Материал: Конспект_лекций_Імовірнісні_основи_обробки_данних2

Внимание! Если размещение файла нарушает Ваши авторские права, то обязательно сообщите нам

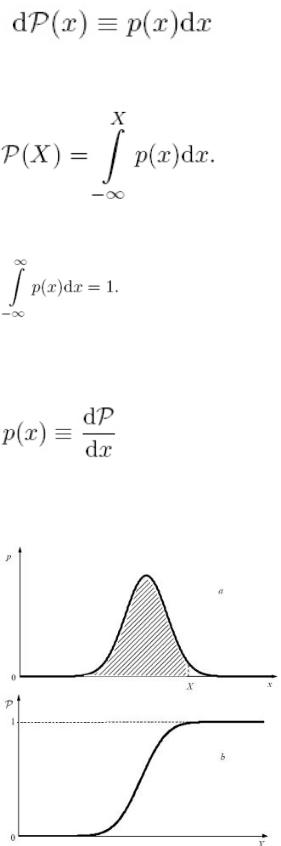
Слід мати на увазі, що частина ймовірності р(х) є локальною характеристикою, яка зама по собі змісту не має.

Якщо домножити густину імовірності на диференціал (чого небудь) то ми отримаємо велечину, що означає імовірнісне потрапляння частинки в інтервал

.

Інтеграл цього співвідношення ( ; X ) дає повну кумулятивну імовірність.

На границі X визначення кумулятивної або повної імовірності приводить до умови нормування.

Якщо за допомогою густини розподілу можна знайти повну імовірність, то можна вирішити й зворотні задачі:

Густина ймовірності (р(х)) та кумулятивну імовірність (Р(х)) характеризує розподіл випадкових величин і зазвичай має вигляд:

11

Основні характеристики випадкових величин

В загальному випадку середнє значення набору дискретних випадкових величин xi, деi 1,W , визначається за формулою:

У випадку неперевно-розподіленої велечини :

Моментами Mn, n-го порядку для розподілу випадкової величини:

Кумулентом розподілу випадкової величини.

12

13