Материал: Изучение показательной и логарифмической функции в школьном курсе математики

Внимание! Если размещение файла нарушает Ваши авторские права, то обязательно сообщите нам

. Решите уравнения и неравенства:

) ;

Ответ: [1, с. 239].

) ;

Ответ:  [1, с. 240].

3)      

Ответ: [1, с. 243].

4)      

Ответ:  [1, с. 244].

. Решите уравнение



Ответ:  [1, с. 245].

. Решите систему уравнений


Ответ:  [1, с. 246].

. Решите неравенство


Ответ:  [1, с. 248].

. Вычислите:

а) ;

Ответ: [1, с. 250].

б) ;

Ответ: [1, с. 251].

в)

Ответ: [1, с. 251].

. Найдите наименьшее и наибольшее значения функции на заданном промежутке:

а)

Ответ: [1, с. 254].

;

Ответ: [1, с. 254].

.        Постройте график функции


Ответ: смотрите рисунок 1 [1, с. 256].

Рисунок 1- График функций

.        Известно, что положительные числа  связаны соотношением . Выразить  () через логарифмы по основанию чисел

Ответ:

 [1, с. 259].

9.      Решите уравнение


Ответ: [1, с. 264].

.        Решите уравнение

Ответ: [1, с. 265].

.        Решите неравенство

Ответ: [1, с. 269].

Ответ: [1, с. 272].

.        Вычислить значение производной функции  в точке

Ответ: [1, с. 278].

.        Исследовать на экстремум функцию

 ;

Ответ:  [1, с. 279].

2.2 Методика решения типовых задач, связанных с показательной и логарифмической функциями, в школьном курсе математики

1.      Решите уравнение

.

Решение. Построив в одной системе координат графики функций , замечаем, что они имеют одну общую точку  Значит, уравнение  имеет единственный корень [1, с. 256].

2.      Решите уравнение

[10, с. 1].

Решение. Здесь есть возможность и левую и правую части уравнения представить в виде степени с основанием . В самом деле:

1)     

)       

)       

4)     

Таким образом, заданное уравнение мы преобразовали к виду



Далее получаем:


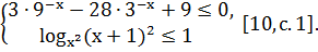
3.      Решите неравенство

[10, с. 4].

Решение. Заданное неравенство равносильно неравенству противоположного смысла


Найдем корни квадратного трехчлена

:

,

Значит, неравенство

4.      Вычислить  [1, с. 260].

Решение. Пусть  Тогда, по определению логарифма, . Решая это показательное уравнение, последовательно находим:


5.      Найдите наименьшее и наибольшее значения функции на заданном промежутке

 [10, с. 5].

Решение. Функция  непрерывная и убывающая, поскольку основание этой логарифмической функции, т.е. число , меньше  Следовательно, своих наибольшего и наименьшего значений функция достигает на концах заданного отрезка


6.      Вычислите [10, с. 6].

Решение. Поработаем с показателем степени:


Теперь заданное числовое выражение мы можем записать в виде  .

Далее находим:

.

Остается вспомнить, что  Значит,



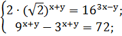
7.      Решить систему уравнений


Решение. Преобразуем первое уравнение системы к более простому виду:


Преобразуем второе уравнение системы к более простому виду:


Решим полученную систему уравнений


Подставив  вместо  во второе уравнение системы, получим:



Из соотношения  находим соотношение:


Осталось сделать проверку найденных пар  с помощью условий, которые задают область допустимых значений переменных эти условия мы находим, анализируя исходную систему уравнений. Пара ( удовлетворяет условиям, а пара  не удовлетворяет.

Ответ: (

8.      Решите систему неравенств

 .

Решение.

Неравенство  запишем в виде

(

Относительно  неравенство имеет вид: , откуда получаем:

(,


Значит,

,

Второе неравенство системы определено при


то есть при  и  При допустимых значениях значений переменной получаем:

,    .

С учетом области допустимых значений переменной получаем решение второго неравенства системы:


Сравним  и . Так как , то

,

следовательно,


  .

Ответ:  [11, с.1].

2.3 Подбор задач на нахождение и использование показательной и логарифмической функций в школьном курсе математики

.        Решите неравенства:

а)  [10, с. 6]

б) [10, с. 3].

.        Решите уравнения:

а)  [9, с. 5].

б)

найдите все корни этого уравнения, принадлежащие отрезку  [10, с. 2].

.        Найдите корни уравнений:

а)  [10, с. 8].

б) [10, с. 7].

.        Решите системы неравенств:

а)

б)  .

) [9, с. 1].

Подведем некоторые итоги. Можно выделить три основных метода решения примеров и задач:

1)      Функционально-графический метод. Он основан на использовании графических иллюстраций или каких-либо свойств функций.

2)      Метод уравнивания показателей. Он основан на теореме о том, что уравнение  равносильно уравнению , где   - положительное число, отличное от 1.

3)      Метод введения новой переменной.

Заключение

В данной курсовой работе по теме "Логарифмическая и показательная функции" было рассмотрено введение данного материала в школьный курс алгебры и начала анализа. Логарифмическая и показательная функции часто используются для решения различных задач. В ЕГЭ на исследуемую тему отведено четыре задания, два из которых из первой части и два из второй. Задания бывают смешанного типа, где знание показательной и логарифмической функции поможет решить их. Показательная функция является математической моделью для большого класса процессов в области физики и экономики. Поэтому изучение данной темы играет важную роль в школьном курсе математики для школьников.

Следует отметить, что была изучена научно  методическая литература таких авторов, как Колмогорова А.Н. и Мордковича А.Г., способствующая усвоению материала темы "Логарифмическая и показательная функции". Приведены примеры смешанного типа. Подробно разобраны типовые задачи по теме материала и выделены три основных метода решения: