Отсюда
.
Построение кривой
при отклоненной на определенный угол
механизации
ведется до значения
определяемом как
.
(5.10)
В нашем случая при отклоненных во взлетное и посадочное положение закрылках максимальный коэффициент подъемной силы будет равен соотвественно
.
Для передней кромки наиболее распространённый тип механизации – предкрылок.
Приближенно можно принять что предкрылок, установленный по всему размаху крыла, увеличивает cyamax в 1,5 раза:

Близость земли
также оказывает влияние на взлетно-посадочные
характеристики самолета. Оно приводит
к увеличению
на линейном участке и уменьшению
.
Вначале определяем относительное расстояние от задней кромки закрылка до поверхности земли по формуле
,
(5.15)
где
– расстояние от задней кромки закрылка
до поверхности земли, м;
– средняя хорда
крыла на участке, обслуживаемом закрылком,
м.
![]()

По рис.5.10[1] определяем
прирост коэффициента подъемной силы
вблизи земли
,
являющийся
функцией
от
,
получаем
.
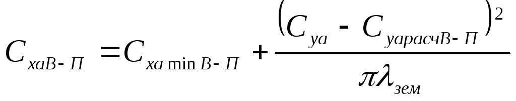
Уменьшение максимального коэффициента подъемной силы оценивается формулой
,
(5.16)
где
– максимальный коэффициент подъемной
силы вдали от земли.
определяется
по графику рис.5.11[1]
Тогда
.
(5.17)
где
,
-прирост
на
линейном участке в зависимости
с
учётом земли. (5.18)
-
исходный коэффициент подъемной силы
![]()
Величину минимального коэффициента лобового сопротивления на режимах взлёта и посадки вычисляем по формуле
(5.19)
Здесь
-минимальный
коэффициент лобового сопротивления
самолёта для крейсерского режима полёта.
Принимаем
=0,015
Эффективное удлинение крыла вблизи Земли определяем по формуле
(5.20)
где
- отношение расстояния ¼ средней
аэродинамической хорды крыла до земли
к размаху крыла. (5.21)
![]()
Эффективное удлинение крыла
![]()
Минимальный коэффициент лобового сопротивления по формуле (5.19)
![]()
По формуле (5.18) расчётный коэффициент подъёмной силы равен
![]()
Используя рассчитанные значения, получаем из формулы (5,17) формулу для расчета поляры на взлетном режиме с механизированным крылом с учетом влияния земли
.
Результаты расчета оформим в виде таблицы.
Таблица 7. Координаты точек поляры на взлетном режиме для механизированного крыла с учетом влияния земли
|
|
|
|
0 |
0,07233 |
|
0.2 |
0,067394 |
|
0.4 |
0,064048 |
|
0.6 |
0,062291 |
|
0.8 |
0,062124 |
|
1 |
0,063547 |
|
1.2 |
0,066559 |
|
1.4 |
0,071162 |
|
1.6 |
0,077354 |
|
1.8 |
0,085135 |
|
2.058 |
0,089622 |
Расчет поляр на режиме посадки для крыла с механизацией проводится аналогично расчету поляр на взлетном режиме с учетом механизации.
Минимальный
коэффициент лобового сопротивления
самолета с учетом того, что прирост
сопротивления при отклонении закрылка
для режима посадки составляет
(при
),
из формулы (5.19) будет равен
.
Коэффициент
на режиме посадки для механизированного
крыла с учетом влияния земли определяем
по формуле (5.17) и с учетом
получим равным
.
С учетом полученных выше данных из формулы (73) получаем формулу для расчета координат точек поляры на посадочном режиме для механизированного крыла с учетом влияния земли
.
Максимальный коэффициент до которого стоится поляра берем из формулы (5.16) на режиме посадки без учета влияния земли.
Результаты расчета данной поляры сведены в таблицу.
Таблица 8. Координаты точек поляры на режиме посадки для механизированного крыла с учетом влияния земли
|
|
|
|
0 |
0,106492 |
|
0.2 |
0,100737 |
|
0.4 |
0,096572 |
|
0.6 |
0,093997 |
|
0.8 |
0,093011 |
|
1 |
0,093616 |
|
1.2 |
0,095809 |
|
1.4 |
0,099593 |
|
1.6 |
0,104966 |
|
1.8 |
0,111929 |
|
1.9 |
0,116007 |
|
2.304 |
0,123259 |
График взлетно-посадочной поляры на режиме посадки и взлёта для механизированного крыла.