Материал: Курс лекций (общее) (1)

Внимание! Если размещение файла нарушает Ваши авторские права, то обязательно сообщите нам

36

Лекция 3. АГРОФИЗИЧЕСКИЕ ФАКТОРЫ ПЛОДОРОДИЯ ПОЧВЫ

План:

1.Понятие о плодородии почвы.

2.Общие физические и физико-химические свойства почвы.

3.Факторы улучшения водопрочности структуры почвы.

4.Структурное состояние пахотного слоя почвы и его значение.

1. Понятие о плодородии почвы

Плодородие почвы – это способность почвы удовлетворять потребности растений в элементах питания, воде, обеспечивать их корневые системы достаточным количеством воздуха, тепла и благоприятной физико-химической средой для нормальной деятельности. Плодородие почвы определяет общую продуктивность биоценоза и урожайность с.-х. культур.

Различают естественное и эффективное плодородие почв. Естественное плодородие создается в результате природных

процессов почвообразования, которое определяется различными механическим и химическим составом почвы, мощностью гумусового горизонта, содержанием гумуса и доступных форм элементов питания, гранулометрическим, минералогическим и химическим составом почвы, ее физико-химическими и агрофизическими свойствами, интенсивностью микробиологических процессов.

Эффективное плодородие почвы зависит кроме того, от способа использования почв (обработка, применение удобрений, возделываемые растения, мелиорация и др.) и оценивается получаемой урожайностью с.-х. культур. С развитием естественных наук и агрономии изменяется и плодородие земли, так как изменяются средства, при помощи которых элементы почвы делаются более пригодными для использования.

Производственное воздействие на почву не ограничивается только переводом содержащихся в ней веществ из недоступных форм в легкоусваемые, но изменяются и ее плодородные свойства. Например, внесение органических и минеральных удобрений, известкование и гипсование изменяют химический состав почвы и содержание в ней

37

органического вещества, орошение позволяет снабжать растения необходимым количеством воды. Осушение даёт возможность регулировать водно-воздушный и тепловой режим почвы. По мере интенсификации земледелия всё большую роль в эффективном плодородии играют приемы воздействия человека на почву, а природные свойства приобретают подчиненное значение.

К. Маркс указывал, что такое воздействие человека позволяет не только сохранить уровень потенциального плодородия почвы, но и повышать его, т. к. последовательные траты средств на улучшение земли продуктивно используются, поскольку сама земля действует в качестве средства производства и постоянно улучшается, если правильно обращаться с нею.

В. Р. Вильямс различал элементы и условия плодородия почвы. Элементы – это земные факторы жизни растений, т. е. те

необходимые вещества, которые растения берут из почвы. К ним относятся питательные вещества и вода.

Условия плодородия – это такое состояние почвы, при котором обеспечивается наилучший приток и использование растениями элементов плодородия и устраняется антагонизм между ними. К условиям плодородия относятся физические свойства почвы, ее реакция, чистота от зачатков сорняков, возбудителей болезней и вредителей. Условия плодородия зависят не столько от природных свойств почвы, сколько создаются в процессе функционирования земли в качестве средств сельскохозяйственного производства, т. е. в результате окультуренности почвы.

Окультуривание есть процесс изменения важных природных свойств почвы в благоприятную сторону путём применения научно обоснованных приёмов воздействия на почву (мелиорация, известкование и гипсование, внесение удобрений, обработка почвы, борьба с засорённостью, загрязнённостью и т. д.).

Для окультуривания почвы используются методы биологического,

химического и физического воздействия.

Биологический метод заключается в регулировании процесса синтеза и разложения органического вещества в почве, правильном подборе возделываемых растений и их сортов, наилучшем соотношении между ними и правильном чередовании их в севообороте. Особое

38

влияние на баланс органического вещества в почве оказывает посев многолетних бобовых трав и травосмесей бобовых и злаковых культур. Посевы бобовых трав служат также наиболее дешевым и доступным способом обогащения почвы азотом путём фиксации его из атмосферного воздуха клубеньковыми бактериями. Большое влияние оказывают также посевы бобовых растений на зеленое удобрение, использование различных приёмов регулирования численности и состава микрофлоры. Разложение органического вещества в почве усиливается при более глубокой и своевременной обработке почвы, введение в севообороты пропашных культур и чистых паров.

Химический метод предусматривает применение минеральных удобрений, известкование и гипсование почвы для пополнения запасов доступных растениям питательных веществ и устранение неблагоприятных химических свойств почвы и почвенного раствора (кислотность, щелочность).

Физический метод состоит в физико-химическом воздействии на почву. Сюда относятся приёмы обработки почвы, физико-химические методы создания почвенной структуры, приёмы регулирования водного, воздушного и теплового режимов почв, включая гидротехнические мелиорации.

Каждый из этих трёх методов воздействует в той или иной степени на все свойства почвы и процессы в ней, но наилучшие результаты можно получить лишь при успешном сочетании всех трёх методов. Уровень плодородия и степень окультуренности почвы определяют по ряду показателей, которые условно можно разделить на те же три группы, что и методы окультуривания.

Плодородная почва должна отвечать следующим условиям:

1.Содержать достаточное количество питательных веществ.

2.Содержать достаточное количество воды.

3.Быть устойчивой к эрозии и дефляции.

4.Быть пригодной для применения новейших технологий возделывания культур.

5.Быстро устранять явления почвоутомления.

6.Фитосанитарный уровень должен быть высоким (чистым от сорняков, вредителей, болезней).

39

2. Общие физические и физико-химические свойства почвы

Общие физические свойства почвы подразделяют на плотность твёрдой фазы, плотность и пористость.

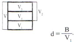
Почва состоит из твёрдой фазы, жидкой и газообразной.Твёрдая фаза состоит из минеральных, органических и органоминеральных частиц. Жидкая и газообразная фазы заполняют поры, которые бывают капиллярными и некапиллярными. Капиллярные поры отличаются свойством удерживать воду менисковыми силам и характеризуют капиллярную влагоёмкость почвы. Некапиллярные поры заполняются воздухом и хорошо пропускают воду, которая перемещается в них под действием гравитационных сил. Следовательно, объем почвы с ненарушенным строением (V) включает: объём твёрдой фазы (V1), объём общей пористости (V2), который состоит из капиллярных пор (V4) и некапиллярных (V3).

Всилу этого плотность твёрдой фазы почвы (d) – это отношение массы (B) –

еетвёрдой фазы к массе воды в том же объёме:

Эта величина зависит от минерального состава и содержания органических компонентов. Плотность твёрдой фазы почвы колеблется от 2,4 до 2,8 г/см³. Бедные органическим веществом дерновоподзолистые почвы имеют плотность твёрдой фазы 2,65 – 2,7. Плотность твёрдой фазы чернозёмов в верхних горизонтах 2,4 – 2,5, что обусловлено богатством гумуса. В подгумусовых горизонтах ее величина возрастает до 2,55 г/см³.

Плотность почвы или объёмная масса (d0) – масса абсолютно сухой почвы, находящейся в естественном состоянии, в единице объёма (d0 = B/V). В отличии от плотности твёрдой фазы при определении плотности почвы, измеряемой в г/см³, массу почвы узнают по величине единицы объёма со всеми порами. Поэтому показатели плотности почвы всегда меньше аналогичных показателей ее твердой фазы. Плотность пахотных почв колеблется от 0,9 до 1,4 г/см³.

40

Пахотный слой почвы имеет плотность: рыхлый – до 1,15; плотный – 1,15 – 1,35; очень плотный – свыше 1,35 г/см³. На плотность почвы большое влияние оказывает механическая обработка (табл. 7).

В условиях многолетнего многофакторного стационарного полевого опыта, расположенного на территории опытной станции Ставропольского государственного аграрного университета, сотрудниками кафедры общего и мелиоративного земледелия ведутся исследования по изучению влияния различных способов основной обработки почвы на агрофизические факторы плодородия в умеренно влажной зоне на черноземе выщелоченном.

Таблица 7 – Влияние способов основной обработки чернозёма выщелоченного на плотность почвы при возделывании озимой пшеницы

Слой почвы,

Плотность

Плотность почвы, г/см³

твёрдой фазы

 

 

 

 

 

 

м

перед севом

весен.кущ.

полн. спел.

почвы, г/см³

 

 

 

 

 

 

 

 

 

 

Отвальный способ (0,20-0,22 м)

 

 

 

 

 

 

0-0,10

2,67

1,12

1,26

1,43

 

 

 

 

 

0,10-0,20

2,67

1,15

1,28

1,44

 

 

 

 

 

0,20-0,30

2,69

1,38

1,40

1,39

 

 

 

 

 

 

Безотвальный способ (0,20-0,22 м)

 

 

 

 

 

 

0-0,10

2,67

1,13

1,27

1,46

 

 

 

 

 

0,10-0,20

2,67

1,16

1,32

1,48

 

 

 

 

 

0,20-0,30

2,69

1,40

1,41

1,39

 

 

 

 

 

 

Мелкая обработка (0,20-0,22 м)

 

 

 

 

 

 

0-0,10

2,67

1,11

1,28

1,47

 

 

 

 

 

0,10-0,20

2,67

1,36

1,39

1,45

 

 

 

 

 

0,20-0,30

2,69

1,41

1,40

1,40

 

 

 

 

 

Способ основной обработки оказывает существенное влияние на физическое состояние почвы. В стационарном опыте изучаются следующие способы: отвальный, 0,20-0,22 м; безотвальный 0,20-0,22 м, и мелкая обработка, 10-12 см. Значительный интерес представляет изучение влияния способов обработки почвы, под посевом озимой пшеницы, предшественник – пар занятый (горох + овес на зеленый корм). Перед посевом озимой пшеницы плотность почвы в верхнем 0,0-