Коливальними називаються процеси, які характеризуються певною повторюваністю і періодичним поверненням до початкового стану.
У природі існує безліч фізичних об’єктів, які здійснюють періодичні коливання. Ці об’єкти можуть істотно відрізнятися один від одного як за фізичною природою, так і за характером коливань. Але, як виявилось, загальні властивості не залежать від типу системи. Відповідно, математичні рівняння, що описують коливання в системах різної природи, виявляються формально однаковими. Відмінності мають частковий характер і стосуються лише фізичного тлумачення тих чи інших математичних величин, які входять до рівняння. Тому, вивчаючи загальні властивості в якійсь одній фізичній системі, ми автоматично дістаємо низку базових закономірностей, які є спільними для всіх без винятку систем.
Розрізняють коливання ВІЛЬНІ і ВИМУШЕНІ.
Вільні коливання виконує система, до якої не підводиться зовні енергія. Тобто, це коливання в системах, представлених самим собі.
Якщо при цьому система не витрачає своєї енергії, то її повна енергія залишається весь час сталою і коливання будуть незгасаючими.
Якщо ж енергія системи зменшується, наприклад через виконання роботи проти зовнішніх сил, то коливання будуть зaгасаючими.
Вимушені коливання виникають в системах, які зазнають періодичної зовнішньої дії. Це може бути сила, напруга і т. ін. Вимушені коливання, здебільшого незгасаючі.
Розглянемо паралельно механічні (на прикладі пружинного маятника) та електричні (на прикладі коливального контура) коливання.
В
курсі фізики вивчають такі коливні
системи: математичний, фізичний,
пружинний, крутильний маятники,
коливальний контур (електронний маятник).
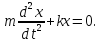
Незгасаючі механічні коливання виконуватиме система, що складається з тіла масою m і пружини, яка повертає тіло до положення рівноваги. Таку систему називають ПРУЖИННИМ МАЯТНИКОМ.
Якщо вивести тіло з положення рівноваги, відхиливши його на відстань x, то воно набуде потенціальної енергії, що дорівнює роботі розтягнення пружини. Відпустивши тіло, ми даємо йому змогу повернутися в початкове положення рівноваги. У цьому положенні вся потенціальна енергія перейде в кінетичну, тіло за інерцією продовжуватиме рух, стискаючи пружину і виконуючи роботу стискання .
Коли всю кінетичну енергію буде витрачено на роботу стискання, тіло зупиниться, набувши потенціальної енергії. А це означає, що процес перетворення кінетичної енергії в потенціальну, і навпаки, буде відбуватися як завгодно довго, тобто тіло виконуватиме незгасаючі коливання від -x до +x.
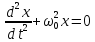
Знайдемо рівняння руху тіла m.
За другим законом динаміки швидкість зміни імпульсу дорівнює сумі всіх сил, які діють на тіло:
і
Надалі знаки векторів можна не записувати, оскільки рух одномірний. Тіло вважатимемо матеріальною точкою з масою m. У нашому випадку діє єдина сила – пружна повертаюча сила Fпр.. Згідно із законом Гука при малих зміщеннях сила пружності прямо пропорційна до зміщення:
Fпр = - kx,
де k - КОЕФІЦІЕНТОМ ЖОРСТКОСТІ пружного елемента.
Знак «мінус» означає, що сила напрямлена в бік, протилежний зміщенню. Маса m стала, і тому

або

Поділивши
обидві частини рівняння на масу m
і ввівши заміну
,
дістанемо ДИФЕРЕНЦІАЛЬНЕ РІВНЯННЯ НЕЗГАСАЮЧИХ МЕХАІЧНИХ КОЛИВАНЬ
.
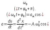
Загальний розв’язок цього лінійного диференціального рівняння другого порядку відомий:
0
t
+
0).
Це
також рівняння руху, але вже в явному
вигляді.
Такі коливання системи називають
гармонічними. Тобто: гармонічнними
коливаннями називають коливання, при
яких параметри системи змінюються за
законом sin
або cos.
Значення косинуса змінюються в межах від +1 до -1. Значення зміщення від положення рівноваги лежать у межах від +А до –А . Тому А - найбільше зміщення від положення рівноваги, називається АМПЛІТУДОЮ КОЛИВАНЬ.
Величина
0t
+
0
, яка є аргументом косинуса, називається
ФАЗОЮ КОЛИВАНЬ.
У початковий момент часу при t
=
0
значення фази
0
.
0
-
називається
ПОЧАТКОВОЮ ФАЗОЮ.
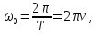
На
рисунку зображено залежність зміщення
x
від часу t.
Якщо початкова фаза дорівнює
,
то замість косинуса буде синус - теж
гармонічна функція. Оскільки косинус
- функція періодична, то зміщення
повторюватиметься через інтервал часу,
що дорівнює періоду коливань. ПЕРІОДОМ
КОЛИВАНЬ називають час одного повного
коливання.
Кількість коливань за одиницю часу v називають ЧАСТОТОЮ КОЛИВАНЬ.
v =1/T.
Оскільки
період косинуса дорівнює
то
,
звідки

де
- ЦИКЛІЧНА,
або КОЛОВА, ЧАСТОТА КОЛИВАНЬ.
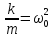
Циклічна частота визначається властивостями самої коливальної системи. Під час виведення диференціального рівняння руху ми вводили позначення
.
Можна сказати, що колова частота визначається відношенням сил пружності до сил інерції. Її називають ВЛАСНОЮ ЧАСТОТОЮ і тому ставлять індекс нуль.
Тоді період коливань пружинного маятника визначається з формули:

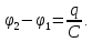
Якщо ми знаємо рівняння руху, то легко обчислити будь-які кінематичні характеристики коливань.
ШВИДКІСТЬ ГАРМОНІЧНИХ КОЛИВАНЬ дістанемо, узявши першу похідну від зміщення за часом:


Швидкість
також виконує гармонічні коливання з
тією самою частотою
,
що й зміщення, та з амплітудою
,
яка залежить
не тільки від амплітуди зміщення, а й
від колової частоти і відрізняється за
фазою від зміщення на
.
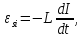
ПРИСКОРЕННЯ ГАРМОНІЧНИХ КОЛИВАНЬ це перша похідна від швидкості за часом, або друга похідна від зміщення за часом

Прискорення
також виконує гармонічні коливання з
частотою
та амплітудою
,
яка залежить не тільки від амплітуди
зміщення, а й зміщення на
.
Прискорення і зміщення перебувають, як кажуть у ПРОТИВАЗІ. Це означає, що коли зміщення досягає максимального значення, що дорівнює амплітуді, прискорення також сягає свого максимального, але від'ємного значення. На рисунку вище зображено графіки залежності зміщення, швидкості і прискорення від часу. Початкову фазу зміщення взято такою, що дорівнює нулю.
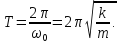
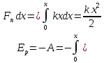
Обчислимо тепер енергію коливань.
КІНЕТИЧНА ЕНЕРГІЯ


ПОТЕНЦІАЛЬНА ЕНЕРГІЯ дорівнює роботі проти пружної повертальної сили:
.
Враховуючи,
що k
=


На
рисунку зіставлено графіки залежностей
і
від
часу. Бачимо, що період зміни кінетичної
і потенціальної енергії удвічі менший
за період зміщення.
У процесі коливань відбувається перетворення кінетичної енергії на потенціальну, та навпаки. Коли зміщення дорівнює нулю, то потенціальна енергія дорівнює нулю, а кінетична досягає свого максимального значення:

Коли зміщення досягає свого максимального значення, кінетична енергія дорівнює нулю, а потенціальна досягає свого максимального значення:

ПОВНА МЕХАНІЧНА ЕНЕРГІЯ дорівнює сумі кінетичної і потенціальної енергії:

Як бачимо, повна механічна енергія незгасаючих механічних коливань стала і дорівнює максимальному значенню кінетичної енергії, або максимальному значенню потенціальної енергії.
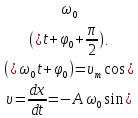
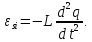
Вільні незгасаючі електричні коливання виникають у коливальному електричному контурі, зображеному на рисунку нижче. Контур складається з конденсатора ємністю С і котушки індуктивністю L.
Якщо
зарядити конденсатор до значення заряду
,
а потім замкнути коло коливального
контуру перемикачем, то конденсатор
почне розряджатися. У колі з'явиться
електричний струм і в котушці індуктивності
виникне ЕРС самоіндукції
Енергія електричного поля конденсатора
буде переходити в енергію магнітного
поля котушки, і навпаки.
Будуть
таким чином відбуватися незгасаючі
коливання заряду, якщо енергія контура
не розсіюватиметься.
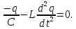
Щоб дістати диференціальне рівняння електричних коливань, скористаємось узагальненим законом Ома для неоднорідно кола:

звідки
=
0.
Тут враховано, що активний опір кола R = 0.
Різниця потенціалів на обкладках конденсатора

ЕРС самоіндукції

а сила струму
I
=
і тоді

Підставивши вирази для різниці потенціалів і ЕРС у закон Ома, дістанемо

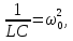
Поділивши рівняння на L і ввівши позначення

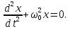
дістанемо ДИФЕРЕНЦІАЛЬНЕ РІВНЯННЯ ВІЛЬНИХ НЕЗГАСАЮЧИХ ЕЛЕКТРИЧНИХ КОЛИВАНЬ

За формою рівняння цілком ідентичне рівнянню вільних незгасаючих механічних коливань:

Видно, що заряд q - аналог зміщення x; індуктивність L - аналог маси m; 1/C - аналог жорсткості k.
Розв'язок диференціального рівняння також має аналогічний вигляд:
q
= qm
cos(
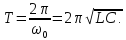
Період коливань визначиться з умови:

ШВИДКІСТЬ ЗМІНИ ЗАРЯДУ, яка дорівнює першій похідній від заряду за часом, це СИЛА СТРУМУ:
I
=