зависимость напряжения Ucна конденсаторе от времени.

.2 Описание исследований(Приложение А)

Исследуем влияние индуктивности L1 на минимальное значение напряжения на конденсаторе. Для этого изменяем варьируемый параметр L1 от 0.026 до 0.045 решаем дифференциальное уравнение с помощью функции rkfixed. По каждому из проведённых опытов, в зависимости от значения варьируемой индуктивности L1, построили графики зависимостей токов и напряжений от времени.

Таблица 3.2.1 - Значения варьируемого параметра L1

0.0260.0280.030.0350.040.045







На примере рассмотрим 1 опыт. Решаем дифференциальное уравнение с помощью функции rkfixed. Берём L1=0.026Гн. Строим график зависимости напряжения от времени.

Рисунок 3.2.2 - График зависимости напряжения от времени

Остальные 5 опытов проводим аналогично, для каждого значения L1. Затем получившиеся графики функций напряжения на конденсаторе строим на одном поле:

Рисунок 3.10-Сводный график зависимости напряжения от времени

Сохраняем полученные результаты в файлы данных по примеру опыта 1 с помощью функции:


В остальных 5 опытах полученные результаты сохраняем в файлы данных аналогично. (Приложение А)

3.3 Описание реализации базовой модели в Scilab

Считываем файлы данных полученных в п.1.3.Для считывания данных Mathad используем функцию read. Функция read предназначена для чтения файлов данных в памяти Scilab. В данной курсовой работе имеют место следующие обозначения и параметры: А-матрица, размерность которой (-1,1) в которой «:»-означает все строки, а число 1-обозначает первый столбец.Т-матрица времени, размерностью (-1,1).

"r111.dat"-Имя файла данных.

A(:,1)=read("r111.dat",-1,1)- пример считывания файла данных.

Аналогично считываем другие файлы данных.

ФункцияFigureпредназначена для создания графического окна.

Для построения графика зависимости минимумов напряжений от индуктивности используем функцию plot(T,A)

3.4 Описание исследований в Scilab

Для выполнения аппроксимации зависимости минимумов напряжений от индуктивности создаем графическое окно(2). Задаем вектор варьируемого параметра L. Для поиска минимумов напряжений создаем цикл с предусловием в котором используется стандартная функция работы с матрицами min. Задаем столбец начальных значений для коэффициента аппроксимирующей функции. С помощью команды datafit (метод наименьших квадратов)осуществляется параметрическое приближение экспериментальных данных к функции зависимости минимумов напряжений от индуктивности . Для данной зависимости подобрана функция:Y=k(1).*(X.^2)+k(2).*X+k(3)Для функции тока i2, полученной в п.1.1, вычисляем время, при котором ток достигает порогового значения, равного -0.005. Для этого задаем переменной v значение времени Т, а переменной О значение тока i2. Далее составляем программный фрагмент в котором находим время при котором ток достигает порогового значения, равного -0.005. Даем графическую интерпретацию результата.

.5 Вывод по результатам исследований

При выполнении курсовой работы с помощью СКМ Mathcad были вычислены значения функций напряжения на конденсаторе без учета гармонического воздействия U(t) и с учетом гармонического воздействия U(t) при помощи функции rkfixed. Была получена зависимость минимального значения напряжения на конденсаторе от значения индуктивности L1, которое изменялось от 0.026 до 0.045 Гн. Были построены графики зависимостей U(t)с учетом гармонического воздействия и без него.

Также был построен сводный график зависимость минимального значения напряжения на конденсаторе от значения индуктивности L1=0.026...0.045 Гн.

В СКМ Scilab при помощи программного фрагмента были найдены минимумы напряжений. После чего был построен график зависимости минимумов напряжений от индуктивности. Была выполнена аппроксимация зависимости минимумов напряжений от индуктивности с помощью подобранной функции Y=k(1).*(X.^2)+k(2).*X+k(3). Далее с помощью программного фрагмента было найдено время, при котором ток i2 достигает порогового значения, равного -0.005. Данное значение равно 0.02035с.Для наглядности даем графическую интерпретацию результата.

Список использованных источников

1.Майер Р.В. Расчет электрических целей в системе MathCAD: Учебное пособие. - Глазов: ГГПИ, 2007, - 44 с.

.Дьяконов А. А. Справочник по MathCAD2000. М.: Ск - пресс, 2000.-352с.

3.Зарубин В.С. Математическое моделирование в технике: Учеб, для вузов / Под ред. В.С. Зарубина, А.П. Крищенко. - 2-е изд., стереотип. - М.: Изд-во МГТУ им. Н.Э. Баумана, 2003. -496 с.

.http://allbest.ru/k-3c0b65625b3ac68b5d43a89421216d37.html

5. Конспект лекций по курсу “Информатика”.

6.Турчак Л. И.. Основы численных методов: Учеб. пособие.- М.: Наука Гл. ред. физ.-мат. лит., 1987.- 320 с.