3.5 Влияние покупателей
В конкурентной борьбе, покупатели играют значимую роль.
Сила покупателей - высокая. Вследствие большого
количества торговых марок в разном ценовом сегменте, покупатель не привязан к
конкретному производителю и часто пользуется ситуативным выбором. Следует
отметить, что наиболее динамично развивающийся последние годы сегмент рынка с
высокой добавочной стоимостью, характеризуется высокой эластичностью спроса к
цене. Таким образом, степень влияния покупателя на ценообразующий фактор весьма
существенна и в период кризиса может усилиться.
.6 Проблемы, ограничивающие развитие отрасли
Молоко и молочные продукты традиционно являются жизненно важным звеном в рационе россиян. В стоимости потребительской корзины их доля составляет 16 %. При этом Россия существенно отстает от развитых стран в потреблении молока. На сегодняшний день на среднестатистического жителя нашей страны приходится примерно 270 литров этой продукции в год, что почти в два раза ниже норм, рекомендованных специалистами по питанию. Вместе с тем, как утверждает Бауыржан Торланов, директор Региональной дирекции «Урал» компании «Вимм-Билль-Данн», ситуация на рынке сегодня относительно стабильная. В молочной промышленности легко не было никому и никогда, поэтому у участников рынка уже выработался иммунитет к трудностям.
В целом молочный рынок ежегодно демонстрировал стабильные темпы роста - 4-5 % в год, его общий объем достиг 40 миллионов тонн в натуральном выражении.
Еще одна причина уменьшения объемов потребления, разумеется, кроется в том, что молочные продукты сегодня стали менее доступны населению из-за падения покупательской способности людей. Основная масса потребителей сегодня испытывает затруднение в финансах, поэтому продажи ограничены и возможности молочной промышленности в полной мере не реализуются.
Молочный рынок нуждается в серьезном
вмешательстве и поддержке со стороны государства. Главным образом, по мнению
производителей и переработчиков молока, усилия государства должны быть
направлены на ограничение импорта в Россию сухого молока, причем основные
ограничения должны быть введены в отношении Беларуси и Украины. Кроме того,
важной проблемой молочного рынка является и слабое техническое оснащение, и
низкий уровень менеджмента отечественных предприятий. Причем решение данной
проблемы затруднено из-за высоких процентных ставок по кредитам, что не
позволяет производителям молока переоборудовать предприятия.[7]
.7 Характеристика конкурентов
Список крупнейших молочных предприятий возглавляют заводы двух крупнейших холдингов: «Вимм-Билль-Данн» и Danon-Unimilk. Они охватили своим влиянием уже около 50% молочного рынка России.
Лидером рейтинга по объёмам выпускаемой молочной продукции многие аналитики считают ОАО “Лианозовский молочный комбинат”. Он входит в состав группы «Вимм-Билль-Данн» и является главным предприятием компании. Ассортимент продукции достаточно велик. Брэнд Лианозово - широко известная торговая марка «Весёлый молочник»
На втором месте рейтинга находится «Очаковский молочный завод» - один из крупнейших лидеров российской молочной промышленности. Это предприятие также работает под покровительством холдинга «Вимм-Билль-Данн», который в ноябре 2006 года приобрел большую часть акций завода. Ассортиментный ряд выпускаемой им продукции также очень велик. Брэнд завода также широко известен населению нашей страны - это повсеместно популярная марка «33 коровы».
Далее следуют ОАО “Царицынский молочный комбинат”, также принадлежащий ОАО «Вимм-Билль-Данн Продукты питания». Таким образом, скупив акции и курируя крупнейшие молочные заводы в России, холдинг «Вимм-Билль-Данн» занял более половины молочного рынка столицы.
Другой крупнейший холдинг “Danon-Unimilk” не уступает своему конкуренту. В его активе такие крупные и динамично развивающиеся молочные заводы, как Санкт-Петербургский молочный комбинат № 1 ОАО “Петмол”, Санкт-Петербургский молочный завод “Пискаревский” и ОАО “Самаралакто”.
Также в отрасли производства молока присутствуют следующие предприятия:
Останкинский молочный комбинат (завод) - ОМК, Пискарёвский молочный завод - ПМЗ, Обнинский молочный завод, Волгоградский молочный завод №3 - ЮНИМИЛК, Мытищинский молочный завод, Молочный комбинат Воронежский - МОЛВЕСТ, Дмитровский молочный завод, Зеленодольский молочный комбинат - ЗМК, Гатчинский молочный завод, Рогачевский молочный комбинат - РМК, Великолукский молочный комбинат - ВМК, Тульский молочный комбинат, Брянский молочный комбинат, Кировский молочный комбинат. Этот список продолжает Серпуховский молочный завод, Вологодский молочный комбинат, Тихвинский молочный завод, Челябинский городской молочный комбинат, Молочный комбинат Ангарский и другие.
Если рассматривать показатели объёмов производства молока по регионам, то складывается следующая ситуация. Лидерство достаточно прочно закрепляется за Приволжским Федеральным округом, где сосредоточены наиболее динамично развивающиеся молочные заводы. Вторым крупнейшим округом по производству молока является Центральный ФО, где в последнее время было замечено снижение объёмов выпуска продукции. На следующей ступеньке находятся Сибирский, Южный и Уральский ФО.
На рынке питьевого коровьего
молока в России около 300 игроков. В таблице отражены основные характеристики
продукции 6 крупнейших конкурентов.
Таблица 3. Характеристика продукции конкурентов на рынке пастеризованного молока.
|
Конкуренты |
Качество |
Привлекательность |
Цена |
Доля рынка, (%) |
Стабильность продажи |
|
«Домик в деревне» |
высокое |
высокая |
11,6 |
высокая |
|
|
«Веселый молочник» |
высокое |
средняя |
высокая |
9,7 |
высокая |
|
«33 коровы» |
высокое |
высокая |
средняя |
10,9 |
высокая |
|
«Петмол» |
высокое |
средняя |
высокая |
5,3 |
высокая |
|
«Простоквашино» |
высокое |
высокая |
средняя |
4 |
средняя |
|
«Летний день» |
высокое |
средняя |
средняя |
2,1 |
средняя |
.8 Уровень концентрации отрасли
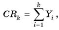
Для определения уровня концентрации я выберу 6
производителей пастеризованного молока. Индекс концентрации измеряется как
сумма рыночных долей крупнейших фирм, действующих на рынке:
(1)
где Yi - рыночная доля i-той фирмы; k - число
фирм, для которых высчитывается этот показатель. Следовательно, k=3.
Таблица 4. Индекс концентрации
|
Фирма(k) по убыванию долей |
Рыночная доля |
Индекс концентрации |
|
Вимм Биль Данн |
0,35 |
0,77 |
|
Региональные молочные компании |
0,27 |
|
|
Юнимилк |
0,15 |
|
Индекс Херфиндаля-Хиршмана (Herfindal-Hirshman
index) определяется как как сумма квадратов рыночных долей всех значимых (с
долей более 1 %) участников рынка.
(2)
Таблица 5. Индекс Херфиндаля-Хиршмана
|
Фирма (k), по убыванию долей |
Рыночная доля, % |
Индекс концентрации |
|
Юнимилк |
15 |
2180 |
|
Вимм Биль Данн |
35 |
|
|
Региональные молочные компании |
27 |
|
|
Импортные производители |
1 |
|
Индекс Херфиндаля-Хиршмана (HH1) равен 2180 (вычисления проводились по формуле №2), это значит, что рынок
Оценка состояния концентрации на товарных рынках
определяется по значениям индексов концентрации и Херфиндаля-Хиршмана. При 70%
< CR < 100% ; 1800 < HHI < 10000- высокая степень концентрации.
ГЛАВА 4. СТОИМОСТНЫЙ АНАЛИЗ
.1 Отпускные цены
В зависимости от жирности и упаковки питьевого
молока, его цена колеблется в пределах 25-50 рублей за литр. Молоко бывает
разной жирности: самое жирное(3,2%), менее жирное(2,5%), нежирное(1,5%). Так же
цена зависти и от упаковки. Самым распространенным считается молоко в картонном
пакете, в пластиковой бутылке, в полиэтиленовом пакете.
.2 Структура цены
Цена на пастеризованное молоко складывается из
стоимости сырья и побочных материалов, расходов на производство, коммерческих
расходов, платы за доставку продукции (товара) покупателям, осуществляемую
перерабатывающим предприятием, налогов. [7]

4.3 Факторы, определяющие движение цен
Основные причины подорожания питьевого молока -
увеличение цен на сырье. В России закупочные цены на молоко достигли 16 руб. за
1 литр (без НДС и транспортных расходов), и в связи с дефицитом сырья, высока
вероятность их дальнейшего повышения. Подорожание молока вынуждает
производителей поднимать цены на конечную продукцию. Поэтому основной фактор,
определяющий движение цен на питьевое молоко-это стоимость сырья и
энергоносителей.
.4 Цены на материалы-субституты
Таблица 6. Цены на материалы субституты.
|
Товар |
Средняя стоимость |
|
Сухое молоко |
230 руб/кг |
|
Вода |
15-40 руб/л |
|
Сливки |
100-250 руб/л |
|
Крем (увлажняющий) |
100-500 руб/100мл |
Из таблицы можно сделать вывод, что самым
дешевым товаром-заменителем является вода, стоимость которой не превышает 40
рублей. Сухое молоко является недешевым заменителем, молоко примерно в 5 раз
дешевле.
ГЛАВА 5.
ПОТРЕБЛЕНИЕ
.1 Потребительские группы
Эксперты выделяют потребительские группы по определённым критериям. Они выстроены следующим образом:
.По материальному положению
материальное положение ниже среднего
среднее материальное положение
материальное положение выше среднего
Диаграмма 4. Распределение потребления молока по
материальному положению.
.По полу:
мужчины
женщины
Диаграмма 5.Распределение
потребления молока по полу.
.По административному устройству
города
деревни, сёла
Диаграмма 6. Распределение
потребления молока по административному устройству.
.По возрасту:
до 18 лет;
от 18 лет до 30;
от30 лет до 45;
от 45 лет до 60;
старше 60.
Диаграмма № 7. Распределение молока
по возрасту.
Исходя из этих данных, мы можем
представить портрет потребителя. Основными покупателями питьевого молока
являются люди со средним уровнем дохода возрастом от 18 до 45 лет. По
принадлежности к полу, целевая аудитория потребителей - женщины. Можно сказать,
что основными покупателями являются домохозяйки.
.2 География потребления
Уровень потребления молока различается по федеральным округам. Чаще всего он определяется уровнем дохода населения.
Структура потребления молока по ФО
представлена в следующей диаграмме.
Диаграмма 8. География потребления
молока в России.
.3 Соотношение спроса и предложения
в потребительских группах
Из анализа соотношения спроса и предложения можно заметить, что факторы, влияющие на спрос различны для каждой потребительской группы.
Спрос больше всего удовлетворен в потребительской группе потребителей возрастом от 25 до 45 лет; менее удовлетворен в группе возрастом от 60 лет и более.
Рынок не является полностью
насыщенным; конкуренция переходит в сферу рекламы и способы борьбы за
потребителя. Требуется создание такого сырного бренда, который привлечёт
покупателей, ставшими впоследствии постоянными потребителями данной марки. Для
повышения спроса необходимо исследовать предпочтения потребительской группы,
изменить стиль упаковки продукта, технологию изготовления, увеличить приток
покупателей с помощью снижения цен.
ГЛАВА 6. ПРОГНОЗ РАЗВИТИЯ РЫНКА
.1 Жизненный цикл товара
Сегодня показатели молочного рынка в России пока еще не достигли пиковых вершин и продолжают расти. Это происходит за счет наполнения магазинов молочной продукцией отечественного производства и за счет вытеснения с рынка иностранных компаний.
Молочный рынок находится на стадии
развития и качественному продукту всегда найдётся место, начинать молочный
бизнес и выходить на рынок с собственной продукцией относительно легко.
.2 Прогноз спроса на ближайшие три
года
Потенциальная ёмкость
Емкостью рынка называют потенциально возможный объем товаров, реализуемых на нем в течение определенного промежутка времени (как правило, за год).
Ёмкость рынка формируется под
влиянием множества факторов, каждой из которых может в определенной ситуации
как стимулировать рынок, так и сдерживать его развитие, ограничивать его
емкость. Эти факторы могут быть общими социально-экономические факторы,
определяющие емкость рынка любого товара: объем и структура товарного
предложения, ассортимент и качество выпускаемых изделий, размеры импорта, по
данному товару или группе товаров, уровень жизни населения, уровень и
соотношение цен на товары и другие. Потенциальная Ёмкость рынка рассчитывается
путем умножения численности населения на норму потребления. В данном случае
потенциальная емкость рынка вычисляется на основании данных о товарообороте.
Q= n* q, где:
емкость рынка;количество потенциальных потребителей;- единичное потребление на 1 реального потребителя.
Численность населения России по статистическим данным составляет около 143,3 миллиона человек. За вычетом пожилых людей старше 60-70 лет составит примерно 136,5 миллионов человек. А на одного потребителя в среднем приходиться q=270л в год.
*270=3685500000л.
Развитие потребительских сегментов.
На рынке молока сегодня присутствует продукция разных видов молока, рассчитанная на потребителя любого уровня. От молока «эконом-класса» до совершенного питьевого молока. Число потребителей растет. Первые удовлетворенные покупатели начинают делать повторные покупки и в устном общении оказывают влияние на других потенциальных пользователей.
Потенциал замещения субститутов.
Потенциалом является повышение рекламной активности лидеров отрасли, которая будет способствовать большей привлекательности питьевого молока по сравнению с сухим молоком, кефиром, топленым молоком и питьевым йогуртом. Питьевое молоко занимает лидирующие позиции в продаже. Молоко будет востребовано всегда - об это говорит постоянное нахождение его на рынке (не важно, какой марки), его покупали, и будут покупать, важно только суметь сориентировать покупателя на себя.
Прогноз объёмов потребления.
Весьма важным трендом 2012 года стало то, что россияне стали потреблять молоко и молочные продукты заметно больше, чем они делали это раньше. В 2011 г. показатель потребления молока и молочных продуктов в среднем на 1 потребителя в год в пересчете на молоко оказался на 7 кг выше, чем в предшествующем году. По прогнозам на 2012 год ожидается рост общего потребления питьевого молока до 12 млн тонн, с чем связана положительная динамика выручки от продажи молочной продукции. За период с января по март 2012 г. молочных продуктов в России было продано более чем на 100 млрд рублей, что превышает показатель аналогичного периода в предшествующем 2011 г. на 12%. Почти половина всего объема выручки от продажи молочной продукции в стране приходится на Центральный федеральный округ. На втором месте по объемам выручки находится Приволжский федеральный округ, доля которого составила 20% от общего объема выручки. Среди регионов больше всего зарабатывают на продаже молочной продукции Москва и Московская область.