Полиметаллические кластерные катализаторы обладают стабильностью биметаллических, но характеризуются повышенной активностью, лучшей селективностью и обеспечивают более высокий выход риформата. Срок их службы составляет 6-7 лет. Эти достоинства их обусловливаются, по-видимому, тем, что модификаторы образуют с платиной (и промоторами) поверхностные тонкодиспергированные кластеры с кристаллическими структурами, геометрически более соответствующими и энергетически более выгодными для протекания реакций ароматизации через мультиплетную хемосорбцию. Среди других преимуществ полиметаллических катализаторов следует отметить возможность работы при пониженном содержании платины и хорошую регенерируемость.
Успешная эксплуатация полиметаллических катализаторов возможна лишь при выполнении определенных условий:
— содержание серы в сырье риформинга не должно превышать 1 · 10–4 % маc., для чего требуется глубокое гидрооблагораживание сырья в блоке предварительной гидроочистки;
— содержание влаги в циркулирующем газе не должно превышать (2-3) · 10–3 % мольн.;
— при пуске установки на свежем и отрегенерированном катализаторе требуется использование в качестве инертного газа чистого азота (полученного, например, ректификацией жидкого воздуха);
— для восстановления катализатора предпочтительно использование электролитического водорода.
Целевыми в процессах каталитического риформинга являются реакции образования ароматических углеводородов за счет:
1) дегидрирования шестичленных циклоалканов

2) дегидроизомеризации циклопентанов
![]()
3) дегидроциклизации (С5- или С6-дегидроциклизации) парафиновых углеводородов

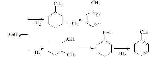
Схему реакций дегидроциклизации н-гептана можно представить и в следующем виде:

В настоящее время отечественной промышленностью вырабатываются три типа катализаторов риформинга :
– монометаллические (АП-56 и АП-64);
– биметаллические (КР-101 и КР-102);
– полиметаллические (КР-104, КР-106, КР-108 и платино-эрионитовый СГ-ЗП).
Список использованной литературы
Ахметов С.А. Технология глубокой переработки нефти и газа: Учебное пособие для вузов. Уфа: Гилем, 2002. 672 с.
Магарил Р.З. Теоретические основы химических процессов переработки нефти: Учебное пособие для вузов.- Л.: Химия. 1985, 280 с.