Материал: лекция 12

Внимание! Если размещение файла нарушает Ваши авторские права, то обязательно сообщите нам

1. Критерий надежной работы рабочих и сопловых лопаток.

(40% всех дефектов ПТУ, приведших к аварийному останову – в проточной части, а 45% всех дефектов проточной части – в рабочих лопатках)

Усилия, действующие на сопловые и рабочие лопатки в активной турбинной ступени

Динамические напряжения, вызывающие поломки лопаток,

прямо пропорциональны статическим изгибным напряжениям (Ϭи.ст ↓ → надежность ПТУ ↑)

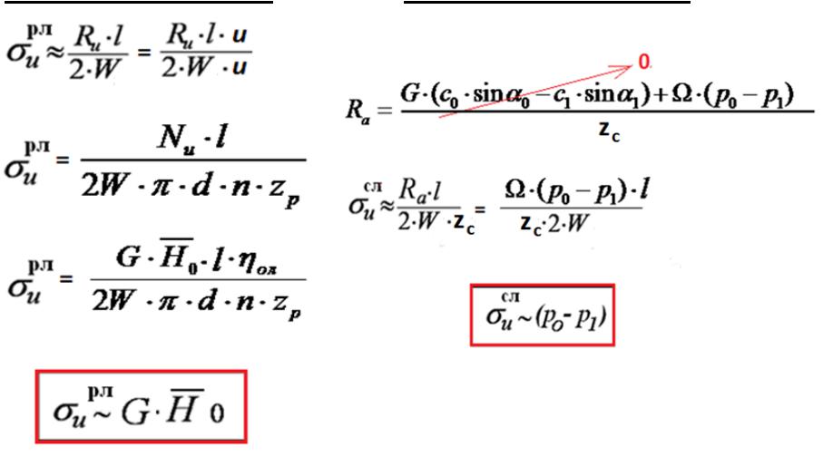
Определение статических изгибающих напряжений в рабочей и сопловой турбинных лопатках

Для рабочих лопаток

Для сопловых лопаток

Нормы изгибных напряжений для рабочих и сопловых лопаток

РАБОЧИЕ ЛОПАТКИ:

[σ]изг = 35 МПа - для ступеней активного типа с полным подводом

[σ]изг = 50-70 МПа - для ступеней реактивного типа

[σ]изг = 20 МПа – для регулирующей ступени СОПЛОВЫЕ ЛОПАТКИ:

[σ]изг = 150 - 250 МПа и выше