Министерство образования и науки Российской Федерации
Федеральное агентство по образованию
Рыбинская государственная авиационная технологическая
академия им. П.А. Соловьева
КАФЕДРА ОБЩЕЙ И ТЕХНИЧЕСКОЙ ФИЗИКИ
на заседании методического
семинара кафедры
Общей и технической физики
« » _________ 2007 г.
Зав.каф. Пиралишвили Ш.А.
ЛАБОРАТОРНАЯ РАБОТА № КФ – 4
ИЗУЧЕНИЕ МОЛЕКУЛЯРНЫХ СПЕКТРОВ
ПОГЛОЩЕНИЯ С ПОМОЩЬЮ МОНОХРОМАТОРА МУМ
|
Нормоконтролёр |
Автор: к. ф–м. н., доцент Шалагина Е.В |
|
|
|
|
____________ |
___________________ |
|
|
|
|
|
Рецензент: к. т. н., доцент Суворова З.В. |
|
|
___________________ |
Работа выполняется в соответствии с общими требованиями техники безопасности, действующими в учебных лабораториях кафедры О и ТФ.
ВНИМАНИЕ! Попадание интенсивного постороннего света на фотоэлемент недопустимо, т. к. приводит к его выгоранию и порче. В нерабочем состоянии фотоэлемент должен быть закрыт колпачком.
ЦЕЛЬ РАБОТЫ: Получение и анализ молекулярных спектров поглощения в области длин волн λ = 200…800 нанометров при помощи монохроматора МУМ.
ПРИБОРЫ И ОБОРУДОВАНИЕ: Источник излучения, монохроматор МУМ, приёмник излучения, блок питания приёмника и источника излучения, цифровой вольтметр, кюветы с исследуемыми растворами.
Молекулярные спектры при наблюдении в прибор средней разрешающей силы состоят из полос, резких с одного края и размытых – с другого. Такие полосы лежат в близкой инфракрасной, видимой и ультрафиолетовой частях спектра. Полосы образуют серии полос: отдельные полосы и даже серии полос могут перекрывать друг друга. При использовании приборов высокой разрешающей силы каждая полоса в молекулярном спектре распадается на совокупность близко расположенных линий. Сложность полосатых молекулярных спектров по сравнению с линейчатыми спектрами атомов обусловлена более сложной структурой молекул, что приводит к расщеплению энергетических уровней валентных электронов.
Силы,
удерживающие атом в молекуле, вызваны
взаимодействием внешних электронов. В
случае двухатомных молекул различают
два вида связи: ионную (гетерогенную) и
ковалентную (атомную, гомеополярную).
Ионная связь осуществляется, когда
электроны в молекуле можно разделить
на две группы, каждая из которых все
время находится около одного из ядер.
Электроны распределяются так, что около
одного из ядер образуется избыток
электронов, около другого – недостаток.
Таким образом, молекула как бы состоит
из ионов противоположных знаков,
взаимодействующих по закону Кулона.
Примером молекул с ионной связью служат
молекулы соединений щелочных металлов
с галогенами (
)
и др. При растворении таких соединений
в воде молекулы распадаются на ионы.
Ковалентная
связь наблюдается в молекулах, у которых
часть электронов обобществляется двумя
ядрами. Эта связь образуется парами
электронов с противоположно направленными
спинами и вызвана добавочным обменным
взаимодействием электронов. Среди
молекул этого типа следует различать
молекулы с одинаковыми ядрами (
)
и молекулы с различными ядрами (
)
и др. В молекулах первого рода электроны
распределены симметрично, в молекулах
второго рода существует асимметрия в
распределении электронов, благодаря
чему молекулы приобретают электрический
дипольный момент.
Атомы образуют стабильную молекулу, если это энергетически выгодно, т.е. энергия молекулы оказывается меньше суммарной энергии атомов, образующих молекулу. Кривая потенциальной энергии молекулы приведена на рисунке 1.1.

Рис. 1.1
Энергия
молекулы достигает минимального значения
при
,
соответствующее расстояние между
атомами
.
Величина
колеблется для различных молекул в
пределах десятых долей нанометра.
Энергия связи атомов в молекуле (энергия
диссоциации молекулы) изменяется в
пределах нескольких электрон – вольт.
Молекула в
целом представляет собой квантовую
систему, обладающую вполне определенными
уровнями энергии. В состав молекулы
входит большое число частиц (ядра,
электроны), число степеней свободы у
молекулы больше, чем у атома. В результате
структура энергетических уровней
молекулы является более сложной.
Во-первых, система электронов, принадлежащих
молекуле, при постоянном расстоянии
между ядрами может иметь различную
конфигурацию, которой соответствует
различная энергия
.
Во-вторых, при данной электронной
конфигурации ядра молекулы могут
различным образом колебаться и вращаться
относительно общего центра масс. С этими
видами движения связаны запасы
колебательной энергии
и вращательной
.
Колебания ядер в молекуле можно считать гармоническими. Энергия такого гармонического осциллятора принимает дискретные значения:
,
(1.1)
где
– собственная частота данного типа
колебаний, определяется по формуле:
,
(1.2)
где М – приведенная масса молекулы;
К – силовая постоянная, характеризующая квазиупругие силы, возникающие в молекуле при отклонении ядер от равновесного положения;
–
колебательное квантовое число –
принимает значения
=0;
1; 3; ….
При
=0
имеем низший колебательный уровень с
«нулевой» энергией:
,
(1.3)
где
эВ.
Расстояния между соседними энергетическими уровнями можно найти, используя формулу (1.1):
.
(1.4)
Величина
не зависит от квантового числа
.
Энергия вращательного движения молекулы
имеет дискретный спектр и принимает
значения:
,
(1.5)
где
– момент инерции молекулы, зависящей
от ее массы и размеров;
j
– вращательное квантовое число, которое
принимает значения j
= 0; 1; 2; 3; … Минимальное значение
вращательной энергии
(при j = 0). Соседние
вращательные уровни располагаются на
расстоянии:
,
т.е.
.
(1.6)
Из формулы (1.6) следует, что расстояния между соседними вращательными уровнями увеличиваются с ростом квантового числа j. Таким образом, полную энергию молекулы можно представить как сумму:
(1.7)
или, учитывая (1.1) и (1.5)
.
В основном
состоянии все три вида энергии имеют
минимальные величины. Теория и опыт
показывают, что наибольшие значения
принимают разности электронных энергий,
а наименьшие –
:
эВ;
эВ;
эВ, т.е.
.
(1.8)
Таким образом,
каждый электронный уровень расщепляется
на колебательные подуровни, расположенные
на одинаковом «расстоянии»
друг от друга (1.4). Каждый колебательный
уровень распадается на вращательные
подуровни, расстояния между которыми
определяются формулой 1.6. Схема
энергетических уровней двухатомной
молекулы приведена на рис. 1.2.

Рис. 1.2.
При сообщении
молекуле достаточного количества
энергии она переходит в возбужденное
состояние и затем, совершая переход в
одно из более низких энергетических
состояний, излучая квант энергии
![]()
.
(1.9)
Частота излучения, испускаемого при изменении состояния молекулы, определяется так:
.
(1.10)
В зависимости от того, изменение каких видов энергии (вращательной, колебательной, электронной) обусловливает испускание молекулой фотона, различают три вида полос в спектре молекулы: вращательные, колебательно – вращательные, электронно-колебательные.
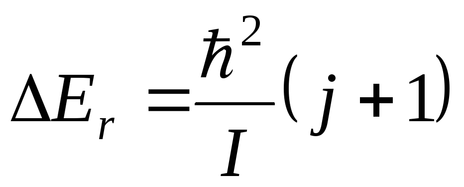
Линии чисто вращательного спектра лежат в далекой инфракрасной или микроволновой областях спектра. Они возникают при переходах молекулы из одного вращательного состояния в другое (электронная конфигурация молекулы и ее колебательная энергия при этом не изменяются).
Возможные
изменения квантового числа j
ограничиваются правилом отбора
,
т.е. переходы совершаются между соседними
вращательными уровнями. Частоты квантов,
испускаемых при переходах между
вращательными уровнями, определятся
из формул (1.6) и (1.10):
(1.11)
или
,
(1.12)
где
.
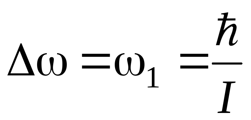
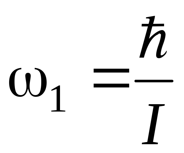
Вращательный спектр (рис. 1.3) состоит из системы равноотстоящих линий. Расстояние между линиями определяется из формулы (1.12):
.

Рис. 1.3.
Измерив расстояние между линиями спектра, можно определить момент инерции молекулы. В двухатомной молекуле по известным массам ядер и моменту инерции можно вычислить равновесное расстояние между ядрами.
Колебательно-вращательные
полосы располагаются в области 800-5000
нм. Они возникают при переходах между
двумя колебательными уровнями,
принадлежащими к одной и той же электронной
конфигурации. Каждый из таких переходов
может сопровождаться одновременным
изменением вращательной энергии.
Согласно правилам отбора квантовые
числа j и
могут изменяться на 1.
Совокупность вращательных линий,
принадлежащих одному и тому же
колебательному переходу, образует
колебательно-вращательную полосу.
Учитывая формулы (1.4); (1.6), а также правила
отбора, частоту
можно определить по формуле:
.
(1.13)
Колебательная
частота
определяет спектральную область, в
которой располагается полоса, вращательная
часть
определяет тонкую структуру полосы.
Колебательно-вращательная полоса
состоит из совокупности симметричных
относительно частоты
линий, отстоящих друг от друга на
.
В середине полосы расстояние в два раза
больше, так как линия частоты
не возникает.