Материал: ЛР1_оптика

Внимание! Если размещение файла нарушает Ваши авторские права, то обязательно сообщите нам

Цель работы: определение фокусных расстояний собирающей и рассеивающей линз исходя из результатов измерений расстояний от исследуе-мых линз до предмета и его изображения

Общие сведения

Фокусным расстоянием тонкой линзы называют расстояние между оптическим центром линзы и её главным фокусом, т. е. точкой, лежащей на главной оптической оси, в которой пересекаются после преломления в линзе световые лучи, падающие на линзу параллельно главной оптической оси.

Главной оптической осью называют прямую, проходящую через центр кривизны обеих сферических поверхностей, ограничивающих линзу

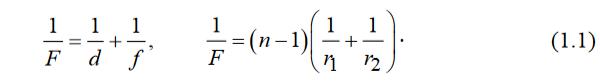
Элементарная теория оптических стекол приводит к простым соотношениям между фокусным расстоянием F линзы, расстоянием d от линзы до предмета, расстоянием f от линзы до изображения предмета, относительным показателем преломления n материала линзы и радиусами кривизны r1 и r2 сферических поверхностей линзы. Для тонкой линзы (толщиной которой по сравнени с r1 и r2 можно пренебречь) справедливы следующие соотношения:

Для решения сложных оптических задач применяют системы, состоящие из нескольких линз, например телеобъективы, телескопы, микроскопы и т.п.

Расчет хода лучей и параметров таких систем более сложен, чем для отдельных линз, но и в этом случае элементарный расчет происходит по формуле (1.1) с учетом характеристик отдельных оптических компонентов системы.

Экспериментальное определение фокусного расстояния линзы может быть проведено различными способами. Наиболее простой из них для собирающей линзы заключается в получении с помощью исследуемой линзы действительного изображения удаленного предмета на экране. Предполагая, что лучи от удаленного светящегося объекта падают на линзу параллельным пучком, можно принять расстояние между собирающей линзой и изображением светящегося предмета равным фокусному расстоянию линзы. Ошибка будет тем меньше, чем дальше от линзы будет находиться предмет.

Для определения фокусных расстояний аналогичных линз существует ещё ряд способов. В данной работе применяются два из них:

Вопросы:

1) Что называется главной оптической осью линзы, оптическим центром линзы, главным фокусом линзы, фокусным расстоянием тонкой линзы?

Главной оптической осью линзы называют прямую, проходящую через центры кривизны сферических поверхностей, ограничивающих линзу.

Оптический центр (О) – место пересечения главной оптической оси с линзой. Луч прошедший сквозь оптический центр, не преломляется.

Главный фокус линзы (F) – точка, размещенная на главной оптической оси, в ней пересекаются либо лучи, либо же их продления.

Расстояние от оптического центра линзы до ее главного фокуса, называется фокусным расстоянием.

16) Всегда ли линзы, у которых поверхности выпуклые, являются собирающими. А линзы, поверхности которых вогнутые, - рассеивающие?

Нет, поскольку свойства линзы зависят от отношения коэффициентов преломления среды и линзы.

Протокол наблюдения:

Определение фокусного расстояния собирающей линзы

m1,

k1,

m2,

d1, мм

f, мм

F, мм

F1±

 

мм

мм

мм

k1-m1

m2-k1

df/(d+f)

F1,

 

 

 

 

 

 

 

мм

1

150

276

968

126

692

106.6

 

 

 

 

 

 

 

 

 

2

150

277

968

127

692

107.3

 

 

 

 

 

 

 

 

 

3

150

275

968

125

693

105.9

107± 1

 

 

 

 

 

 

 

4

150

278

968

128

690

107.9

 

 

 

 

 

 

 

 

 

5

150

276

968

126

692

106.6

 

 

 

 

 

 

 

 

 

Определение фокусного расстояния по расстояниям от предмета до его изображения

m1,

m2,

k1,

k2,

l ,

L,

F2, мм

F2±

 

мм

мм

мм

мм

мм

мм

(L2-l2)/

F2, мм

 

 

 

 

 

k2-k1

m2-m1

(4L)

 

1

140

928

268

793

525

 

87.35

 

 

 

 

 

 

 

 

 

 

2

140

928

267

794

527

 

86.63

 

 

 

 

 

 

 

 

 

 

3

140

928

267

793

526

728

86.99

87±1

 

 

 

 

 

 

 

4

140

928

266

796

530

 

85.54

 

 

 

 

 

 

 

 

 

 

5

140

928

268

793

525

 

87.35

 

 

 

 

 

 

 

 

 

 

Определение фокусного расстояния F рассеивающей линзы по расстояним от этой линзы до изображения предмета

m1,

k3,

m4,

k4,

d,

f,

F3, мм

F3±

мм

мм

мм

мм

мм

мм

df/(f-d)

F3, мм

 

 

 

 

 

 

 

 

575

360

706

535

40

171

52.2

 

 

 

 

 

 

 

 

 

575

360

706

540

35

166

44.4

 

 

 

 

 

 

 

 

 

575

360

706

539

36

167

45.9

48±7

 

 

 

 

 

 

 

575

360

706

536

39

170

50.6

 

 

 

 

 

 

 

 

 

575

360

706

537

38

179

49

 

 

 

 

 

 

 

 

 

Вывод: в ходе выполнения лабораторной работы мы приобрели навыки определения фокусных расстояний собирающей и рассеиваюей линз при помощи измерения расстояния от исследуемых линз до предмета и его изображения. Получили результаты:

F1=(107±1) мм, F2=(87±1) мм, F3=(48±7) мм

Вопросы на защиту:

1. Какая линза называется тонкой? Основные характеристики линзы: фокус(главный и побочный), оптический центр линзы, оптическая ось( главная и побочные)

Тонкая линза — линза, толщина d (расстояние между наружными точками сфер) которой мала по сравнению с радиусами кривизны сферических поверхностей d <<R1 и R2