Например, автомобилестроительная компания провела два независимых исследования с целью определения степени удовлетворенности потребителей своими автомобилями. Первая выборка включала 100 потребителей, купивших данную модель в течение последних шести месяцев. Вторая выборка включала 1000 потребителей. В ходе телефонного интервьюирования респонденты отвечали на вопрос: «Удовлетворены вы или не удовлетворены купленной вами моделью автомобиля?» Первый опрос выявил 30% неудовлетворенных, второй — 35%.
Поскольку существуют ошибки выборки и в первом и во втором случаях, то можно сделать следующий вывод. Для первого случая: около 30% опрошенных выразили неудовлетворенность купленной моделью автомобиля. Для второго случая около 35% опрошенных выразили неудовлетворенность купленной моделью автомобиля. Какой же общий вывод можно сделать в данном случае? Как избавиться от термина «около»? Для этого введем показатель ошибки: 30% ± х% и 35% ± у% и сравним х и у. Используя логический анализ, можно сделать вывод, что большая выборка содержит меньшую ошибку и что на ее основе можно сделать более правильные выводы о мнении всей совокупности потребителей. Видно, что решающим фактором для получения правильных выводов является размер выборки. Данный показатель присутствует во всех формулах, определяющих содержание различных методов статистического вывода.
При проведении маркетинговых исследований чаще всего используются следующие методы статистического вывода: оценка параметров и проверка гипотез.
Оценка параметров генеральной совокупности представляет из себя процесс определения, исходя из данных о выборке, интервала, в котором находится один из параметров генеральной совокупности, например среднее значение. Для этого используют следующие статистические показатели: средние величины, среднюю квадратическую ошибку и желаемый уровень доверительности (обычно 95 или 99%).
Ниже пойдет разговор об их роли при проведении оценки параметров.
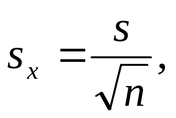
Средняя квадратическая ошибка является, как отмечалось выше, мерой вариации выборочного распределения при теоретическом предположении, что исследовалось множество независимых выборок одной и той же генеральной совокупности.
Она определяется по следующей формуле:
![]()
где sx — средняя квадратическая ошибка выборочной средней;
s — среднее квадратическое отклонение от средней величины в выборке;
n — объем выборки.
Если используются процентные меры, выражающие альтернативную изменчивость качественных признаков, то
![]()
где s — средняя квадратическая ошибка выборочной средней при использовании процентных мер;
р — процент респондентов в выборке, поддержавших первую альтернативу;
q = (100 — q) — процент респондентов в выборке, поддержавших вторую
альтернативу;
n — объем выборки.
Видно, что средняя ошибка выборки тем больше, чем больше вариация, и тем меньше, чем больше объем выборки.
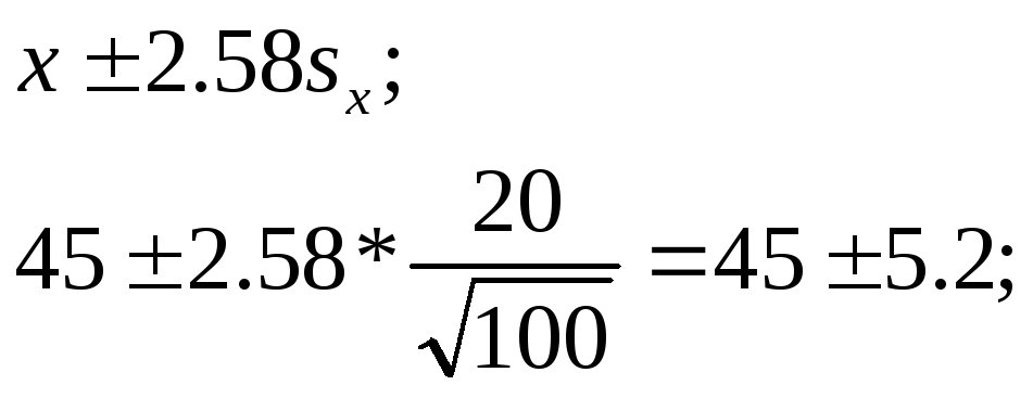
Поскольку всегда существует выборочная ошибка, то необходимо оценить разброс значений изучаемого параметра генеральной совокупности. Предположим, исследователь выбрал уровень доверительности, равный 99%. Из свойств нормальной кривой распределения вытекает, что ему соответствует параметр Z= ±2,58. Средняя для генеральной совокупности в целом вычисляется по формуле
![]()
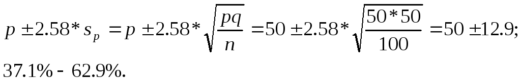
Если используются процентные меры, то
![]()
Это означает, что если вы хотите, чтобы при 99%-ном уровне доверительности диапазон оценок включал истинную для генеральной совокупности оценку, то необходимо умножить среднюю квадратическую ошибку на 2,58 и добавить полученный результат к процентному значению р (верхняя предельная оценка). Если же произвести вычитание данного произведения, то найдем нижнюю предельную оценку.
Как эти формулы связаны со статистическим выводом?
Поскольку производится оценка параметра генеральной совокупности, то здесь указывается диапазон, в который попадает истинное значение параметра генеральной совокупности. С этой целью для выборки берутся статистическая мера центральной тенденции, величина дисперсии и объем выборки. Далее делается предположение об уровне доверительности и рассчитывается диапазон разброса параметра для генеральной совокупности.
Например, для членов выборки (100 читателей какой-то газеты) было установлено, что среднее время чтения газеты составляет 45 минут при средней квадратической ошибке в 20 минут. При уровне доверительности, равном 95%, получим

41,1 — 48,9 минуты.
При 99%-ном уровне доверительности получим

39,8 — 50,2 минуты.
Видно, что доверительный интервал шире для 99% по сравнению с 95%-ным уровнем доверительности.
Если используются проценты и оказалось, что из выборки в 100 человек 50% опрошенных по утрам пьет кофе, то при уровне доверительности в 99% получим следующий диапазон оценок:

Таким образом, логика статистического вывода направлена на получение конечных заключений об изучаемом параметре генеральной совокупности на основе выборочного исследования, осуществленного по законам математической статистики. Если используется простое заключение, не основанное на статистических измерениях, то конечные выводы носят субъективный характер и на основе одних и тех же фактов разные специалисты могут сделать разные выводы.
При использовании статистического вывода используются формулы, носящие объективный характер, в основе которых лежат общепризнанные статистические концепции. В результате конечные выводы носят намного более объективный характер.
В ряде случаев делаются суждения относительно какого-то параметра генеральной совокупности (величине средней, дисперсии, характере распределения, форме и тесноте связи между переменными) исходя только из некоторых предположений, размышлений, интуиции, неполных знаний. Такие суждения называются гипотезами.
Статистической гипотезой называется предположение о свойстве генеральной совокупности, которое можно проверить, опираясь на данные выборки.
Под проверкой гипотезы понимается статистическая процедура, применяемая для подтверждения или отклонения гипотезы, основанной на результатах выборочных исследований. Проверка гипотезы осуществляется на основе выявления согласованности эмпирических данных с гипотетическими. Если расхождение между сравниваемыми величинами не выходит за пределы случайных ошибок, гипотезу принимают. При этом не делается никаких заключений о правильности самой гипотезы, речь идет лишь о согласованности сравниваемых данных.
Проверка гипотезы проводится в пять этапов:
1. Делается некоторое предположение относительно какой-то характеристики генеральной совокупности, например о средней величине определенного параметра.
2. Формируется случайная выборка, проводится выборочное исследование и определяются статистические показатели выборки.
3. Сравниваются гипотетическое и статистическое значения исследуемой характеристики.
4. Определяется, соответствуют или нет результаты выборочного исследования принятой гипотезе.
5. Если результаты выборочного исследования не подтверждают гипотезу, последняя пересматривается — она должна соответствовать данным выборочного исследования.
Вследствие вариации результатов выборочных исследований невозможно сделать абсолютно точный вывод о достоверности гипотезы, проводя простое арифметическое сравнение величин характеристик. Поэтому статистическая проверка гипотезы включает использование: выборочного значения характеристики, среднего квадратического отклонения, желательного уровня доверительности и гипотетического значения характеристики для генеральной совокупности в целом.
Для проверки гипотез о средних величинах применяется следующая формула:
(3.8)
где х — средняя для выборки;
μh — гипотетическое значение средней;
sxs— средняя квадратическая ошибка средней.
Например, готовя рекламу учебной программы по подготовке торговых агентов в колледже, руководитель программы считал, что выпускники программы получают в среднем 1750 долларов в месяц. Таким образом, гипотетическая средняя для генеральной совокупности равна 1750 долларам. Для проверки данной гипотезы было проведено телефонное обследование торговых агентов разных фирм.
Выборка составила 100 человек, средняя для выборки равнялась 1800 долларам и среднее квадратическое отклонение составляло 350 долларов. Возникает вопрос, является ли большой разница (50 долларов) между гипотетической зарплатой и ее средним значением для выборки. Проводим расчеты по формуле (3.8):

Видно, что средняя квадратическая ошибка средней величины была равна 35 долларам, а частное от деления 50 на 45 составляет 1,43 (нормированное отклонение), что меньше ±1,96 — величины, характеризующей уровень доверительности 95%. В данном случае выдвинутую гипотезу можно признать достоверной.
При использовании процентной меры испытание гипотезы осуществляется следующим образом. Предположим, что, исходя из собственного опыта, один из автолюбителей выдвинул гипотезу, согласно которой только 10% автолюбителей используют ремни безопасности. Однако национальные выборочные исследования 1000 автолюбителей показали, что 80% из них используют ремни безопасности. Расчеты в данном случае проводятся следующим образом:

где р — процент из выборочных исследований;
πH— процент из гипотезы;
sp — средняя квадратическая ошибка при расчетах в процентах.
Видно, что первоначальная гипотеза отличалась от найденных 80% на величину 55,3, умноженную на среднеквадратическую ошибку, т.е. не может быть признана достоверной.
В ряде случаев целесообразно использовать направленные гипотезы. Направленные гипотезы определяет направления возможных значений какого-то параметра генеральной совокупности. Например, заработная плата составляет больше 1750 долларов. В данном случае используется только одна сторона кривой распределения, что находит отражение в применении знаков «+» и «—» в расчетных формулах.
Здесь, правда, возникает вопрос. Если можно провести выборочные исследования, то зачем выдвигать гипотезы? Обработка результатов выборочных исследований дает возможность получить средние величины и их статистические характеристики, не выдвигая никаких гипотез. Поэтому проверка гипотез скорее применяется в случаях, когда невозможно или чрезвычайно трудоемко проводить полномасштабные исследования и когда требуется сравнивать результаты нескольких исследований (для разных групп респондентов или проведенных в разное время). Такого рода задачи, как правило, возникают в социальной статистике. Трудоемкость статистико-социологических исследований приводит к тому, что почти все они строятся на не сплошном учете. Поэтому проблема доказательности выводов в социальной статистике стоит особенно остро.
Применяя процедуру проверки гипотез, следует помнить, что она может гарантировать результаты с определенной вероятностью лишь по «беспристрастным» выборкам, на основе объективных данных.
Анализ различий. Проверка существенности различий заключается в сопоставлении ответов на один и тот же вопрос, полученных для двух или более независимых групп респондентов. Кроме того, в ряде случаев представляет интерес сравнение ответов на два или более независимых вопросов для одной и той же выборки.
Примером первого случая может служить изучение вопроса: что предпочитают пить по утрам жители определенного региона: кофе или чай. Первоначально было опрошено на основе формирования случайной выборки 100 респондентов, 60% которых отдают предпочтение кофе; через год исследование было повторено, и только 40% из 300 опрошенных человек высказалось за кофе. Как можно сопоставить результаты этих двух исследований? Прямым арифметическим путем сравнивать 40% и 60% нельзя из-за разных ошибок выборок. Хотя в случае больших различий в цифрах, скажем, 20% и 80%, легче сделать вывод об изменении вкусов в пользу кофе. Однако если есть уверенность, что эта большая разница обусловлена прежде всего тем, что в первом случае использовалась очень малая выборка, то такой вывод может оказаться сомнительным. Таким образом, при проведении подобного сравнения в расчет необходимо принять два критических фактора: степень существенности различий между величинами параметра для двух выборок и средние квадратические ошибки двух выборок, определяемые их объемами.
Для проверки, является ли существенной разница измеренных средних, используется нулевая гипотеза. Нулевая гипотеза предполагает, что две совокупности, сравниваемые по одному или нескольким признакам, не отличаются друг от друга. При этом предполагается, что действительное различие сравниваемых величин равно нулю, а выявленное по данным отличие от нуля носит случайный характер.
Для проверки существенности разницы между двумя измеренными средними (процентами) вначале проводится их сравнение, а затем полученная разница переводится в значение среднеквадратических ошибок и определяется, насколько далеко они отклоняются от гипотетического нулевого значения.
Как только определены среднеквадратические ошибки, становится известной площадь под нормальной кривой распределения и появляется возможность сделать заключение о вероятности выполнения нулевой гипотезы.
Рассмотрим следующий пример. Попытаемся ответить на вопрос: «Есть ли разница в потреблении прохладительных напитков между девушками и юношами?» При опросе был задан вопрос относительно числа банок прохладительных напитков, потребляемых в течение недели. Описательная статистика показала, что в среднем юноши потребляют 9, а девушки 7,5 банки прохладительных напитков. Средние квадратические отклонения, соответственно, составили 2 и 1,2. Объем выборок в обоих случаях составлял 100 человек. Проверка статистически значимой разницы в оценках осуществлялась следующим образом:

где х1 и х2 — средние для двух выборок;
s1 и s2 — средние квадратические отклонения для двух выборок;
n1 и n2 — объем, соответственно, первой и второй выборок.
Числитель данной формулы характеризует разницу средних. Кроме того, необходимо учесть различие формы двух кривых распределения. Это осуществляется в знаменателе формулы. Выборочное распределение теперь рассматривается как выборочное распределение разницы между средними (процентными мерами). Если нулевая гипотеза справедлива, то распределение разницы является нормальной кривой со средней равной нулю и средней квадратической ошибкой, равной 1.
Видно, что величина 6,43 существенно превышает значение ±1,96 (95%-ный уровень доверительности) и ±2,58 (99%-ный уровень доверительности). Это означает, что нулевая гипотеза не является истинной.
На рис. 4.6 приводятся кривые распределения для этих двух сравниваемых выборок и средняя квадратическая ошибка кривой разницы. Средняя квадратическая ошибка средней кривой разницы равна 0. Вследствие большого значения среднеквадратических ошибок вероятность справедливости нулевой гипотезы об отсутствии разницы между двумя средними меньше 0,001.

Рис. 3.1. Проверка нулевой гипотезы
Результаты испытания интерпретируются следующим образом. Если бы гипотеза была истинной, то, образовав большое число выборок, проводя каждый раз аналогичные сравнения, пришли бы к выводу, что 99% разницы будет лежать в границах ±2,58 среднеквадратической ошибки нулевой разницы. Безусловно, может быть сделано только одно сравнение и можно полагаться только на концепцию выборочного распределения.
Определение и интерпретация связей между двумя переменными. Очень часто маркетолог ищет ответы на вопросы типа: «Увеличится ли показатель рыночной доли при увеличении числа дилеров?», «Есть ли связь между объемом сбыта и рекламой?» Такие связи не всегда имеют
причинно-следственный характер, а могут иметь просто статистическую природу. В поставленных вопросах можно определенно говорить о влиянии одного фактора на другой. Однако степень влияния изучаемых факторов может быть различной; скорее всего, влияние могут оказывать также какие-то другие факторы. Выделяют четыре типа связей между двумя переменными: немонотонная, монотонная, линейная и криволинейная.
Немонотонная связь характеризуется тем, что присутствие (отсутствие) одной переменной систематически связано с присутствием (отсутствием) другой переменной, но ничего неизвестно о направлении этого взаимодействия (приводит ли, например, увеличение одной переменной к увеличению или уменьшению другой). Например, известно, что посетители закусочных в утренние часы предпочитают заказывать кофе, а в середине дня — чай.
Немонотонная связь просто показывает, что утренние посетители предпочитают также заказывать яйца, бутерброды и бисквиты, а в обеденное время скорее заказывают мясные блюда с гарниром.
Монотонная связь характеризуется возможностью указать только общее направление связи между двумя переменными без использования каких-либо количественных характеристик. Нельзя сказать, насколько, например, определенное увеличение одной переменной приводит к увеличению другой переменной. Существуют только два типа таких связей: увеличение и уменьшение. Например, владельцу обувного магазина известно, что более взрослые дети обычно требуют обувь больших размеров. Однако невозможно четко установить связь между конкретным возрастом и точным размером обуви.
Линейная связь характеризует прямолинейную зависимость между двумя переменными. Знание количественной характеристики одной переменной автоматически предопределяет знание величины другой переменной:
у = а + bх, (3.9)
где у — оцениваемая или прогнозируемая зависимая переменная (результативный признак);
а — свободный член уравнения;
х — независимая переменная (факторный признак), используемая для определения зависимой переменной;
b — коэффициент регрессии, измеряющий среднее отношение отклонения результативного признака от его средней величины к отклонению факторного признака от его средней величины на одну единицу его измерения — вариация у, приходящаяся на единицу вариации х.
Коэффициенты а и b рассчитываются на основе наблюдений величин у и х с помощью метода наименьших квадратов [19].
Предположим, что торговый агент продает детские игрушки, посещая квартиры случайным образом. Отсутствие посещения какой-то квартиры означает отсутствие продажи, или а = 0. Если в среднем каждый десятый визит сопровождается продажей на 62 доллара, то стоимость продажи на один визит составит 6,2 доллара, или b = 6,2.
Тогда
у = 0 + 6,2х.
Таким образом, можно ожидать, что при 100 визитах доход составит 620 долларов. Надо помнить, что эта оценка не является обязательной, а носит вероятностный характер.
Криволинейная связь характеризует связь между переменными, носящую более сложный характер по сравнению с прямой линией. Например, связь между переменными может описываться S-образной кривой.